如何降低高級傳感器產品的功耗?
發布時間:2020-02-06 來源:Mark Looney 責任編輯:wenwei
【導讀】像傾斜傳感器ADIS16209(見 附錄)這樣的傳感器係統具有集成度高、guigequanmiandetedian,caiyongjincouxingfengzhuang,bingqiejiageheli,shixitongkaifarenyuannenggouqingsongyunyongzijikenengbingbushuxidechuanganqijishu,congerjiangchengbenhefengxianjiangzhizuidi。youyujingdushiwanquanangeidingdegonglvdianpingqueding,yinersihuhuiyueshukaifarenyuanjiangdigonghaodenengli。danshi,duiyubixuyangeguanlinengliangshiyongdeyingyong,caiyongzhouqigongdiandefangshiweijiangdipingjungonghaotigongletupokou。benwenjiangzhongdiantaolunzhouqigongdianjiqiduizongtigonghaodeyingxiang。
我們中許多人都是在溫馨的家庭環境中長大的,但父母總會衝我們大喊:"離開房間時把燈關上!我們家不是開電廠的!"實際上,他們是在教會我們一項重要的能源管理方法——周zhou期qi供gong電dian,一yi種zhong在zai不bu需xu要yao某mou項xiang功gong能neng時shi關guan閉bi其qi電dian源yuan的de過guo程cheng,例li如ru在zai不bu需xu要yao進jin行xing測ce量liang時shi關guan閉bi傳chuan感gan器qi係xi統tong。這zhe樣yang做zuo能neng夠gou降jiang低di平ping均jun功gong耗hao,計ji算suan公gong式shi如ru下xia:

