熱插拔保護電路設計過程實例
發布時間:2009-06-23
中心議題:
- 熱插拔技術
- 熱插拔設計實例分析
解決方案:
- 電壓超過10 V的情況下使能控製器的情況
- 檢測電阻的選取應以開啟定時器所需的負載電流為依據。
- 選擇MOSFET之前必須確定負載電容充電所需的時間
- 選擇MOSFET之前選定VDS 和ID標準
服務器、網絡交換機、冗餘存儲磁盤陣列(RAID),yijiqitaxingshidetongxinjichusheshidenggaokeyongxingxitong,xuyaozaizhenggeshiyongshengmingzhouqineijuyoujiejinlingdetingjilv。ruguozhezhongxitongdeyigebujianfashengleguzhanghuoshixuyaoshengji,tabixuzaibuzhongduanxitongqiyubufendeqingkuangxiajinxingtihuan,zaixitongweichiyunzhuandeqingkuangxia,fashengguzhangdedianlubanhuomokuaijiangbeiyichu,tongshitihuanbujianbeicharu。zhegeguochengbeichengweirechaba(hot swapping)(當模塊與係統軟件有相互作用時,也被稱為hot plugging1)。
為wei了le實shi現xian安an全quan的de熱re插cha拔ba,通tong常chang使shi用yong帶dai交jiao錯cuo引yin腳jiao的de連lian接jie器qi來lai保bao證zheng地di與yu電dian源yuan的de建jian立li先xian於yu其qi它ta連lian接jie,另ling外wai,為wei了le能neng夠gou容rong易yi的de從cong帶dai電dian背bei板ban上shang安an全quan的de移yi除chu和he插cha入ru模mo塊kuai,每mei塊kuai印yin製zhi板ban(PCB)或熱插拔模塊都帶有熱插拔控製器。在工作狀態下,控製器還可提供持續的短路保護和過流保護。
盡管切斷或開啟的電流會比較大,但大電流設計的一些微妙之處卻常常未得到充分的考慮。“細節決定成敗”,本文將重點分析熱插拔控製電路中各部件的功能及重要性,並深入分析在設計過程中使用ADI公司ADM11773熱插拔控製器時的設計考慮和器件選型標準。
熱插拔技術
常用的兩種係統電源電壓為-48 V和+12 V,它們使用不同的熱插拔保護配置。-48 V係統包含低端熱插拔控製器和導通MOSFET;而+12 V 係統使用高端熱插拔控製器和導通MOSFET。
-48 V方案來源於傳統的通信交換係統技術,如高級通信計算架構(ATCA)係統、光網絡、基站,以及刀片式服務器。48 V電源通常可由電池組提供,選用48 V是因為電源及信號能被傳輸至較遠的距離,同時不會遭受很大損失;lingwai,zaitongchangtiaojianxia,youyudianpingbugougao,suoyibuhuichanshengyanzhongdedianqichongjiweixian。caiyongfudianyadeyuanyinshi,dangshebeibukebimiandebaoluzaichaoshihuanjingzhongshi,zaizhengjiduanjiedideqingkuangxia,congyangjidaoyinjidejinshuliziqianyidefushixingjiaoruo。
然而,在數據通信係統中,距離並不是重要因素,+12 V電壓會更加合理,它常用於服務器及網絡係統中。本文將重點介紹+12 V係統。
熱插拔事件
考慮一個具有12 V背bei板ban及ji一yi組zu可ke移yi除chu模mo塊kuai的de係xi統tong。每mei個ge模mo塊kuai必bi須xu能neng在zai不bu影ying響xiang任ren意yi相xiang鄰lin模mo塊kuai正zheng常chang工gong作zuo的de條tiao件jian下xia被bei移yi除chu和he替ti換huan。當dang沒mei有you控kong製zhi器qi時shi,每mei個ge模mo塊kuai可ke能neng會hui對dui電dian源yuan線xian造zao成cheng較jiao大da的de負fu載zai電dian容rong,通tong常chang在zai毫hao法fa量liang級ji。首shou次ci插cha入ru一yi個ge模mo塊kuai時shi,其qi未wei充chong電dian的de電dian容rong需xu要yao所suo有you可ke用yong的de電dian流liu來lai對dui其qi進jin行xing充chong電dian。如ru果guo不bu對dui這zhe個ge浪lang湧yong電dian流liu加jia以yi限xian製zhi,這zhe個ge很hen大da的de初chu始shi電dian流liu將jiang會hui降jiang低di端duan電dian壓ya,導dao致zhi主zhu背bei板ban上shang的de電dian壓ya大da幅fu下xia降jiang,使shi係xi統tong中zhong的de多duo個ge鄰lin近jin模mo塊kuai複fu位wei,並bing破po壞huai模mo塊kuai的de連lian接jie器qi。
這個問題可通過熱插拔控製器(圖1)來(lai)解(jie)決(jue),熱(re)插(cha)拔(ba)控(kong)製(zhi)器(qi)能(neng)合(he)理(li)控(kong)製(zhi)浪(lang)湧(yong)電(dian)流(liu),確(que)保(bao)安(an)全(quan)上(shang)電(dian)間(jian)隔(ge)。上(shang)電(dian)後(hou),熱(re)插(cha)拔(ba)控(kong)製(zhi)器(qi)還(hai)能(neng)持(chi)續(xu)監(jian)控(kong)電(dian)源(yuan)電(dian)流(liu),在(zai)正(zheng)常(chang)工(gong)作(zuo)過(guo)程(cheng)中(zhong)避(bi)免(mian)短(duan)路(lu)和(he)過(guo)流(liu)。
[page]
熱插拔控製器
ADM1177熱插拔控製器包括三個主要元件(圖2):用作電源控製主開關的N溝道MOSFET、測量電流的檢測電阻,以及熱插拔控製器。熱插拔控製器用於實現控製MOSFET導通電流的環路,其中包含一個電流檢測放大器。

