靠在一起色環電感之間的互感量
發布時間:2021-06-03 來源:卓晴 責任編輯:wenwei
【導讀】對於很靠近的兩個色環電感之間的互感進行實驗測量。發現了大體他們之間的互感係數在0.3左右。但令人感到奇怪的是,無論兩個色環電感相互的極性如何,互感總是正的。具體現象見博文內容,但其中的道理何在呢?
§01 串聯色環電感
在昨天的 色環電感外部磁場泄露[1] 測(ce)試(shi)中(zhong),初(chu)步(bu)探(tan)討(tao)了(le)使(shi)用(yong)色(se)環(huan)電(dian)感(gan)作(zuo)為(wei)天(tian)線(xian)放(fang)大(da)器(qi)扼(e)流(liu)圈(quan)負(fu)載(zai)的(de)情(qing)況(kuang)下(xia),如(ru)何(he)避(bi)免(mian)由(you)於(yu)漏(lou)感(gan)引(yin)起(qi)的(de)放(fang)大(da)器(qi)磁(ci)耦(ou)合(he)自(zi)激(ji)振(zhen)蕩(dang)的(de)情(qing)況(kuang)。在(zai)留(liu)言(yan)區(qu)中(zhong) 佟超 給出了 一個非常有趣的建議:najiushiliyonglianggesehuandianganjubudianqichuanlianzaiyiqi,danjiegoushangbinglianzaiyiqi,bingqiejixingxiangfan,rucigouchengyigejubuzhuncihuandejiegou,keyidadajianshaowailoudecichangliang,tongshizaiyidingchengdushangyetigaolediangandedianganliang。xiamiantongguojuticelianglaijianyanzhezhonglianjiefangshiduiyulianggedianganzuizhongdedianganliang、漏磁場的影響。

參與實驗的兩個色環電感
測試所使用的兩個色環電感的參數,使用 NanoVNA[2] 測量電感在150kHz下的參數:
◎ 電感1的參數(@150kHz):
電感(uH):4158.6
串聯電阻(Ω):213.16
品質因子Q:18.39
◎ 電感2的參數(@150kHz):
電感(uH):4116.91
串聯電阻(Ω):212.17
品質因子Q:18.29
1.電感串聯
將兩個電感進行串聯,在空間上它們可以呈現不耦合(相距很遠),並行放在一起同相耦合和反向耦合。
(1)不耦合
◎ 串聯電感的參數(@150kHz):
電感(uH):8479.51
串聯電阻(Ω):648.05
品質因子Q:12.33

兩個電感不耦合
(2)同相耦合
◎ 串聯電感的參數(@150kHz):
電感(uH):11069.5
串聯電阻(Ω):804.99
品質因子Q:12.96

兩個電感串聯同相耦合
(3)反向耦合
◎ 串聯電感的參數(@150kHz):
電感(uH):10501.16
串聯電阻(Ω):579.53
品質因子Q:17.08

兩個電感串聯,反向耦合
2.電感並聯
(1)不耦合
◎ 串聯電感的參數(@150kHz):
電感(uH):2029.75
串聯電阻(Ω):75.46
品質因子Q:25.35

兩個電感並聯不耦合
(2)同相耦合
◎ 串聯電感的參數(@150kHz):
電感(uH):1617.11
串聯電阻(Ω):66.48
品質因子Q:22.92

兩個電感並聯,同相耦合
(3)反向耦合
◎ 串聯電感的參數(@150kHz):
電感(uH):1640.01
串聯電阻(Ω):62.91
品質因子Q:24.56

兩個電感並聯,反向耦合
3.結果總結
(1)電感測量表格
將上麵的測量結果總結在下麵的表格中。

(2)測量互感
根據 有互感的電感的串並聯[3] 考慮帶有互感的電感
串聯,互感
,串聯的電感為:
串聯的電感為:

nameshangmiandeceliangjieguolaikan,danglianggediangankaozaiyiqideshihou,wulunshitamendejixingshixiangtong,haishixiangfan,suohuodechuanliandiangandoushizengjiade。tongyang,duiyubinglian,binglianzaiyiqi,ruguoouhezaiyiqiduiyingdedianganyeshijiangdile。yinci,zheliqizhongxianghuouheM都是大於零的。
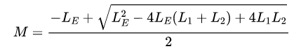
根據上麵的測量值,可以測量在不同耦合下對應的兩個電感之間的互感。串聯互感計算公式:
並聯互感計算公式:


可以看到放在一起的兩個色環電感,他們之間的互感總是大於零的。這一點是很奇怪的。他們之間的互感係數大體在0.3左右。
※ 總結討論 ※
通過實驗驗證了原來一直想知道的,當兩個色環電感靠近在一起他們之間的互感大體為0.3左右。令人想不到的是, 無論兩個電感的方向如何,他們之間的互感總是正的,而且大體在0.3左右。 。

靠近的兩個電感之間的磁場
關於為什兩個靠近的工字型的電感之間的互感總是正的?這一點還有點進一步的理解、探討。誰能告訴我其中的道理呢?
參考資料
[1]色環電感外部磁場泄露: https://zhuoqing.blog.csdn.net/article/details/116858591
[2]NanoVNA: https://zhuoqing.blog.csdn.net/article/details/116295857
[3]有互感的電感的串並聯: https://zhuoqing.blog.csdn.net/article/details/113498649
免責聲明:本文為轉載文章,轉載此文目的在於傳遞更多信息,版權歸原作者所有。本文所用視頻、圖片、文字如涉及作品版權問題,請聯係小編進行處理。
推薦閱讀:
特別推薦
- 噪聲中提取真值!瑞盟科技推出MSA2240電流檢測芯片賦能多元高端測量場景
- 10MHz高頻運行!氮矽科技發布集成驅動GaN芯片,助力電源能效再攀新高
- 失真度僅0.002%!力芯微推出超低內阻、超低失真4PST模擬開關
- 一“芯”雙電!聖邦微電子發布雙輸出電源芯片,簡化AFE與音頻設計
- 一機適配萬端:金升陽推出1200W可編程電源,賦能高端裝備製造
技術文章更多>>
- 算力爆發遇上電源革新,大聯大世平集團攜手晶豐明源線上研討會解鎖應用落地
- 築基AI4S:摩爾線程全功能GPU加速中國生命科學自主生態
- 一秒檢測,成本降至萬分之一,光引科技把幾十萬的台式光譜儀“搬”到了手腕上
- AI服務器電源機櫃Power Rack HVDC MW級測試方案
- 突破工藝邊界,奎芯科技LPDDR5X IP矽驗證通過,速率達9600Mbps
技術白皮書下載更多>>
- 車規與基於V2X的車輛協同主動避撞技術展望
- 數字隔離助力新能源汽車安全隔離的新挑戰
- 汽車模塊拋負載的解決方案
- 車用連接器的安全創新應用
- Melexis Actuators Business Unit
- Position / Current Sensors - Triaxis Hall
熱門搜索
微波功率管
微波開關
微波連接器
微波器件
微波三極管
微波振蕩器
微電機
微調電容
微動開關
微蜂窩
位置傳感器
溫度保險絲
溫度傳感器
溫控開關
溫控可控矽
聞泰
穩壓電源
穩壓二極管
穩壓管
無焊端子
無線充電
無線監控
無源濾波器
五金工具
物聯網
顯示模塊
顯微鏡結構
線圈
線繞電位器
線繞電阻




