電容式感應設計技巧
發布時間:2010-09-01 來源:52RD
中心議題:
suiranduoshudianwanyouxidekaifadouzhezhongzairuanjianhechuliqishang,danxuduozhongdadechuangyiheqianzhanxiangfadouyukongzhiqixiangguan。youyuyouxixitongjizhoubianchangshangnuligaishanwanjiayuqixitonghudongdefangshi,yinciwulunshizairentigongxue、風格、功能或是特色等方麵都不斷地在開發改進。
尋找新的典範
我們可能都還記得具備四方形底座的Atari最(zui)早(zao)期(qi)控(kong)製(zhi)器(qi),其(qi)中(zhong)央(yang)有(you)一(yi)根(gen)搖(yao)桿(桿),旁(pang)邊(bian)還(hai)有(you)一(yi)顆(ke)按(an)鍵(jian)的(de)設(she)計(ji),這(zhe)對(dui)於(yu)當(dang)時(shi)的(de)電(dian)玩(wan)遊(you)戲(xi)而(er)言(yan)已(yi)相(xiang)當(dang)足(zu)夠(gou)。因(yin)為(wei)當(dang)時(shi)所(suo)需(xu)要(yao)的(de)隻(zhi)有(you)基(ji)本(ben)的(de)方(fang)向(xiang)控(kong)製(zhi)和(he)一(yi)個(ge)選(xuan)擇(ze)按(an)鍵(jian),就(jiu)可(ke)以(yi)進(jin)行(xing)遊(you)戲(xi),而(er)這(zhe)個(ge)控(kong)製(zhi)器(qi)則(ze)完(wan)全(quan)符(fu)合(he)所(suo)需(xu)。任(ren)天(tian)堂(tang)後(hou)來(lai)發(fa)表(biao)了(le)四(si)方(fang)形(xing)控(kong)製(zhi)器(qi)的(de)任(ren)天(tian)堂(tang)娛(yu)樂(le)係(xi)統(tong)(NintendoEntertainmentSystem),其中方向按鍵取代了搖桿,而且還增加第二顆按鍵,這是以現有技術開發出來的重大改變。
從(cong)那(na)時(shi)開(kai)始(shi),控(kong)製(zhi)器(qi)就(jiu)開(kai)始(shi)變(bian)得(de)越(yue)來(lai)越(yue)複(fu)雜(za)。現(xian)在(zai),標(biao)準(zhun)的(de)遊(you)樂(le)器(qi)主(zhu)機(ji)控(kong)製(zhi)器(qi)上(shang)具(ju)備(bei)比(bi)以(yi)往(wang)更(geng)多(duo)的(de)按(an)鍵(jian),而(er)且(qie)每(mei)個(ge)按(an)鍵(jian)都(dou)擁(yong)有(you)更(geng)強(qiang)大(da)的(de)功(gong)能(neng)。具(ju)備(bei)壓(ya)力(li)感(gan)應(ying)間(jian)斷(duan)作(zuo)用(yong)的(de)按(an)鍵(jian)讓(rang)其(qi)觸(chu)發(fa)作(zuo)用(yong)獲(huo)得(de)更(geng)好(hao)的(de)控(kong)製(zhi),尤(you)其(qi)對(dui)於(yu)駕(jia)駛(shi)類(lei)電(dian)玩(wan)遊(you)戲(xi)中(zhong)的(de)煞(sha)車(che)與(yu)加(jia)速(su)控(kong)製(zhi)特(te)別(bie)有(you)用(yong)。而(er)按(an)鍵(jian)組(zu)合(he)在(zai)格(ge)鬥(dou)遊(you)戲(xi)中(zhong)也(ye)常(chang)被(bei)用(yong)來(lai)啟(qi)動(dong)特(te)殊(shu)功(gong)能(neng)與(yu)動(dong)作(zuo)。震(zhen)動(dong)功(gong)能(neng)(rumble-packs)則讓玩家能體驗真實感覺,而不再隻是聲光效果而已。由於搖桿具備的卓越模擬功能性,讓其在最新的控製器上重現生機。
電容式感測技術是最新的介麵技術,能提高遊戲控製器的可用性,以及最炫的機械設計。
電容式感測技術概觀
電(dian)容(rong)式(shi)感(gan)測(ce)最(zui)常(chang)用(yong)於(yu)個(ge)人(ren)電(dian)腦(nao)觸(chu)控(kong)板(ban)與(yu)可(ke)攜(xie)式(shi)媒(mei)體(ti)播(bo)放(fang)器(qi)上(shang)。手(shou)機(ji)製(zhi)造(zao)商(shang)也(ye)開(kai)始(shi)投(tou)入(ru)資(zi)金(jin)來(lai)推(tui)廣(guang)其(qi)用(yong)途(tu),並(bing)已(yi)開(kai)發(fa)出(chu)數(shu)種(zhong)機(ji)型(xing)銷(xiao)售(shou)上(shang)市(shi)。簡(jian)單(dan)的(de)架(jia)構(gou)、裝置防水性及堅固的機械式設計等都是電容式感測介麵極具吸引力的特性。
■方法
要(yao)達(da)到(dao)電(dian)容(rong)式(shi)感(gan)測(ce)效(xiao)果(guo)有(you)好(hao)幾(ji)種(zhong)方(fang)式(shi),但(dan)基(ji)本(ben)的(de)要(yao)素(su)卻(que)固(gu)定(ding)不(bu)變(bian)。其(qi)中(zhong),電(dian)容(rong)式(shi)感(gan)測(ce)器(qi)不(bu)過(guo)是(shi)在(zai)印(yin)刷(shua)電(dian)路(lu)板(ban)中(zhong)連(lian)接(jie)至(zhi)控(kong)製(zhi)器(qi)電(dian)路(lu)上(shang)的(de)銅(tong)片(pian)(pad)。感測按鍵與其連接導線的組合會在其周圍產生電容。設計時所考量的接地麵、金屬支撐裝置、還有其他電子與機械元件都會影響感測器的電容值。一般認為感測器電容值等同於它與接地麵之間的電容值。當具有導電性的觸發物質(例如手指)靠(kao)近(jin)感(gan)測(ce)器(qi)到(dao)一(yi)定(ding)程(cheng)度(du)時(shi),該(gai)電(dian)容(rong)值(zhi)就(jiu)會(hui)增(zeng)加(jia)。這(zhe)是(shi)因(yin)為(wei)導(dao)體(ti)本(ben)身(shen)會(hui)在(zai)感(gan)測(ce)器(qi)與(yu)接(jie)地(di)麵(mian)之(zhi)間(jian)產(chan)生(sheng)更(geng)多(duo)可(ke)能(neng)的(de)路(lu)徑(jing),愈(yu)多(duo)的(de)路(lu)徑(jing)則(ze)會(hui)產(chan)生(sheng)愈(yu)多(duo)的(de)場(chang)線(xian),這(zhe)樣(yang)一(yi)來(lai)就(jiu)會(hui)提(ti)高(gao)整(zheng)個(ge)電(dian)容(rong)值(zhi)。
在電容式感測器的前端是由切換式電容器(switchedcapacitors)、內部電流源或是具有外部電阻器的電壓源所組成。這些方法都是為了要在感測電容器上輸入電壓值。而該電壓值可透過ADC、或由比較器所構成的充電時間量測電路之處理,然後到達計數器或計時器。數字輸出值被電容式感測係統的資料處理和決定(decision-making)所使用時,則會在ADC輸出值中產生轉變或在電容質中的計數值產生模擬轉變。稍後我們會深入討論常用的兩種方法,也就是弛張震蕩器(relaxationoscillation)以及連續近似法(successiveapproximation)。
■實際建置