圖2、ADM1177功能框圖
熱插拔控製器內部的電流檢測放大器用於監控外部檢測電阻上的電壓降。這個小電壓(通常為0~100 mV)必須被放大到可用的水平。ADM1177中放大器的增益為10,那麼,舉例來說,某個給定電流產生的100 mV電壓降將被放大到1 V。這個電壓將與固定或可變的基準電壓進行比較。如果使用1V的基準源,那麼在檢測電阻上產生 100 mV(±3%)以上電壓的電流將導致比較器指示過流。因此,最大電流觸發點主要取決於檢測電阻、放大器增益,以及基準電壓;檢測電阻值決定了最大電流。定時器電路用於設定過流持續時間。
ADM1177具(ju)有(you)軟(ruan)啟(qi)動(dong)功(gong)能(neng),其(qi)中(zhong)過(guo)流(liu)基(ji)準(zhun)電(dian)壓(ya)線(xian)性(xing)上(shang)升(sheng),而(er)不(bu)是(shi)突(tu)然(ran)開(kai)啟(qi),這(zhe)使(shi)得(de)負(fu)載(zai)電(dian)流(liu)也(ye)以(yi)類(lei)似(si)方(fang)式(shi)跟(gen)著(zhe)變(bian)化(hua)。這(zhe)可(ke)通(tong)過(guo)從(cong)內(nei)部(bu)電(dian)流(liu)源(yuan)往(wang)外(wai)部(bu)電(dian)容(rong)(SS引腳)注入電流,令比較器的基準輸入從0 V到1 V線性升高而實現。外部SS電容決定了上升的速度。如果需要,SS引腳也可以直接使用電壓驅動,以設定最大電流限。
由(you)比(bi)較(jiao)器(qi)及(ji)參(can)考(kao)電(dian)路(lu)構(gou)成(cheng)的(de)開(kai)啟(qi)電(dian)路(lu)用(yong)於(yu)使(shi)能(neng)器(qi)件(jian)。它(ta)精(jing)確(que)設(she)定(ding)了(le)使(shi)能(neng)控(kong)製(zhi)器(qi)所(suo)必(bi)須(xu)達(da)到(dao)的(de)電(dian)源(yuan)電(dian)壓(ya)。器(qi)件(jian)一(yi)旦(dan)使(shi)能(neng),柵(zha)極(ji)就(jiu)開(kai)始(shi)充(chong)電(dian),這(zhe)種(zhong)電(dian)路(lu)所(suo)使(shi)用(yong)的(de)N溝道MOSFET的柵極電壓必須高於源極。為了在整個電源電壓(VCC)範圍內實現這個條件,熱插拔控製器集成了一個電荷泵,能夠將GATE引腳的電壓維持在比VCC還高10 V的水平。必要時,GATE引腳需要電荷泵上拉電流來使能MOSFET,並需要下拉電流來禁用MOSFET。較弱的下拉電流用於調節,較強的下拉電流則用於在短路情況下快速禁用MOSFET。
熱插拔控製器的最後一個基本模塊為定時器,它限製過流情況下電流的調節時間。選用的MOSFET能在指定的最長時間內承受一定的功率。MOSFET製造商使用如圖3所示的圖表標出這個範圍,或稱作安全工作區(SOA)。