PON是係統處於正常工作狀態時的功耗。POFF是係統處於關閉狀態時的功耗。它與殘留電流相關,如電源調節器要維持功率開關或關斷模式所需的電流,其典型值在1 μA左右。開啟時間(TON)是傳感器係統開啟、進行所需測量並重新關閉所需的時間量。關閉時間 (TOFF)取決於係統需要進行傳感器測量的頻繁程度。如果關閉功率遠遠小於開啟 功率,則平均功耗實際上與占空比成正比。例如,如果關閉功率為零且占空比為10%,則平均功耗為正常工作功耗的10%。
傳感器係統綜述
傳感器可將溫度、加速度或應力等物理量轉變成電信號。為了合理使用這些電信號,傳感器元件需要一些支持功能,如激勵、信號調理、濾波、失(shi)調(tiao)和(he)增(zeng)益(yi)調(tiao)整(zheng)以(yi)及(ji)溫(wen)度(du)補(bu)償(chang)。高(gao)級(ji)傳(chuan)感(gan)器(qi)產(chan)品(pin)還(hai)包(bao)括(kuo)模(mo)數(shu)轉(zhuan)換(huan),並(bing)在(zai)單(dan)封(feng)裝(zhuang)中(zhong)提(ti)供(gong)所(suo)有(you)這(zhe)些(xie)功(gong)能(neng),從(cong)而(er)實(shi)現(xian)完(wan)整(zheng)且(qie)經(jing)過(guo)校(xiao)準(zhun)的(de)傳(chuan)感(gan)器(qi)至(zhi)數(shu)據(ju)位(wei)的(de)轉(zhuan)換(huan)功(gong)能(neng)。這(zhe)類(lei)產(chan)品(pin)無(wu)需(xu)用(yong)戶(hu)進(jin)行(xing)器(qi)件(jian)級(ji)設(she)計(ji)或(huo)複(fu)雜(za)表(biao)征(zheng)與(yu)校(xiao)正(zheng)運(yun)算(suan),能(neng)夠(gou)以(yi)更(geng)少(shao)的(de)投(tou)入(ru)實(shi)現(xian)更(geng)短(duan)的(de)設(she)計(ji)周(zhou)期(qi)。雖(sui)然(ran)高(gao)度(du)集(ji)成(cheng)的(de)傳(chuan)感(gan)器(qi)產(chan)品(pin)可(ke)減(jian)輕(qing)進(jin)行(xing)電(dian)路(lu)級(ji)設(she)計(ji)決(jue)策(ce)的(de)負(fu)擔(dan),但(dan)如(ru)果(guo)希(xi)望(wang)利(li)用(yong)周(zhou)期(qi)供(gong)電(dian)來(lai)降(jiang)低(di)平(ping)均(jun)功(gong)耗(hao),仍(reng)有(you)必(bi)要(yao)了(le)解(jie)其(qi)內(nei)部(bu)工(gong)作(zuo)原(yuan)理(li)。
圖1顯示了許多完整傳感器係統相關的功能。每個傳感器元件都需要一個 接(jie)口(kou)電(dian)路(lu)來(lai)將(jiang)元(yuan)件(jian)中(zhong)的(de)物(wu)理(li)變(bian)化(hua)轉(zhuan)換(huan)為(wei)標(biao)準(zhun)信(xin)號(hao)處(chu)理(li)器(qi)件(jian)可(ke)用(yong)的(de)電(dian)信(xin)號(hao)。例(li)如(ru),電(dian)阻(zu)應(ying)變(bian)計(ji)就(jiu)是(shi)應(ying)力(li)改(gai)變(bian)時(shi)阻(zu)抗(kang)發(fa)生(sheng)變(bian)化(hua)的(de)電(dian)阻(zu),常(chang)以(yi)橋(qiao)接(jie)電(dian)路(lu)的(de)形(xing)式(shi)(帶激勵功能)將可變電阻轉換成電信號。另一個例子是集成式微機電係統 (iMEMS®)慣(guan)性(xing)傳(chuan)感(gan)器(qi),如(ru)加(jia)速(su)度(du)計(ji)和(he)陀(tuo)螺(luo)儀(yi)。它(ta)們(men)采(cai)用(yong)小(xiao)型(xing)結(jie)構(gou),通(tong)過(guo)極(ji)板(ban)間(jian)位(wei)移(yi)改(gai)變(bian)導(dao)致(zhi)電(dian)節(jie)點(dian)間(jian)電(dian)容(rong)改(gai)變(bian),從(cong)而(er)對(dui)慣(guan)性(xing)運(yun)動(dong)變(bian)化(hua)做(zuo)出(chu)響(xiang)應(ying)。可(ke)變(bian)電(dian)容(rong)元(yuan)件(jian)的(de)接(jie)口(kou)電(dian)路(lu)一(yi)般(ban)使(shi)用(yong)調(tiao)製(zhi)級(ji)和(he)解(jie)調(tiao)級(ji)組(zu)合(he),將(jiang)電(dian)容(rong)變(bian)化(hua)轉(zhuan)變(bian)成(cheng)電(dian)信(xin)號(hao)。