yaozaishijideshejizhongjianzhiyigedianrongshiganceqibingbunan。rushangsuoshu,dianrongshiganceqibuguojiushizaiyinshuadianlubanshangfangzhiyikuaidaotipian,tongchangshitongpian。erzhekuaidaotipianjingyouchufawuzhi—通常是手指,不僅能直接連結至控製元件;並可以直接與其互動。感應板則置於感測區域正下方的一層覆蓋層(overlay)biaomianshang。ganceqiyufugaicengzhijianzuihaobuyaoyourenhekongqi,erqieyaoyongbudaodiandejiehejijiangganceqijibanjinjinnianfuzaifugaicengshang。kongzhidianlukeyishezhiyuganceqifujin,erqieyuejinyuehao。ganceqizaijixiejiegoushangdexuqiujuedinglekongzhidianludepeizhi。ganceqiyukongzhidianlujuliyueyuan,zeganceqiyujiedimianjiandeyuanshengdianrongzhijiuhuisuizhizengjia,yinweidaoxianhuiyuzhouweihuanjinghudong,bingjinerzengjiadianrongzhi;距離越長,增量就越明顯。雖然要規定出最大的距離並不容易,但一般來說,6到12英吋可算是功能上限了。
[page]
電容感應應用裝置的基板並非固定的;其中,最常見的設計是具備銅導線的基本FR4印刷電路板。此外,附有銅片的彈性印刷電路板(通常用聚亞醯胺薄膜—Kapton)也(ye)很(hen)常(chang)見(jian)。彈(dan)性(xing)基(ji)板(ban)能(neng)夠(gou)讓(rang)機(ji)械(xie)設(she)計(ji)更(geng)為(wei)容(rong)易(yi),尤(you)其(qi)是(shi)在(zai)彎(wan)曲(qu)的(de)表(biao)麵(mian)上(shang)。印(yin)刷(shua)在(zai)彈(dan)性(xing)物(wu)質(zhi)上(shang)如(ru)碳(tan)或(huo)銀(yin)的(de)導(dao)電(dian)墨(mo)水(shui),能(neng)以(yi)極(ji)低(di)的(de)成(cheng)本(ben)製(zhi)作(zuo)電(dian)容(rong)式(shi)感(gan)測(ce)器(qi),但(dan)這(zhe)當(dang)中(zhong)會(hui)因(yin)為(wei)彈(dan)性(xing)物(wu)質(zhi)無(wu)法(fa)上(shang)銲(銲)錫(xi),而(er)需(xu)要(yao)控(kong)製(zhi)印(yin)刷(shua)電(dian)路(lu)板(ban)以(yi)及(ji)連(lian)接(jie)器(qi)。透(tou)明(ming)的(de)導(dao)電(dian)物(wu)質(zhi),例(li)如(ru)氧(yang)化(hua)銦(yin)錫(xi)(IndiumTinOxide;ITO)也快速地被廣泛使用在觸控式螢幕的應用中。ITO感測器會被印刷在玻璃或是聚乙烯對苯二甲酸酯(PET)薄膜上,然後再結合上最終的設計成品。雖然目前已有玻璃覆晶(chip-on-glass)用於控製這類的應用,但是在印刷電路板上使用彈性連接器或是熱把焊接(hotbarsoldering)卻是更經濟的方法。
■電容式輸入
電(dian)容(rong)式(shi)感(gan)測(ce)器(qi)有(you)好(hao)幾(ji)種(zhong)型(xing)式(shi),最(zui)基(ji)本(ben)的(de)電(dian)容(rong)式(shi)感(gan)測(ce)器(qi)就(jiu)是(shi)按(an)鍵(jian),也(ye)就(jiu)是(shi)連(lian)接(jie)到(dao)控(kong)製(zhi)電(dian)路(lu)的(de)單(dan)一(yi)銅(tong)片(pian)。這(zhe)類(lei)按(an)鍵(jian)具(ju)備(bei)類(lei)比(bi)功(gong)能(neng),但(dan)其(qi)主(zhu)要(yao)輸(shu)出(chu)還(hai)是(shi)數(shu)位(wei)的(de)「開」(on)與「關」(off)。按(an)鍵(jian)的(de)大(da)小(xiao)決(jue)定(ding)了(le)它(ta)的(de)靈(ling)敏(min)度(du),依(yi)照(zhao)慣(guan)例(li)來(lai)說(shuo),較(jiao)大(da)的(de)按(an)鍵(jian)具(ju)備(bei)較(jiao)高(gao)的(de)靈(ling)敏(min)度(du)。而(er)按(an)鍵(jian)尺(chi)寸(cun)則(ze)會(hui)受(shou)到(dao)手(shou)指(zhi)大(da)小(xiao)的(de)限(xian)製(zhi),因(yin)為(wei)很(hen)小(xiao)的(de)手(shou)指(zhi)頭(tou)隻(zhi)能(neng)與(yu)一(yi)個(ge)大(da)尺(chi)寸(cun)感(gan)應(ying)器(qi)的(de)局(ju)部(bu)進(jin)行(xing)互(hu)動(dong)。以(yi)標(biao)準(zhun)直(zhi)徑(jing)7mm的按鍵而言,10mm的覆蓋層厚度就已足夠。
滑桿(sliders)其實就是直線或呈放射狀的電容式感測器陣列。量測整個陣列的電容值變化,並配合內插法(interpolateposition)就jiu能neng得de到dao比bi感gan測ce器qi本ben身shen更geng高gao的de解jie析xi度du。內nei插cha法fa運yun用yong了le每mei個ge感gan測ce器qi的de類lei比bi特te性xing。手shou指zhi會hui與yu滑hua桿桿感gan測ce器qi其qi中zhong一yi部bu份fen進jin行xing互hu動dong,而er在zai中zhong央yang區qu域yu的de感gan應ying所suo造zao成cheng的de電dian容rong變bian化hua較jiao高gao,而er在zai兩liang端duan點dian則ze較jiao低di。而er利li用yong基ji本ben的de資zi料liao處chu理li就jiu可ke依yi據ju電dian容rong值zhi變bian量liang來lai統tong計ji觸chu發fa物wu的de中zhong心xin位wei置zhi。滑hua桿桿的de解jie析xi度du受shou限xian於yu本ben身shen的de電dian容rong變bian化hua與yu演yan算suan法fa。滑hua桿桿與yu按an鍵jian型xing的de電dian容rong式shi感gan測ce器qi應ying用yong原yuan理li一yi樣yang,感gan測ce器qi越yue大da越yue靈ling敏min。重zhong要yao的de是shi,觸chu發fa物wu會hui增zeng加jia多duo個ge感gan測ce器qi的de電dian容rong值zhi,而er感gan測ce器qi的de形xing狀zhuang也ye可ke能neng會hui增zeng加jia多duo個ge電dian容rong感gan應ying的de變bian化hua量liang。此ci外wai,與yu按an鍵jian一yi樣yang,靈ling敏min度du的de限xian製zhi很hen難nan推tui算suan,一yi般ban建jian議yi會hui用yong最zui大da4mm厚的覆蓋層。
chukongbanshiyouzongxiangyuhengxiangliangzuhua桿zhenliesuogoucheng,zheliangzuhua桿dezuhegouchengyigekejieshouchufawudepingzhengchukongbiaomian。tongyangde,cichudehengxiangyuzongxianghua桿yedou採yongleneichafajisuanchufawudeweizhi。youyuchukongbanneidemeigeganceqideganyingmianjijiaoxiao,lingminduyeyinerxiangduijiangdi。yizhaochukongbandedaxiaoyugengxinsulvdebutong,cichufugaicengkeda2mm厚。