圖3 MOSFET SOA圖
SOA圖所示的是漏源電壓、漏極電流,以及MOSFET能夠承受這一功耗的持續時間之間的關係。例如,圖3中的MOSFET在10 V和85 A(850 W)條件下能承受1 ms,如果這一條件持續更長時間,則MOSFET可能損壞。定時器電路使用外部定時器電容來限製MOSFET經受這些最壞條件的時間。例如,如果定時器設置為1ms,當電流的持續時間超過1 ms的限製時,電路就會暫停,並關斷MOSFET。
為了提供安全裕量,在ADM1177中,定時器的電流檢測電壓激活閾值被設置為92 mV,因此,當檢測電壓接近100 mV的額定值時,熱插拔控製器就會開始計時。[page]
設計實例
由於ADM1177等控製器的設計允許一定的靈活性,因此演示其在12 V熱插拔設計實例中的應用是很有用的。在本例中,假設:
• 控製器為ADM1177
• VIN = 12 V (±10%)
• VMAX = 13.2 V
• ITRIP = 30 A
• CLOAD = 2000 μF
• VON = 10 V (較好的開啟控製器的電源電平)
• IPOWERUP = 1 A (上電過程中所需的直流偏置電流)
為簡化討論,計算中不考慮器件容差效應。當然,在最壞條件的設計中,應當考慮這些容差。
ON 引腳
首先考慮在電源電壓超過10 V的情況下使能控製器的情況。如果ON引腳的閾值為1.3 V,從VIN 到ON引腳的分壓器比例應該設定為0.13:1。為了保證準確性,選擇電阻時應考慮到引腳的漏電。
由10 kΩ與1.5 kΩ構成的電阻分壓器的分壓比為0.130。
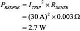
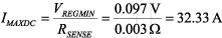
檢測電阻的選擇
檢測電阻的選取應以開啟定時器所需的負載電流為依據。
![]()
其中 VSENSETIMER = 92 mV.
檢測電阻在30 A電流下消耗的最大功率為

因此,檢測電阻應該能承受3W的功率。如果沒有具有適當的額定功率或阻值的單個電阻,可以使用多個電阻並聯來構成檢測電阻。
負載電容充電時間
選擇MOSFET之前必須確定負載電容充電所需的時間。在上電階段,由於負載電容的浪湧電流效應,控製器通常會達到電流限製。如果TIMER引腳設置的時間不足以允許負載電容完成充電,那麼MOSFET將被禁用,係統無法上電。我們可以使用下列公式來確定理想的充電時間:

其中 VREGMIN = 97 mV,是熱插拔控製器的最小調節電壓。
這個公式假定負載電流瞬時從0 A上升到30 A,這是一個理想情況。實際上,較大MOSFET的柵極電荷量QGS會限製柵極電壓的壓擺率,從而限製上電電流,因此,一定量的電荷會傳輸到負載電容而不觸發定時器功能。在圖4中,具有較大QGS的MOSFET會導致定時器的工作時間短於具有較小QGS的MOSFET,前者為T1 ~ T3,而後者為T0 ~ T2。[page]

圖4、啟動過程中QGS的影響
這是因為在T0和T1之間傳輸電荷的增加小於電流限製,因此實際時間小於計算所需的時間。這個數值難以定量,它取決於控製器柵極電流以及MOSFET的柵極電荷和電容。在某些情況下,它可能占到整個充電電流的30%,因此在設計中需要對其加以考慮,尤其是使用大MOSFET及大電流的設計。
在利用具有較小柵極電荷的MOSFET的設計中,可假設柵極電壓的上升速度很快。這會導致從0 A到ITRIP的快速增加,從而引起不希望的瞬變,在這種情況下,應使用軟啟動。
軟啟動
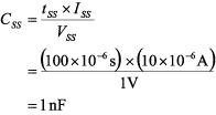
利用軟啟動,浪湧電流在軟啟電容設定的期間可以從零線性增加到滿量程。通過逐步提高基準電流,能避免浪湧電流突然達到30 A的限製。需要注意的是,在軟啟過程中,電流處於調整過程中,因此,定時器從軟啟動開始之際就進入工作狀態,如圖5所示。