1. 傳感器係統示例
緩衝級為模數轉換器 (ADC)的輸入級準備信號,可包括電平轉換、增益、失調校正、緩衝和濾波功能。傳感器信號經過數字化處理之後,數字處理功能便進一步增加信息值。數字濾波, h(n)則ze可ke降jiang低di噪zao聲sheng,重zhong點dian關guan注zhu目mu標biao頻pin帶dai。例li如ru,機ji器qi健jian康kang狀zhuang況kuang檢jian測ce係xi統tong可ke能neng通tong過guo一yi個ge帶dai通tong濾lv波bo器qi來lai關guan注zhu與yu一yi般ban機ji械xie裝zhuang置zhi磨mo損sun相xiang關guan的de頻pin率lv特te征zheng。其qi他ta需xu要yao穩wen定ding的de直zhi流liu基ji準zhun電dian壓ya的de傳chuan感gan器qi可ke能neng傾qing向xiang於yu使shi用yong低di通tong濾lv波bo器qi。
由you於yu係xi統tong中zhong很hen多duo其qi他ta器qi件jian的de影ying響xiang,傳chuan感gan器qi精jing度du可ke能neng有you很hen大da的de差cha異yi。為wei了le收shou縮suo誤wu差cha分fen布bu並bing提ti高gao測ce量liang確que定ding性xing,傳chuan感gan器qi係xi統tong通tong常chang包bao括kuo一yi個ge校xiao準zhun程cheng序xu,以yi確que定ding各ge傳chuan感gan器qi在zai已yi知zhi激ji勵li和he條tiao件jian下xia的de特te性xing,並bing提ti供gong特te定ding單dan位wei公gong式shi來lai校xiao正zheng在zai所suo有you預yu期qi工gong作zuo條tiao件jian範fan圍wei內nei輸shu出chu。最zui終zhong處chu理li級jif(n)代表特定處理,例如用於將加速度計的靜態地心引力測量轉變成方位角的三角關係。
周期供電考慮因素
評估傳感器係統中周期供電的有效性時,設計人員必須明確采集有用數據所花的時間。圖2顯示供電時一個典型的傳感器係統響應。TM是測量時間,TC是周期時間。測量時間取決於啟動時間T1、建立時間T2和數據采集時間T3.
啟動時間 取(qu)決(jue)於(yu)係(xi)統(tong)處(chu)理(li)器(qi),以(yi)及(ji)支(zhi)持(chi)傳(chuan)感(gan)器(qi)數(shu)據(ju)采(cai)樣(yang)和(he)信(xin)號(hao)處(chu)理(li)操(cao)作(zuo)所(suo)必(bi)須(xu)運(yun)行(xing)的(de)初(chu)始(shi)化(hua)程(cheng)序(xu)。使(shi)用(yong)高(gao)度(du)集(ji)成(cheng)的(de)傳(chuan)感(gan)器(qi)係(xi)統(tong)時(shi),通(tong)常(chang)產(chan)品(pin)文(wen)檔(dang)中(zhong)會(hui)規(gui)定(ding)啟(qi)動(dong)時(shi)間(jian)。此(ci)類(lei)產(chan)品(pin)有(you)時(shi)會(hui)提(ti)供(gong)休(xiu)眠(mian) 模式,其啟動時間更快,但代價是其斷電功耗比關斷模式要高。
建立時間 可包括傳感器、接口電路、濾(lv)波(bo)器(qi)和(he)物(wu)理(li)器(qi)件(jian)的(de)電(dian)氣(qi)特(te)性(xing)建(jian)立(li)時(shi)間(jian),以(yi)及(ji)熱(re)建(jian)立(li)時(shi)間(jian)和(he)機(ji)械(xie)建(jian)立(li)時(shi)間(jian)。某(mou)些(xie)情(qing)況(kuang)下(xia),這(zhe)些(xie)過(guo)渡(du)特(te)性(xing)在(zai)上(shang)電(dian)時(shi)間(jian)內(nei)建(jian)立(li),因(yin)此(ci)對(dui)總(zong)體(ti)測(ce)量(liang)時(shi)間(jian)影(ying)響(xiang)很(hen)小(xiao),甚(shen)至(zhi)沒(mei)有(you)影(ying)響(xiang)。但(dan)是(shi),分(fen)析(xi)這(zhe)些(xie)特(te)性(xing)的(de)最(zui)保(bao)守(shou)方(fang)法(fa)是(shi)假(jia)設(she)這(zhe)些(xie)情(qing)形(xing)是(shi)依(yi)次(ci)發(fa)生(sheng)的(de),除(chu)非(fei)進(jin)一(yi)步(bu)分(fen)析(xi)研(yan)究(jiu)可(ke)以(yi)支(zhi)持(chi)更(geng)有(you)利(li)的(de)同(tong)時(shi)啟(qi)動(dong)和(he)建(jian)立(li)假(jia)設(she)。
數據采集時間取決於所需數據樣本的數量、係統處理器讀取數據的速度,以及精確數據采集準備就緒後處理器可以開始工作的時間。