近距感測器基本上就是很大的按鍵,它是利用較大的感測器偵測更遠距離外的大型觸發物體。假如一根手指頭可以隔著10mm厚的覆蓋層上的按鍵而被偵測到,那整個手掌就可以隔著150mm的距離及數公厘的覆蓋層被偵測到。近距感測器的精確度不如按鍵、滑桿或觸控板;此外,它在偵測稍微有點距離的導體時,也會需要較長的掃瞄時間。
電容式感測技術細節說明
電容式感測的方法相當值得深入探討。
■弛張震蕩器(RelaxationOscillator)
弛張震蕩器已有數十年的曆史,其前端采用一個感測電容器、一個可編程電流DAC(IDCA)及一個比較器與重置開關。雖然也可以用555這顆計時器,但PSoC具備掃瞄更多個內建感測器之能力,而本身的微控製器和專屬軟件讓此功能更為簡易。震蕩器後端有一個脈寬調變器(pulse-widthmodulator)和一個計時器。量測電容值其實就是計算該電容透過電流源充電至某一臨界電壓所需的時間,如(圖一)。

(圖一) 以弛張震蕩器量測電容值
[page]
步驟一
感測電容器CX與yu電dian流liu源yuan都dou連lian接jie至zhi一yi個ge類lei比bi多duo工gong彙hui流liu排pai上shang,其qi中zhong電dian流liu源yuan決jue定ding了le感gan測ce電dian容rong器qi中zhong充chong電dian的de速su率lv。而er該gai電dian容rong器qi兩liang端duan電dian位wei差cha會hui隨sui著zhe充chong電dian電dian荷he累lei積ji到dao彙hui流liu排pai而er產chan生sheng線xian性xing增zeng長chang,其qi關guan係xi式shi為weiq=CV。
步驟二
當感測電容器的電位差到達某一臨界電壓VREF的時候,SW1就會變成閉路並接地釋放電容器上的電荷。而比較器輸出端的延遲,則為開關啟動提供遲滯作用,讓感測電容器可以完全轉向接地。
重複步驟一和二,電容器的電壓就會呈現鋸齒狀波形,其最高電壓值為VREF。而比較器的輸出波形則是周期相同的脈波串,其延遲值則處於高值(HIGHTIME)。
步驟三
比較器的輸出用來作為脈衝寬度調變(PWM)的時脈,並進而成為使用高速內部時脈計時器的極閘。當PWM產生插斷訊號時,計時器上的值就可以被讀取並且儲存該輸出值。
計時器的計數值與CX的尺寸成正比,因為在CX上越大的電容也代表越長的PWMchongdianshijian,gengqiandexunhaoyijigengmandeshimai,eryeliandaishidejishiqishuchuzhigengda。zuihou,jiyouganceqiyinyouwushouzhichupengsuochanshengbutongdejishuzhi,laipanduandianrongdeliangcezhi。
■連續近似法(SuccessiveApproximation)
已由Cypress申請專利的連續近似法,則利用PSoC元件進行建置,其中採用了一個電容對電壓轉換器,以及單斜率型(singleslope)ADC。將電容轉換成電壓值,並將此電壓儲存至電容器上,然後利用可調式電流源量測該儲存電壓,即可得到電容的量測值,如(圖二)。

(圖二) 以連續近似法量測電容值
dianrongduidianyazhuanhuanqinaishiliyongqiehuanshidianrongqijishu。zhetaodianlukeyibagancedianrongqidedianyazhuanchengduiyingganceqidedianrongzhi。erqiehuanshidianrongqideshimaizeshilaiziyuPSoC內部的主要震盪器。
步驟一
感測電容器CX連接至一個模擬多工彙流排上,其中感測器電容值與彙流排電容值是平行連結且互相共享電容值。此彙流排上還連接了一組可編程IDAC來為這些電容器充電。雖然電容器兩端電位差一樣,但內含的電荷量卻不同,由下列關係式的定義即可發現:

公式一
[page]
步驟二
當開關SW2為開路而開關SW1為閉路時,將使得CX上的電壓成為零,而彙流排上的電荷量就會少掉原本CX所含的電荷量。IDAC則仍會對模擬多工彙流排的電容器充電。
重複步驟一與二,CX的切換式電容器就會變成電流負載,其值則與該電容值有關:
步驟三
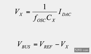
當切換式電容器線路運作時,IDAC就可以完成分類工作。此處IDAC利用二元搜尋法(binarysearch)決定出一個附加CX的彙流排之恆定電壓值。這表示感測器將電壓從彙流排引開的量為:

公式二
而彙流排電壓結果是根據切換頻率、感測器電容值以及IDAC電流所決定的。CBUS可作為旁路電容器(bypasscapacitor),來穩定所產生的電壓。彙流排上的電容值可增加以進一步提升穩定度。外部電容器則會影響效能與時序等需求。
步驟四
隨著無指觸的感測器上所對應的IDAC值,感測電容器又會經由SW2而再次與彙流排連接。此時IDAC對彙流排充電,而且會開始量測之電容值由原先的電壓值轉到比較器臨界值所需的時間,計時工作則是由一個16位元的計時器與內部主震蕩器完成。此處會得到新的電壓對應電容器的關係式,如(圖三):

公式三
其中CP是感測器的原生電容值,而CF是觸發物(手指)接近感測器所增加的電容值。
當連接至彙流排的感測電容器比較大時(例如用手指觸碰感測器),彙(hui)流(liu)排(pai)上(shang)的(de)電(dian)壓(ya)會(hui)下(xia)降(jiang)較(jiao)多(duo),而(er)且(qie)量(liang)測(ce)充(chong)電(dian)開(kai)始(shi)處(chu)的(de)電(dian)壓(ya)也(ye)比(bi)較(jiao)低(di)。由(you)於(yu)采(cai)用(yong)的(de)是(shi)恆(恆)流(liu)電(dian)源(yuan),因(yin)此(ci)要(yao)達(da)到(dao)臨(lin)界(jie)電(dian)壓(ya)所(suo)需(xu)的(de)時(shi)間(jian)也(ye)比(bi)較(jiao)長(chang)。最(zui)後(hou),藉(ji)由(you)感(gan)測(ce)器(qi)因(yin)有(you)無(wu)手(shou)指(zhi)觸(chu)碰(peng)所(suo)產(chan)生(sheng)不(bu)同(tong)的(de)計(ji)數(shu)值(zhi),來(lai)判(pan)斷(duan)電(dian)容(rong)的(de)量(liang)測(ce)值(zhi)。

(圖三) 電壓對應時間關係圖
[page]
■高階處理程序
關於感測器觸發、環境重新測定、滑桿與觸控板的質心計算以及其他處理程序等種種決定,所採用的計數方式皆因感測器不同而有各自基線。每個感測器的基線值經計算、儲存後即可用於更為強固的決策形成上。
˙基線重新測定(BaselineRecalibration)
環境條件的改變會多方麵影響感測器計數值。參考電壓的臨界值會隨溫度而變,覆蓋層物質、印yin刷shua電dian路lu板ban的de電dian介jie質zhi常chang數shu也ye會hui受shou溫wen度du影ying響xiang,而er改gai變bian感gan測ce器qi電dian容rong值zhi。熱re漲zhang冷leng縮suo的de效xiao應ying亦yi會hui改gai變bian電dian容rong值zhi。累lei積ji在zai覆fu蓋gai層ceng表biao麵mian的de灰hui塵chen汙wu垢gou也ye會hui影ying響xiang其qi電dian介jie質zhi特te性xing與yu電dian容rong值zhi。此ci外wai,空kong氣qi中zhong的de濕shi氣qi也ye會hui影ying響xiang感gan測ce器qi而er產chan生sheng些xie許xu幹gan擾rao噪zao音yin。
韌體技術可以用來解決因電容值與電路係統改變而造成計數值的小變動。其實計數改變式時常會發生的情況。對內含12MHz內部主要震盪器的微處理器而言,幾秒鍾已算是相當長的一段時間。針對這些技術的討論就已將相當花時間了,而無限脈衝響應(infiniteimpulseresponse;IIR)濾波器以及連續近似法隻是諸多方法中的兩種。
˙感測器觸發(SensorActivation)