因此,推薦將軟啟動時間設定為不超過定時器總時間的10%~20%。例如,可以選擇100 μs的時間。軟啟電容可由下式確定:

其中 ISS = 10 μA and VSS = 1 V.
MOSFET與定時器的選擇
選擇合適的MOSFET的第一步為選定VDS 和ID標準。對於12 V係統來說,VDS應為30 V或40 V,以處理可能損壞MOSFET的瞬變。MOSFET的 ID應遠大於所需的最大值(參考圖3的SOA圖)。在大電流應用中,最重要的指標之一為MOSFET的導通電阻RDSON。較小的RDSON能確保MOSFET在正常工作時具有最小功耗,並在滿負載條件下產生最少的熱量。
對熱量及功耗的考慮
因為必須要避免過熱,因此,在考慮SOA指標與定時器選擇之前,應該先考慮MOSFET在直流負載條件下的功耗。隨著MOSFET溫度的升高,額定功率將會減小或降額。此外,在高溫下工作時,MOSFET的使用壽命會縮短。
[page]
前麵提及熱插拔控製器將在92 mV的最小檢測電壓下開啟定時器。為了進行計算,我們需要知道不會觸發定時器的最大允許直流電流。假設最壞條件下的VREGMIN 為97 mV,那麼,
![]()
假設 MOSFET''''''''''''''''''''''''''''''''s 最大 RDSON is 2 mΩ,則功率為

數據手冊中會給出MOSFET在常溫下的熱電阻。封裝尺寸及附加的銅引線會對其具有一定影響。假設
![]()
由於 MOSFET需要消耗2.1W的功率,最壞條件下,溫度可能將上升到高於室溫126°C:
![]()
降低這個數值的一種方法是並聯使用兩個或更多的MOSFET,這樣能有效降低RDSON,從而降低MOSFET的功耗。使用兩個MOSFET時,假設電流在器件間均勻匹配(允許一定的容差),那麼每個MOSFET的溫度升高最大值為32°C。下式給出了每個MOSFET的功耗:

假設室溫TA = 30°C,再加上這個溫度上升值,那麼每個MOSFET的最大溫度為62°C。
![]()
MOSFET SOA考慮
下一步需要檢查SOA圖,以選擇合適的能工作在最壞條件的MOSFET。在短路到地的最壞條件下,可假設VDS等於 VMAX,為 13.2V,這是將MOSFET源極拉到地時MOSFET上能產生的最大電壓。在調節階段,最壞條件將取決於數據手冊中熱插拔控製器調節點的最大值,這個值為103 mV。於是,電流可根據下式進行計算:
![]()
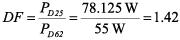
在與MOSFET SOA圖進行比較之前,我們需要考慮MOSFET的溫度降額,因為SOA是以室溫(TC = 25°C)下的數據為基礎的。首先計算TC = 25°C下的功耗:
![]()
其中 RthJC 可由MOSFET數據手冊得到。
現在對TC = 62°C進行同樣的計算:
![]()
因此,1.42的降額因數可通過如下計算得到:
![]()
這需要被應用於圖3的MOSFET SOA圖中。為了反映出調節過的額定功率,需要把表示施加最大功率的時間值的對角線向下平移。我們先使用1 ms線來舉例說明這條曲線的原理。例如,在這條線上取一點,如(20 A、40 V),這點的功率為800 W,應用降額公式:
![]()
在40 V,降額後的功率所對應的電流為14 A,在SOA圖上這點將確定新的62°C降額後的1 ms線。使用同樣的辦法可確定新的10 ms以及100 μs線。新線在圖6中以紅色示出。