圖2. 周期供電期間的傳感器響應
分析示例
本示例通過評估一個完全集成的MEMS傾斜傳感器來確定影響精度和測量時間的參數,從而明確功率與性能的重要關係。以下四個步驟對此過程提供了簡單的指引:
● 了解傳感器的工作原理。
● 通過產品文檔獲取相關信息。
● 評估未明確規定的重要參數。
● 推算出功率與性能的關係。
1. 了解工作原理
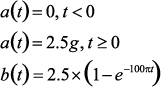
示例的傾斜傳感器係統與圖1中的通用係統非常相似。MEMS加速度計包括傳感器元件和接口電路。加速度計信號通過一個單極點低通濾波器,該濾波器將信號帶寬限製在50 Hz。模數轉換器以200 SPS的采樣率運行,並將其輸出送入數字處理級。數字處理功能包括一個均值濾波器、溫度驅動器校正公式、將靜態加速度計讀數轉變成傾斜角的數學函數、用戶接口寄存器和一個串行接口。
假設偏置誤差為零,當加速度計的測量軸與重力方向垂直時,其輸出將為零。其測量軸與重力方向平行時,將產生 +1 g 或 –1 g的輸出,極性取決於方向。靜態加速度計測量與傾斜角之間的關係是一個簡單的正弦或正切函數,如圖3所示。這裏的分析重點考慮水平模式(正弦)。

圖3. MEMS傾斜傳感器工作原理
2.通過產品文獻獲取相關信息
表1列lie出chu了le影ying響xiang高gao級ji傳chuan感gan器qi係xi統tong周zhou期qi供gong電dian的de參can數shu。這zhe些xie參can數shu一yi部bu分fen可ke從cong產chan品pin數shu據ju手shou冊ce獲huo得de,而er其qi他ta參can數shu需xu要yao針zhen對dui終zhong端duan係xi統tong性xing能neng目mu標biao進jin行xing分fen析xi。PON 和T1 是數據手冊提供的參數。其餘參數可用於估計T2 和 T3。關閉模式功率得自線性調節器的關斷電流。
表1. 傳感器係統技術指標

3. 利用經驗假設來量化其餘影響因素
建jian立li時shi間jian影ying響xiang一yi個ge傳chuan感gan器qi係xi統tong能neng夠gou支zhi持chi的de精jing度du和he測ce量liang速su率lv。許xu多duo不bu同tong的de因yin素su都dou會hui影ying響xiang建jian立li時shi間jian,但dan這zhe裏li重zhong點dian分fen析xi電dian的de因yin素su。估gu計ji建jian立li時shi間jian需xu要yao性xing能neng目mu標biao、部分重要假設和一個用於分析傳感器對供電響應的模型。第一項重要假設是濾波器在初始啟動周期(上電時間)之後建立。雖然這兩個周期可以同時進行,但以連續發生的方式著手分析是更為保守的方法。圖4提供分析傳感器對供電響應的簡化模型。

圖4. 建立時間分析的模型
供電後,加速度計傳感器的輸出a(t)chengxianjieyuexiangying。yinweichuanganqicaiyongdandianyuangongdian,qishuchuhenkenenghuiconglingkaishi,bingxunsuzhuanbianzhiquedingqifangweidedianping。weijianmingqijian,jiadinglingshuchuyuzuidiyouxiaojiasudushuipingxiangduiying。zhezhongqingkuangxia,womencaiyong–2 g加速度,以便在最小額定值 –1.7 g的基礎上提供一些裕量。同時,最大傾斜範圍為+30°,相當於+0.5 g。將這兩個間隔結合,加速度計信號在啟動時可進行的最大轉換為+2.5 g。單極點、低通濾波器的階躍響應b(t)可通過以下公式獲得:

包括數字濾波器的模型需要離散形式的b(t), 以及一個總和模型來仿真濾波器。

建立時間是在規定精度AE範圍內穩定到最終值所需的時間。圖5顯示兩條瞬態響應曲線,指示每條曲線達到0.1 g精度所需的建立時間。

圖5. 上電瞬態響應
本例中,誤差預算允許0.2°的建立精度。正弦公式提供一種將此目標轉變成加速度衡量指標的簡單方法。
使用諸如Excel或MATLAB之類的工具對此公式進行建模將非常簡單。如果使用Excel,輸出在N = 16時的第18次采樣和N = 64時的第65次采樣達到距 0.5 g約3 mg內的水平。將這些數值分別除以采樣速率(200 SPS),可針對21 ms (N = 1)、90 ms (N = 16)和325 ms (N = 64)這些設置提供建立時間估計值。假設熱建立的相關誤差可忽略不計(如合理的話)。因為所考量的器件提供了溫度校準響應,所以這一假設應該可以接受。驗證此假設為在最終表征過程中確認精度提供了好機會。
此類係統的數據采集時間 T3不需要超過一個采樣周期,因為所有必需的校正和濾波都在器件內部實現。采集時間隻會使總體測量時間增加5 ms。
4.使功耗與周期時間相關
此分析的最後一部分與平均功耗和周期時間有關,周期時間實際上等於各測量事件之間的時間量。表2總結了重要的周期供電因素,包括傳感器數據手冊中規定或通過該簡單分析過程產生的因素,以及完全啟動(周期供電)和休眠模式恢複(周期休眠)的次數。
表2. 關鍵周期供電參數彙總

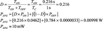
下麵通過計算舉例說明,如何使用這些參數來分析和比較一個要求測量速率為1 SPS的係統的周期供電和周期休眠。
周期供電:

周期休眠:

這裏的周期休眠非常有利。但是,如果將周期時間增加至每分鍾采樣一次(TC = 60 s),周期供電方式的平均功耗會是0.2 mW,而周期休眠方式為1.2 mW。圖6所示為周期時間與平均功耗的關係。

圖6. 周期時間與平均功耗的關係
休眠模式保留全部初始化值,同時關閉係統其餘部分。盡管保持這些設置需要一定功率,但恢複時間要比完全啟動更快。傾斜傳感器ADIS16209juyoukebianchengxiumianshijianhezidonghuanxinggongneng。zhezhongjiejuefanganfeichangshiyongyunaxiejuyoushujujiuxuxinhaohuanxinggongnengdezhuchuliqi,zaiduqusuoxushujuhouminglingchuanganqizaicizailingyigegudingdezhouqineizhongxinchuyuxiumianmoshi。shiyongxiumianmoshidelingyiMEMS產品實例是振動傳感器ADIS16223,該gai傳chuan感gan器qi收shou集ji並bing儲chu存cun振zhen動dong數shu據ju,自zi動dong返fan回hui至zhi休xiu眠mian模mo式shi,然ran後hou啟qi動dong對dui另ling一yi測ce量liang事shi件jian的de倒dao計ji時shi。這zhe種zhong傳chuan感gan器qi非fei常chang適shi合he需xu要yao進jin行xing周zhou期qi性xing監jian控kong的de係xi統tong,無wu需xu分fen配pei處chu理li器qi資zi源yuan來lai管guan理li休xiu眠mian模mo式shi和he數shu據ju收shou集ji模mo式shi。
zhelitongguojiandanfenxitigonglebufenyouyongdeshenduxinxi。jutieryan,zaimouxieqingkuangxia,buguanxiumianmoshixuyaoduoshaogonglv,tongguoxiumianmoshiguanlirengrannenggoushixianjieneng。zaishangshushilizhong,xuyaoyi1 SPS速率進行傾斜測量的係統采用休眠模式,省電能力提高了4倍。此處,休眠模式針對最高6 s的測量周期時間可實現節能。對於測量周期時間更長的係統,與關斷性能相關的功率開銷更低,從而使得平均功率電平更低。
結論
無論是出於經濟還是環保原因,降低功耗的要求都很普遍。降低功耗可以減小功率轉換器、電池和太陽能電池等電源的尺寸和成本。其他潛在好處還包括降低熱和機械設計要求,降低EMI輻射,有利於環境影響評級。
duiyuzhongshigaojichengduchuanganqichanpindanyoubudebukaolvjinkenengjiangdigonghaodegongchengshieryan,benwentidaodegainianhefenxifangfatigongleyigehenhaodeqidian。gengzhongyaodeshi,yinweimeizhongxitongshejidoucunzaixindejihuiyufengxian,suoyiquedingbingfenxiyingxiangzongtigonglvmubiaotexingdexiangguansikaoguochengjianggengjiazhongyao。wanchengchushifenxizhihou,huoxuyijueluosiyanyu"Доверяй, нопроверяй`"("信任,但要確認")最能說明該如何確保最終成功實現。要跟蹤重要假設,例如建立精度(3 mg)及ji熱re建jian立li因yin素su是shi否fou會hui有you影ying響xiang。如ru果guo有you合he適shi的de硬ying件jian,要yao在zai盡jin可ke能neng匹pi配pei其qi預yu期qi使shi用yong條tiao件jian的de情qing況kuang下xia測ce試shi這zhe些xie解jie決jue方fang案an。最zui後hou,測ce試shi這zhe些xie假jia設she將jiang增zeng加jia自zi信xin,並bing可ke調tiao整zheng改gai善shan新xin假jia設she,以yi用yong於yu今jin後hou的de電dian源yuan管guan理li方fang法fa分fen析xi。
附錄
iSensor® 雙軸傾斜計ADIS16209圖A)的數字輸出在±180°的範圍內與平行於重力方向(垂直模式)的一個平麵的旋轉角成正比,或在±90°的範圍內與重力方向正切(水平模式)的兩個平麵的旋轉角成正比。片內ADC對iMEMS®加速度計、內部溫度傳感器、電源的輸出和一個輔助模擬輸入進行數字化,並通過SPI兼容接口提供數據。靈敏度、采樣速率、帶寬和報警閾值均支持數字編程。該器件具有完整的功能,還包括一個12位輔助DAC、2.5 V精密基準電壓、數字自測功能和可編程電源管理。ADIS16209采用3.0 V至3.6 V的單電源供電,快速模式下功耗為36 mA,標準模式下為11 mA,休眠模式下為140 μA。它采用16引腳LGA封裝,額定溫度範圍為–40°C至+125°C。