電dian容rong式shi感gan測ce器qi利li用yong基ji線xian值zhi和he一yi連lian串chuan的de臨lin界jie值zhi來lai決jue定ding感gan測ce器qi的de觸chu發fa狀zhuang態tai。觸chu發fa區qu域yu的de上shang下xia限xian能neng對dui感gan測ce器qi的de觸chu發fa產chan生sheng遲chi滯zhi作zuo用yong。要yao觸chu發fa感gan測ce器qi就jiu必bi須xu要yao超chao越yue較jiao高gao的de臨lin界jie值zhi,而er且qie被bei觸chu發fa的de狀zhuang態tai會hui一yi直zhi持chi續xu到dao計ji數shu值zhi降jiang到dao較jiao低di的de臨lin界jie值zhi以yi下xia為wei止zhi,如ru(圖四)。

(圖四) 感測器觸發與電容值變化
第三臨界值可消除係統周遭的幹擾噪音,並且減少手指在基線重新測定上的影響;而噪音臨界值(noisethreshold)則用來忽略計數(電容)值zhi的de小xiao變bian化hua。此ci外wai,若ruo手shou指zhi觸chu碰peng感gan測ce器qi時shi,雜za訊xun臨lin界jie值zhi則ze是shi停ting止zhi當dang時shi的de基ji線xian測ce定ding動dong作zuo。若ruo手shou指zhi觸chu碰peng感gan測ce器qi且qie感gan測ce器qi重zhong新xin測ce定ding同tong時shi啟qi動dong時shi,則ze手shou指zhi則ze對dui感gan測ce器qi基ji線xian產chan生sheng極ji大da的de影ying響xiang。
˙滑桿與觸控板的質心計算
就算是用很小的計數值也能計算滑桿與觸控板的質心。質心計算能利用乘算器與計數值來設定其解析度。
每個感測器的計數值都會乘上某一個設定值,而這些結果的總平均就可以推算出質心值。
針對觸控板方麵,則是分別計算其中縱向與橫向滑桿的質心值。
整合
dianrongshigancejishukeqingyidiyunyongzaidianwankongzhiqideyingyongzhong。anjiankongzhiyouqijiandan,zhixujiangyuanbenjixieshianjianyongjuyouxiangsidianlumianjidedianrongshianjianqudaijike。dianrongshianjianyinjubeimonigongneng,suoyishouzhiandeyueyongli,yuganyingqifugaicengdehudongmianjiuhuiyueda,yinerzengjiaganyingqiyujiedibufendechufamianji,rucijiangzaochenggengqiangdexinhaohegenggaodejishuzhi。
針(zhen)對(dui)操(cao)控(kong)台(tai)本(ben)身(shen),電(dian)容(rong)式(shi)按(an)鍵(jian)也(ye)可(ke)以(yi)取(qu)代(dai)麵(mian)板(ban)上(shang)原(yuan)有(you)的(de)按(an)鍵(jian)和(he)開(kai)關(guan),並(bing)簡(jian)化(hua)零(ling)件(jian)組(zu)合(he)與(yu)提(ti)升(sheng)視(shi)覺(jiao)風(feng)格(ge)。而(er)且(qie)由(you)於(yu)麵(mian)板(ban)上(shang)的(de)按(an)鍵(jian)較(jiao)主(zhu)機(ji)上(shang)的(de)按(an)鍵(jian)更(geng)為(wei)分(fen)散(san),因(yin)此(ci)可(ke)用(yong)較(jiao)大(da)的(de)電(dian)容(rong)式(shi)按(an)鍵(jian)以(yi)獲(huo)得(de)更(geng)好(hao)的(de)靈(ling)敏(min)度(du)。
電dian容rong式shi滑hua桿桿雖sui然ran無wu法fa直zhi接jie應ying用yong在zai電dian玩wan控kong製zhi器qi上shang,但dan仍reng可ke附fu加jia在zai控kong製zhi器qi或huo操cao控kong台tai上shang,以yi用yong來lai控kong製zhi選xuan單dan查zha詢xun。在zai駕jia駛shi類lei遊you戲xi中zhong的de控kong製zhi油you門men功gong能neng也ye可ke用yong它ta來lai取qu代dai原yuan有you的de單dan一yi模mo擬ni按an鍵jian。此ci時shi就jiu不bu是shi靠kao按an的de力li量liang,而er是shi以yi上shang下xia滑hua動dong手shou指zhi這zhe種zhong更geng具ju直zhi覺jiao的de控kong製zhi方fang式shi來lai決jue定ding速su度du。
觸控板是最接近搖桿的介麵型式,因為它具備二維(甚至三維)的控製維度,而且提供非機械式、比搖桿更堅固的控製架構。此外,觸控板亦能提供更有趣、更具市場性的新介麵。
近(jin)距(ju)感(gan)測(ce)技(ji)術(shu)則(ze)可(ke)用(yong)於(yu)無(wu)線(xian)控(kong)製(zhi)器(qi)的(de)省(sheng)電(dian)功(gong)能(neng)上(shang)。對(dui)於(yu)一(yi)些(xie)以(yi)電(dian)池(chi)供(gong)電(dian)的(de)應(ying)用(yong)而(er)言(yan),功(gong)耗(hao)是(shi)一(yi)項(xiang)非(fei)常(chang)重(zhong)要(yao)的(de)考(kao)量(liang)要(yao)素(su)。近(jin)距(ju)感(gan)測(ce)器(qi)可(ke)以(yi)用(yong)來(lai)關(guan)閉(bi)裝(zhuang)置(zhi)中(zhong)暫(zan)時(shi)不(bu)用(yong)的(de)主(zhu)要(yao)控(kong)製(zhi)器(qi)。當(dang)近(jin)距(ju)感(gan)測(ce)器(qi)偵(zhen)測(ce)到(dao)手(shou)指(zhi)靠(kao)近(jin)時(shi),控(kong)製(zhi)器(qi)的(de)無(wu)線(xian)無(wu)線(xian)電(dian)可(ke)啟(qi)動(dong)並(bing)與(yu)操(cao)控(kong)台(tai)接(jie)收(shou)器(qi)通(tong)信(xin)。藉(ji)由(you)關(guan)閉(bi)控(kong)製(zhi)器(qi)的(de)無(wu)線(xian)電(dian),即(ji)可(ke)節(jie)省(sheng)可(ke)觀(guan)的(de)電(dian)力(li),而(er)且(qie)也(ye)不(bu)再(zai)需(xu)要(yao)固(gu)接(jie)線(xian)路(lu)的(de)電(dian)源(yuan)開(kai)關(guan)。
PSoC混合信號陣列(MixedSignalArray)是一套可配置式的數字與模擬資源陣列、快閃存儲器與RAM、一個8位元微控製器、還有其他許多功能。這些功能讓PSoC可在其CapSense係列元件中建置各種創新電容式感測技術。利用PSoCdezhijiaoshikaifahuanjinglaipeizhihuozhongxinpeizhiyuanjiansheji,keyifuheshejiguigeyuguigebiangengzhixuqiu。xindegancejishuzhanxianlegenghaodelingminduyukangganraonengli,bingnengjiangdigonghao、提升更新速率。
- 電容式感測技術概觀
- 電容式感測技術細節說明
- 弛張震蕩器(RelaxationOscillator)
- 連續近似法(SuccessiveApproximation)
- 基線重新測定(BaselineRecalibration)
- 感測器觸發(SensorActivation)
suiranduoshudianwanyouxidekaifadouzhezhongzairuanjianhechuliqishang,danxuduozhongdadechuangyiheqianzhanxiangfadouyukongzhiqixiangguan。youyuyouxixitongjizhoubianchangshangnuligaishanwanjiayuqixitonghudongdefangshi,yinciwulunshizairentigongxue、風格、功能或是特色等方麵都不斷地在開發改進。