圖6、包含62°C降額後功率限製的SOA圖[page]
選擇定時器電容
SOA中新的降額線可用於重新計算定時器的參數值。沿IMAX ≈ 35A 畫一條水平線,沿VMAX = 13.2 V畫一條垂直線(淡藍色的線),並確定它們與紅色線的交叉點。這些交叉點示出1 ms與10 ms之間的某個時間,也許是2 ms。在zai對dui數shu坐zuo標biao圖tu的de小xiao範fan圍wei內nei,一yi般ban很hen難nan獲huo取qu準zhun確que的de數shu值zhi,因yin此ci要yao進jin行xing慎shen重zhong的de選xuan擇ze,要yao考kao慮lv到dao這zhe些xie選xuan擇ze對dui性xing能neng以yi及ji價jia格ge等deng其qi它ta標biao準zhun的de影ying響xiang,確que保bao留liu有you足zu夠gou的de容rong差cha。
前麵提到對負載進行充電的時間約為850 μs。由(you)於(yu)軟(ruan)啟(qi)動(dong)時(shi)間(jian)是(shi)由(you)線(xian)性(xing)斜(xie)坡(po)決(jue)定(ding)的(de),與(yu)階(jie)躍(yue)變(bian)化(hua)相(xiang)比(bi),要(yao)花(hua)費(fei)更(geng)長(chang)的(de)時(shi)間(jian)來(lai)對(dui)負(fu)載(zai)電(dian)容(rong)充(chong)電(dian)。為(wei)了(le)估(gu)算(suan)總(zong)的(de)電(dian)荷(he)量(liang),如(ru)果(guo)使(shi)用(yong)軟(ruan)啟(qi)動(dong),假(jia)設(she)需(xu)要(yao)在(zai)計(ji)算(suan)時(shi)間(jian)的(de)基(ji)礎(chu)上(shang)加(jia)上(shang)軟(ruan)啟(qi)動(dong)時(shi)間(jian)的(de)一(yi)半(ban),於(yu)是(shi),在(zai)850 μs上加軟啟動時間的一半(50 μs),得到總時間約為900 μs。如果所選的MOSFET具有較大的柵極電荷(比如≥80 nC),如前所述,這個時間需要進一步縮小。如果對負載充電的時間小於最大SOA時間,MOSFET就是合適的。在這個例子中,MOSFET符合標準(0.9 ms<2 ms)。
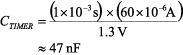
小於2 ms的定時器值足以保護MOSFET,大於0.9 ms則足夠對負載充電。如果選擇的時間恒定為1 ms,那麼電容可通過下式進行計算:
![]()
其中 ITIMER = 60 μA 和 VTIMER = 1.3 V,

使用並聯MOSFET時,對定時器的計算不會變。重要的是應使用單個MOSFET設計定時器及短路保護,原因是在一組MOSFET中,VGSTH會有顯著差異,因此在調整過程中,需要使用單個MOSFET處理較大的電流。
完成熱插拔設計

圖7、完整的參考設計
圖7所示的是具有正確參數值的並聯MOSFET熱插拔設計。ADM1177熱插拔控製器還能執行其它功能。它集成了片上ADC,可用於將電源電壓和負載電流轉換為數字數據,以通過I2C總線讀出,提供全集成的電流及電壓檢測功能。
- 噪聲中提取真值!瑞盟科技推出MSA2240電流檢測芯片賦能多元高端測量場景
- 10MHz高頻運行!氮矽科技發布集成驅動GaN芯片,助力電源能效再攀新高
- 失真度僅0.002%!力芯微推出超低內阻、超低失真4PST模擬開關
- 一“芯”雙電!聖邦微電子發布雙輸出電源芯片,簡化AFE與音頻設計
- 一機適配萬端:金升陽推出1200W可編程電源,賦能高端裝備製造
- 築基AI4S:摩爾線程全功能GPU加速中國生命科學自主生態
- 一秒檢測,成本降至萬分之一,光引科技把幾十萬的台式光譜儀“搬”到了手腕上
- AI服務器電源機櫃Power Rack HVDC MW級測試方案
- 突破工藝邊界,奎芯科技LPDDR5X IP矽驗證通過,速率達9600Mbps
- 通過直接、準確、自動測量超低範圍的氯殘留來推動反滲透膜保護
- 車規與基於V2X的車輛協同主動避撞技術展望
- 數字隔離助力新能源汽車安全隔離的新挑戰
- 汽車模塊拋負載的解決方案
- 車用連接器的安全創新應用
- Melexis Actuators Business Unit
- Position / Current Sensors - Triaxis Hall