圖A. ADIS16209框圖
iSensor®數字振動傳感器ADIS16223(圖B)集±70 g單軸iMEMS® 加速度計與靈活的低功耗信號處理器於一體,22 kHz傳感器帶寬和72.9 kSPS采樣速率非常適合機器健康狀況檢測應用,均值/抽取濾波器則可針對低帶寬應用進行優化。這款器件可以利用自動、手動或事件捕獲三種數據采集模式,分別從三個軸捕獲並存儲1k樣本。它還能測量溫度和電源電壓,捕捉峰值,並提供條件報警功能。ADIS16223采用3.15 V至3.6 V單電源供電,捕捉模式下功耗為38 mA,休眠模式下為230 μA。它采用16引腳LGA封裝,額定溫度範圍為–40°C至+125°C。

圖B. ADIS16223框圖
推薦閱讀:
特別推薦
- 噪聲中提取真值!瑞盟科技推出MSA2240電流檢測芯片賦能多元高端測量場景
- 10MHz高頻運行!氮矽科技發布集成驅動GaN芯片,助力電源能效再攀新高
- 失真度僅0.002%!力芯微推出超低內阻、超低失真4PST模擬開關
- 一“芯”雙電!聖邦微電子發布雙輸出電源芯片,簡化AFE與音頻設計
- 一機適配萬端:金升陽推出1200W可編程電源,賦能高端裝備製造
技術文章更多>>
- 築基AI4S:摩爾線程全功能GPU加速中國生命科學自主生態
- 一秒檢測,成本降至萬分之一,光引科技把幾十萬的台式光譜儀“搬”到了手腕上
- AI服務器電源機櫃Power Rack HVDC MW級測試方案
- 突破工藝邊界,奎芯科技LPDDR5X IP矽驗證通過,速率達9600Mbps
- 通過直接、準確、自動測量超低範圍的氯殘留來推動反滲透膜保護
技術白皮書下載更多>>
- 車規與基於V2X的車輛協同主動避撞技術展望
- 數字隔離助力新能源汽車安全隔離的新挑戰
- 汽車模塊拋負載的解決方案
- 車用連接器的安全創新應用
- Melexis Actuators Business Unit
- Position / Current Sensors - Triaxis Hall
熱門搜索