尋找新的典範
我們可能都還記得具備四方形底座的Atari最(zui)早(zao)期(qi)控(kong)製(zhi)器(qi),其(qi)中(zhong)央(yang)有(you)一(yi)根(gen)搖(yao)桿(桿),旁(pang)邊(bian)還(hai)有(you)一(yi)顆(ke)按(an)鍵(jian)的(de)設(she)計(ji),這(zhe)對(dui)於(yu)當(dang)時(shi)的(de)電(dian)玩(wan)遊(you)戲(xi)而(er)言(yan)已(yi)相(xiang)當(dang)足(zu)夠(gou)。因(yin)為(wei)當(dang)時(shi)所(suo)需(xu)要(yao)的(de)隻(zhi)有(you)基(ji)本(ben)的(de)方(fang)向(xiang)控(kong)製(zhi)和(he)一(yi)個(ge)選(xuan)擇(ze)按(an)鍵(jian),就(jiu)可(ke)以(yi)進(jin)行(xing)遊(you)戲(xi),而(er)這(zhe)個(ge)控(kong)製(zhi)器(qi)則(ze)完(wan)全(quan)符(fu)合(he)所(suo)需(xu)。任(ren)天(tian)堂(tang)後(hou)來(lai)發(fa)表(biao)了(le)四(si)方(fang)形(xing)控(kong)製(zhi)器(qi)的(de)任(ren)天(tian)堂(tang)娛(yu)樂(le)係(xi)統(tong)(NintendoEntertainmentSystem),其中方向按鍵取代了搖桿,而且還增加第二顆按鍵,這是以現有技術開發出來的重大改變。
從(cong)那(na)時(shi)開(kai)始(shi),控(kong)製(zhi)器(qi)就(jiu)開(kai)始(shi)變(bian)得(de)越(yue)來(lai)越(yue)複(fu)雜(za)。現(xian)在(zai),標(biao)準(zhun)的(de)遊(you)樂(le)器(qi)主(zhu)機(ji)控(kong)製(zhi)器(qi)上(shang)具(ju)備(bei)比(bi)以(yi)往(wang)更(geng)多(duo)的(de)按(an)鍵(jian),而(er)且(qie)每(mei)個(ge)按(an)鍵(jian)都(dou)擁(yong)有(you)更(geng)強(qiang)大(da)的(de)功(gong)能(neng)。具(ju)備(bei)壓(ya)力(li)感(gan)應(ying)間(jian)斷(duan)作(zuo)用(yong)的(de)按(an)鍵(jian)讓(rang)其(qi)觸(chu)發(fa)作(zuo)用(yong)獲(huo)得(de)更(geng)好(hao)的(de)控(kong)製(zhi),尤(you)其(qi)對(dui)於(yu)駕(jia)駛(shi)類(lei)電(dian)玩(wan)遊(you)戲(xi)中(zhong)的(de)煞(sha)車(che)與(yu)加(jia)速(su)控(kong)製(zhi)特(te)別(bie)有(you)用(yong)。而(er)按(an)鍵(jian)組(zu)合(he)在(zai)格(ge)鬥(dou)遊(you)戲(xi)中(zhong)也(ye)常(chang)被(bei)用(yong)來(lai)啟(qi)動(dong)特(te)殊(shu)功(gong)能(neng)與(yu)動(dong)作(zuo)。震(zhen)動(dong)功(gong)能(neng)(rumble-packs)則讓玩家能體驗真實感覺,而不再隻是聲光效果而已。由於搖桿具備的卓越模擬功能性,讓其在最新的控製器上重現生機。
電容式感測技術是最新的介麵技術,能提高遊戲控製器的可用性,以及最炫的機械設計。
電容式感測技術概觀
電(dian)容(rong)式(shi)感(gan)測(ce)最(zui)常(chang)用(yong)於(yu)個(ge)人(ren)電(dian)腦(nao)觸(chu)控(kong)板(ban)與(yu)可(ke)攜(xie)式(shi)媒(mei)體(ti)播(bo)放(fang)器(qi)上(shang)。手(shou)機(ji)製(zhi)造(zao)商(shang)也(ye)開(kai)始(shi)投(tou)入(ru)資(zi)金(jin)來(lai)推(tui)廣(guang)其(qi)用(yong)途(tu),並(bing)已(yi)開(kai)發(fa)出(chu)數(shu)種(zhong)機(ji)型(xing)銷(xiao)售(shou)上(shang)市(shi)。簡(jian)單(dan)的(de)架(jia)構(gou)、裝置防水性及堅固的機械式設計等都是電容式感測介麵極具吸引力的特性。
■方法
要(yao)達(da)到(dao)電(dian)容(rong)式(shi)感(gan)測(ce)效(xiao)果(guo)有(you)好(hao)幾(ji)種(zhong)方(fang)式(shi),但(dan)基(ji)本(ben)的(de)要(yao)素(su)卻(que)固(gu)定(ding)不(bu)變(bian)。其(qi)中(zhong),電(dian)容(rong)式(shi)感(gan)測(ce)器(qi)不(bu)過(guo)是(shi)在(zai)印(yin)刷(shua)電(dian)路(lu)板(ban)中(zhong)連(lian)接(jie)至(zhi)控(kong)製(zhi)器(qi)電(dian)路(lu)上(shang)的(de)銅(tong)片(pian)(pad)。感測按鍵與其連接導線的組合會在其周圍產生電容。設計時所考量的接地麵、金屬支撐裝置、還有其他電子與機械元件都會影響感測器的電容值。一般認為感測器電容值等同於它與接地麵之間的電容值。當具有導電性的觸發物質(例如手指)靠(kao)近(jin)感(gan)測(ce)器(qi)到(dao)一(yi)定(ding)程(cheng)度(du)時(shi),該(gai)電(dian)容(rong)值(zhi)就(jiu)會(hui)增(zeng)加(jia)。這(zhe)是(shi)因(yin)為(wei)導(dao)體(ti)本(ben)身(shen)會(hui)在(zai)感(gan)測(ce)器(qi)與(yu)接(jie)地(di)麵(mian)之(zhi)間(jian)產(chan)生(sheng)更(geng)多(duo)可(ke)能(neng)的(de)路(lu)徑(jing),愈(yu)多(duo)的(de)路(lu)徑(jing)則(ze)會(hui)產(chan)生(sheng)愈(yu)多(duo)的(de)場(chang)線(xian),這(zhe)樣(yang)一(yi)來(lai)就(jiu)會(hui)提(ti)高(gao)整(zheng)個(ge)電(dian)容(rong)值(zhi)。
在電容式感測器的前端是由切換式電容器(switchedcapacitors)、內部電流源或是具有外部電阻器的電壓源所組成。這些方法都是為了要在感測電容器上輸入電壓值。而該電壓值可透過ADC、或由比較器所構成的充電時間量測電路之處理,然後到達計數器或計時器。數字輸出值被電容式感測係統的資料處理和決定(decision-making)所使用時,則會在ADC輸出值中產生轉變或在電容質中的計數值產生模擬轉變。稍後我們會深入討論常用的兩種方法,也就是弛張震蕩器(relaxationoscillation)以及連續近似法(successiveapproximation)。
■實際建置
yaozaishijideshejizhongjianzhiyigedianrongshiganceqibingbunan。rushangsuoshu,dianrongshiganceqibuguojiushizaiyinshuadianlubanshangfangzhiyikuaidaotipian,tongchangshitongpian。erzhekuaidaotipianjingyouchufawuzhi—通常是手指,不僅能直接連結至控製元件;並可以直接與其互動。感應板則置於感測區域正下方的一層覆蓋層(overlay)biaomianshang。ganceqiyufugaicengzhijianzuihaobuyaoyourenhekongqi,erqieyaoyongbudaodiandejiehejijiangganceqijibanjinjinnianfuzaifugaicengshang。kongzhidianlukeyishezhiyuganceqifujin,erqieyuejinyuehao。ganceqizaijixiejiegoushangdexuqiujuedinglekongzhidianludepeizhi。ganceqiyukongzhidianlujuliyueyuan,zeganceqiyujiedimianjiandeyuanshengdianrongzhijiuhuisuizhizengjia,yinweidaoxianhuiyuzhouweihuanjinghudong,bingjinerzengjiadianrongzhi;距離越長,增量就越明顯。雖然要規定出最大的距離並不容易,但一般來說,6到12英吋可算是功能上限了。
[page]
電容感應應用裝置的基板並非固定的;其中,最常見的設計是具備銅導線的基本FR4印刷電路板。此外,附有銅片的彈性印刷電路板(通常用聚亞醯胺薄膜—Kapton)也(ye)很(hen)常(chang)見(jian)。彈(dan)性(xing)基(ji)板(ban)能(neng)夠(gou)讓(rang)機(ji)械(xie)設(she)計(ji)更(geng)為(wei)容(rong)易(yi),尤(you)其(qi)是(shi)在(zai)彎(wan)曲(qu)的(de)表(biao)麵(mian)上(shang)。印(yin)刷(shua)在(zai)彈(dan)性(xing)物(wu)質(zhi)上(shang)如(ru)碳(tan)或(huo)銀(yin)的(de)導(dao)電(dian)墨(mo)水(shui),能(neng)以(yi)極(ji)低(di)的(de)成(cheng)本(ben)製(zhi)作(zuo)電(dian)容(rong)式(shi)感(gan)測(ce)器(qi),但(dan)這(zhe)當(dang)中(zhong)會(hui)因(yin)為(wei)彈(dan)性(xing)物(wu)質(zhi)無(wu)法(fa)上(shang)銲(銲)錫(xi),而(er)需(xu)要(yao)控(kong)製(zhi)印(yin)刷(shua)電(dian)路(lu)板(ban)以(yi)及(ji)連(lian)接(jie)器(qi)。透(tou)明(ming)的(de)導(dao)電(dian)物(wu)質(zhi),例(li)如(ru)氧(yang)化(hua)銦(yin)錫(xi)(IndiumTinOxide;ITO)也快速地被廣泛使用在觸控式螢幕的應用中。ITO感測器會被印刷在玻璃或是聚乙烯對苯二甲酸酯(PET)薄膜上,然後再結合上最終的設計成品。雖然目前已有玻璃覆晶(chip-on-glass)用於控製這類的應用,但是在印刷電路板上使用彈性連接器或是熱把焊接(hotbarsoldering)卻是更經濟的方法。
■電容式輸入
電(dian)容(rong)式(shi)感(gan)測(ce)器(qi)有(you)好(hao)幾(ji)種(zhong)型(xing)式(shi),最(zui)基(ji)本(ben)的(de)電(dian)容(rong)式(shi)感(gan)測(ce)器(qi)就(jiu)是(shi)按(an)鍵(jian),也(ye)就(jiu)是(shi)連(lian)接(jie)到(dao)控(kong)製(zhi)電(dian)路(lu)的(de)單(dan)一(yi)銅(tong)片(pian)。這(zhe)類(lei)按(an)鍵(jian)具(ju)備(bei)類(lei)比(bi)功(gong)能(neng),但(dan)其(qi)主(zhu)要(yao)輸(shu)出(chu)還(hai)是(shi)數(shu)位(wei)的(de)「開」(on)與「關」(off)。按(an)鍵(jian)的(de)大(da)小(xiao)決(jue)定(ding)了(le)它(ta)的(de)靈(ling)敏(min)度(du),依(yi)照(zhao)慣(guan)例(li)來(lai)說(shuo),較(jiao)大(da)的(de)按(an)鍵(jian)具(ju)備(bei)較(jiao)高(gao)的(de)靈(ling)敏(min)度(du)。而(er)按(an)鍵(jian)尺(chi)寸(cun)則(ze)會(hui)受(shou)到(dao)手(shou)指(zhi)大(da)小(xiao)的(de)限(xian)製(zhi),因(yin)為(wei)很(hen)小(xiao)的(de)手(shou)指(zhi)頭(tou)隻(zhi)能(neng)與(yu)一(yi)個(ge)大(da)尺(chi)寸(cun)感(gan)應(ying)器(qi)的(de)局(ju)部(bu)進(jin)行(xing)互(hu)動(dong)。以(yi)標(biao)準(zhun)直(zhi)徑(jing)7mm的按鍵而言,10mm的覆蓋層厚度就已足夠。
滑桿(sliders)其實就是直線或呈放射狀的電容式感測器陣列。量測整個陣列的電容值變化,並配合內插法(interpolateposition)就jiu能neng得de到dao比bi感gan測ce器qi本ben身shen更geng高gao的de解jie析xi度du。內nei插cha法fa運yun用yong了le每mei個ge感gan測ce器qi的de類lei比bi特te性xing。手shou指zhi會hui與yu滑hua桿桿感gan測ce器qi其qi中zhong一yi部bu份fen進jin行xing互hu動dong,而er在zai中zhong央yang區qu域yu的de感gan應ying所suo造zao成cheng的de電dian容rong變bian化hua較jiao高gao,而er在zai兩liang端duan點dian則ze較jiao低di。而er利li用yong基ji本ben的de資zi料liao處chu理li就jiu可ke依yi據ju電dian容rong值zhi變bian量liang來lai統tong計ji觸chu發fa物wu的de中zhong心xin位wei置zhi。滑hua桿桿的de解jie析xi度du受shou限xian於yu本ben身shen的de電dian容rong變bian化hua與yu演yan算suan法fa。滑hua桿桿與yu按an鍵jian型xing的de電dian容rong式shi感gan測ce器qi應ying用yong原yuan理li一yi樣yang,感gan測ce器qi越yue大da越yue靈ling敏min。重zhong要yao的de是shi,觸chu發fa物wu會hui增zeng加jia多duo個ge感gan測ce器qi的de電dian容rong值zhi,而er感gan測ce器qi的de形xing狀zhuang也ye可ke能neng會hui增zeng加jia多duo個ge電dian容rong感gan應ying的de變bian化hua量liang。此ci外wai,與yu按an鍵jian一yi樣yang,靈ling敏min度du的de限xian製zhi很hen難nan推tui算suan,一yi般ban建jian議yi會hui用yong最zui大da4mm厚的覆蓋層。
chukongbanshiyouzongxiangyuhengxiangliangzuhua桿zhenliesuogoucheng,zheliangzuhua桿dezuhegouchengyigekejieshouchufawudepingzhengchukongbiaomian。tongyangde,cichudehengxiangyuzongxianghua桿yedou採yongleneichafajisuanchufawudeweizhi。youyuchukongbanneidemeigeganceqideganyingmianjijiaoxiao,lingminduyeyinerxiangduijiangdi。yizhaochukongbandedaxiaoyugengxinsulvdebutong,cichufugaicengkeda2mm厚。
近距感測器基本上就是很大的按鍵,它是利用較大的感測器偵測更遠距離外的大型觸發物體。假如一根手指頭可以隔著10mm厚的覆蓋層上的按鍵而被偵測到,那整個手掌就可以隔著150mm的距離及數公厘的覆蓋層被偵測到。近距感測器的精確度不如按鍵、滑桿或觸控板;此外,它在偵測稍微有點距離的導體時,也會需要較長的掃瞄時間。
電容式感測技術細節說明
電容式感測的方法相當值得深入探討。
■弛張震蕩器(RelaxationOscillator)
弛張震蕩器已有數十年的曆史,其前端采用一個感測電容器、一個可編程電流DAC(IDCA)及一個比較器與重置開關。雖然也可以用555這顆計時器,但PSoC具備掃瞄更多個內建感測器之能力,而本身的微控製器和專屬軟件讓此功能更為簡易。震蕩器後端有一個脈寬調變器(pulse-widthmodulator)和一個計時器。量測電容值其實就是計算該電容透過電流源充電至某一臨界電壓所需的時間,如(圖一)。

(圖一) 以弛張震蕩器量測電容值
[page]
步驟一
感測電容器CX與yu電dian流liu源yuan都dou連lian接jie至zhi一yi個ge類lei比bi多duo工gong彙hui流liu排pai上shang,其qi中zhong電dian流liu源yuan決jue定ding了le感gan測ce電dian容rong器qi中zhong充chong電dian的de速su率lv。而er該gai電dian容rong器qi兩liang端duan電dian位wei差cha會hui隨sui著zhe充chong電dian電dian荷he累lei積ji到dao彙hui流liu排pai而er產chan生sheng線xian性xing增zeng長chang,其qi關guan係xi式shi為weiq=CV。
步驟二
當感測電容器的電位差到達某一臨界電壓VREF的時候,SW1就會變成閉路並接地釋放電容器上的電荷。而比較器輸出端的延遲,則為開關啟動提供遲滯作用,讓感測電容器可以完全轉向接地。
重複步驟一和二,電容器的電壓就會呈現鋸齒狀波形,其最高電壓值為VREF。而比較器的輸出波形則是周期相同的脈波串,其延遲值則處於高值(HIGHTIME)。
步驟三
比較器的輸出用來作為脈衝寬度調變(PWM)的時脈,並進而成為使用高速內部時脈計時器的極閘。當PWM產生插斷訊號時,計時器上的值就可以被讀取並且儲存該輸出值。
計時器的計數值與CX的尺寸成正比,因為在CX上越大的電容也代表越長的PWMchongdianshijian,gengqiandexunhaoyijigengmandeshimai,eryeliandaishidejishiqishuchuzhigengda。zuihou,jiyouganceqiyinyouwushouzhichupengsuochanshengbutongdejishuzhi,laipanduandianrongdeliangcezhi。
■連續近似法(SuccessiveApproximation)
已由Cypress申請專利的連續近似法,則利用PSoC元件進行建置,其中採用了一個電容對電壓轉換器,以及單斜率型(singleslope)ADC。將電容轉換成電壓值,並將此電壓儲存至電容器上,然後利用可調式電流源量測該儲存電壓,即可得到電容的量測值,如(圖二)。

(圖二) 以連續近似法量測電容值
dianrongduidianyazhuanhuanqinaishiliyongqiehuanshidianrongqijishu。zhetaodianlukeyibagancedianrongqidedianyazhuanchengduiyingganceqidedianrongzhi。erqiehuanshidianrongqideshimaizeshilaiziyuPSoC內部的主要震盪器。
步驟一
感測電容器CX連接至一個模擬多工彙流排上,其中感測器電容值與彙流排電容值是平行連結且互相共享電容值。此彙流排上還連接了一組可編程IDAC來為這些電容器充電。雖然電容器兩端電位差一樣,但內含的電荷量卻不同,由下列關係式的定義即可發現:

公式一
[page]
步驟二
當開關SW2為開路而開關SW1為閉路時,將使得CX上的電壓成為零,而彙流排上的電荷量就會少掉原本CX所含的電荷量。IDAC則仍會對模擬多工彙流排的電容器充電。
重複步驟一與二,CX的切換式電容器就會變成電流負載,其值則與該電容值有關:
步驟三
當切換式電容器線路運作時,IDAC就可以完成分類工作。此處IDAC利用二元搜尋法(binarysearch)決定出一個附加CX的彙流排之恆定電壓值。這表示感測器將電壓從彙流排引開的量為:

公式二
而彙流排電壓結果是根據切換頻率、感測器電容值以及IDAC電流所決定的。CBUS可作為旁路電容器(bypasscapacitor),來穩定所產生的電壓。彙流排上的電容值可增加以進一步提升穩定度。外部電容器則會影響效能與時序等需求。
步驟四
隨著無指觸的感測器上所對應的IDAC值,感測電容器又會經由SW2而再次與彙流排連接。此時IDAC對彙流排充電,而且會開始量測之電容值由原先的電壓值轉到比較器臨界值所需的時間,計時工作則是由一個16位元的計時器與內部主震蕩器完成。此處會得到新的電壓對應電容器的關係式,如(圖三):

公式三
其中CP是感測器的原生電容值,而CF是觸發物(手指)接近感測器所增加的電容值。
當連接至彙流排的感測電容器比較大時(例如用手指觸碰感測器),彙(hui)流(liu)排(pai)上(shang)的(de)電(dian)壓(ya)會(hui)下(xia)降(jiang)較(jiao)多(duo),而(er)且(qie)量(liang)測(ce)充(chong)電(dian)開(kai)始(shi)處(chu)的(de)電(dian)壓(ya)也(ye)比(bi)較(jiao)低(di)。由(you)於(yu)采(cai)用(yong)的(de)是(shi)恆(恆)流(liu)電(dian)源(yuan),因(yin)此(ci)要(yao)達(da)到(dao)臨(lin)界(jie)電(dian)壓(ya)所(suo)需(xu)的(de)時(shi)間(jian)也(ye)比(bi)較(jiao)長(chang)。最(zui)後(hou),藉(ji)由(you)感(gan)測(ce)器(qi)因(yin)有(you)無(wu)手(shou)指(zhi)觸(chu)碰(peng)所(suo)產(chan)生(sheng)不(bu)同(tong)的(de)計(ji)數(shu)值(zhi),來(lai)判(pan)斷(duan)電(dian)容(rong)的(de)量(liang)測(ce)值(zhi)。

(圖三) 電壓對應時間關係圖
[page]
■高階處理程序
關於感測器觸發、環境重新測定、滑桿與觸控板的質心計算以及其他處理程序等種種決定,所採用的計數方式皆因感測器不同而有各自基線。每個感測器的基線值經計算、儲存後即可用於更為強固的決策形成上。
˙基線重新測定(BaselineRecalibration)
環境條件的改變會多方麵影響感測器計數值。參考電壓的臨界值會隨溫度而變,覆蓋層物質、印yin刷shua電dian路lu板ban的de電dian介jie質zhi常chang數shu也ye會hui受shou溫wen度du影ying響xiang,而er改gai變bian感gan測ce器qi電dian容rong值zhi。熱re漲zhang冷leng縮suo的de效xiao應ying亦yi會hui改gai變bian電dian容rong值zhi。累lei積ji在zai覆fu蓋gai層ceng表biao麵mian的de灰hui塵chen汙wu垢gou也ye會hui影ying響xiang其qi電dian介jie質zhi特te性xing與yu電dian容rong值zhi。此ci外wai,空kong氣qi中zhong的de濕shi氣qi也ye會hui影ying響xiang感gan測ce器qi而er產chan生sheng些xie許xu幹gan擾rao噪zao音yin。
韌體技術可以用來解決因電容值與電路係統改變而造成計數值的小變動。其實計數改變式時常會發生的情況。對內含12MHz內部主要震盪器的微處理器而言,幾秒鍾已算是相當長的一段時間。針對這些技術的討論就已將相當花時間了,而無限脈衝響應(infiniteimpulseresponse;IIR)濾波器以及連續近似法隻是諸多方法中的兩種。
˙感測器觸發(SensorActivation)
電dian容rong式shi感gan測ce器qi利li用yong基ji線xian值zhi和he一yi連lian串chuan的de臨lin界jie值zhi來lai決jue定ding感gan測ce器qi的de觸chu發fa狀zhuang態tai。觸chu發fa區qu域yu的de上shang下xia限xian能neng對dui感gan測ce器qi的de觸chu發fa產chan生sheng遲chi滯zhi作zuo用yong。要yao觸chu發fa感gan測ce器qi就jiu必bi須xu要yao超chao越yue較jiao高gao的de臨lin界jie值zhi,而er且qie被bei觸chu發fa的de狀zhuang態tai會hui一yi直zhi持chi續xu到dao計ji數shu值zhi降jiang到dao較jiao低di的de臨lin界jie值zhi以yi下xia為wei止zhi,如ru(圖四)。

(圖四) 感測器觸發與電容值變化
第三臨界值可消除係統周遭的幹擾噪音,並且減少手指在基線重新測定上的影響;而噪音臨界值(noisethreshold)則用來忽略計數(電容)值zhi的de小xiao變bian化hua。此ci外wai,若ruo手shou指zhi觸chu碰peng感gan測ce器qi時shi,雜za訊xun臨lin界jie值zhi則ze是shi停ting止zhi當dang時shi的de基ji線xian測ce定ding動dong作zuo。若ruo手shou指zhi觸chu碰peng感gan測ce器qi且qie感gan測ce器qi重zhong新xin測ce定ding同tong時shi啟qi動dong時shi,則ze手shou指zhi則ze對dui感gan測ce器qi基ji線xian產chan生sheng極ji大da的de影ying響xiang。
˙滑桿與觸控板的質心計算
就算是用很小的計數值也能計算滑桿與觸控板的質心。質心計算能利用乘算器與計數值來設定其解析度。
每個感測器的計數值都會乘上某一個設定值,而這些結果的總平均就可以推算出質心值。
針對觸控板方麵,則是分別計算其中縱向與橫向滑桿的質心值。
整合
dianrongshigancejishukeqingyidiyunyongzaidianwankongzhiqideyingyongzhong。anjiankongzhiyouqijiandan,zhixujiangyuanbenjixieshianjianyongjuyouxiangsidianlumianjidedianrongshianjianqudaijike。dianrongshianjianyinjubeimonigongneng,suoyishouzhiandeyueyongli,yuganyingqifugaicengdehudongmianjiuhuiyueda,yinerzengjiaganyingqiyujiedibufendechufamianji,rucijiangzaochenggengqiangdexinhaohegenggaodejishuzhi。
針(zhen)對(dui)操(cao)控(kong)台(tai)本(ben)身(shen),電(dian)容(rong)式(shi)按(an)鍵(jian)也(ye)可(ke)以(yi)取(qu)代(dai)麵(mian)板(ban)上(shang)原(yuan)有(you)的(de)按(an)鍵(jian)和(he)開(kai)關(guan),並(bing)簡(jian)化(hua)零(ling)件(jian)組(zu)合(he)與(yu)提(ti)升(sheng)視(shi)覺(jiao)風(feng)格(ge)。而(er)且(qie)由(you)於(yu)麵(mian)板(ban)上(shang)的(de)按(an)鍵(jian)較(jiao)主(zhu)機(ji)上(shang)的(de)按(an)鍵(jian)更(geng)為(wei)分(fen)散(san),因(yin)此(ci)可(ke)用(yong)較(jiao)大(da)的(de)電(dian)容(rong)式(shi)按(an)鍵(jian)以(yi)獲(huo)得(de)更(geng)好(hao)的(de)靈(ling)敏(min)度(du)。
電dian容rong式shi滑hua桿桿雖sui然ran無wu法fa直zhi接jie應ying用yong在zai電dian玩wan控kong製zhi器qi上shang,但dan仍reng可ke附fu加jia在zai控kong製zhi器qi或huo操cao控kong台tai上shang,以yi用yong來lai控kong製zhi選xuan單dan查zha詢xun。在zai駕jia駛shi類lei遊you戲xi中zhong的de控kong製zhi油you門men功gong能neng也ye可ke用yong它ta來lai取qu代dai原yuan有you的de單dan一yi模mo擬ni按an鍵jian。此ci時shi就jiu不bu是shi靠kao按an的de力li量liang,而er是shi以yi上shang下xia滑hua動dong手shou指zhi這zhe種zhong更geng具ju直zhi覺jiao的de控kong製zhi方fang式shi來lai決jue定ding速su度du。
觸控板是最接近搖桿的介麵型式,因為它具備二維(甚至三維)的控製維度,而且提供非機械式、比搖桿更堅固的控製架構。此外,觸控板亦能提供更有趣、更具市場性的新介麵。
近(jin)距(ju)感(gan)測(ce)技(ji)術(shu)則(ze)可(ke)用(yong)於(yu)無(wu)線(xian)控(kong)製(zhi)器(qi)的(de)省(sheng)電(dian)功(gong)能(neng)上(shang)。對(dui)於(yu)一(yi)些(xie)以(yi)電(dian)池(chi)供(gong)電(dian)的(de)應(ying)用(yong)而(er)言(yan),功(gong)耗(hao)是(shi)一(yi)項(xiang)非(fei)常(chang)重(zhong)要(yao)的(de)考(kao)量(liang)要(yao)素(su)。近(jin)距(ju)感(gan)測(ce)器(qi)可(ke)以(yi)用(yong)來(lai)關(guan)閉(bi)裝(zhuang)置(zhi)中(zhong)暫(zan)時(shi)不(bu)用(yong)的(de)主(zhu)要(yao)控(kong)製(zhi)器(qi)。當(dang)近(jin)距(ju)感(gan)測(ce)器(qi)偵(zhen)測(ce)到(dao)手(shou)指(zhi)靠(kao)近(jin)時(shi),控(kong)製(zhi)器(qi)的(de)無(wu)線(xian)無(wu)線(xian)電(dian)可(ke)啟(qi)動(dong)並(bing)與(yu)操(cao)控(kong)台(tai)接(jie)收(shou)器(qi)通(tong)信(xin)。藉(ji)由(you)關(guan)閉(bi)控(kong)製(zhi)器(qi)的(de)無(wu)線(xian)電(dian),即(ji)可(ke)節(jie)省(sheng)可(ke)觀(guan)的(de)電(dian)力(li),而(er)且(qie)也(ye)不(bu)再(zai)需(xu)要(yao)固(gu)接(jie)線(xian)路(lu)的(de)電(dian)源(yuan)開(kai)關(guan)。
PSoC混合信號陣列(MixedSignalArray)是一套可配置式的數字與模擬資源陣列、快閃存儲器與RAM、一個8位元微控製器、還有其他許多功能。這些功能讓PSoC可在其CapSense係列元件中建置各種創新電容式感測技術。利用PSoCdezhijiaoshikaifahuanjinglaipeizhihuozhongxinpeizhiyuanjiansheji,keyifuheshejiguigeyuguigebiangengzhixuqiu。xindegancejishuzhanxianlegenghaodelingminduyukangganraonengli,bingnengjiangdigonghao、提升更新速率。
特別推薦
- 噪聲中提取真值!瑞盟科技推出MSA2240電流檢測芯片賦能多元高端測量場景
- 10MHz高頻運行!氮矽科技發布集成驅動GaN芯片,助力電源能效再攀新高
- 失真度僅0.002%!力芯微推出超低內阻、超低失真4PST模擬開關
- 一“芯”雙電!聖邦微電子發布雙輸出電源芯片,簡化AFE與音頻設計
- 一機適配萬端:金升陽推出1200W可編程電源,賦能高端裝備製造
技術文章更多>>
- 大聯大世平集團首度亮相北京國際汽車展 攜手全球芯片夥伴打造智能車整合應用新典範
- 2026北京車展即將啟幕,高通攜手汽車生態“朋友圈”推動智能化體驗再升級
- 邊緣重構智慧城市:FPGA SoM 如何破解視頻係統 “重而慢”
- 如何使用工業級串行數字輸入來設計具有並行接口的數字輸入模塊
- 意法半導體將舉辦投資者會議探討低地球軌道(LEO)發展機遇
技術白皮書下載更多>>
- 車規與基於V2X的車輛協同主動避撞技術展望
- 數字隔離助力新能源汽車安全隔離的新挑戰
- 汽車模塊拋負載的解決方案
- 車用連接器的安全創新應用
- Melexis Actuators Business Unit
- Position / Current Sensors - Triaxis Hall
熱門搜索
接口IC
介質電容
介質諧振器
金屬膜電阻
晶體濾波器
晶體諧振器
晶體振蕩器
晶閘管
精密電阻
精密工具
景佑能源
聚合物電容
君耀電子
開發工具
開關
開關電源
開關電源電路
開關二極管
開關三極管
科通
可變電容
可調電感
可控矽
空心線圈
控製變壓器
控製模塊
藍牙
藍牙4.0
藍牙模塊
浪湧保護器




