速度采樣頻率
發布時間:2019-12-09 來源:卓晴 責任編輯:wenwei
【導讀】卓老師,我有一個信號與係統的問題想請教。按照時域采樣定理,采樣頻率≥2倍的信號頻率,才能得到信號全部信息。
而以智能車中的編碼器測速為例。我們知道測速周期在可接受範圍內越小越利於控速,比如2ms。但2ms采樣一次速度,究竟能不能得到速度信號的全部信息我們卻不得而知,歸根結底是因為不知道速度信號的頻率是多少。
那麼智能車速度信號的頻率要如何得知呢?

速度光電編碼盤
(回複)提問中的問題包括有三個子問題:
(1)根據采樣定理,如何采集速度信號?
(2)使用光電碼盤測量速度信號主要誤差來源是什麼?
(3)根據車模速度控製需要究竟需要按照什麼周期采集速度信號?
同學們學習信號采樣定理,最容易犯的錯誤就是機械的照搬定理的結論,卻沒有注意到定理的使用條件。
信號采樣定理的應用條件有兩個:一是信號是一個頻帶受限信號,即信號有一個最高頻率;ershichulezhidaoxinhaopinpudezuigaopinlvzhiwai,buzaizhidaoqitaxinhaodeewaixinxile。zaicitiaojianxia,xinhaodenaikuisitepinlv,jixinhaodecaiyangpinlvjiushixinhaodezuigaopinlvdeliangbei。

如果額外還知道信號的其它條件,比如信號是一個窄帶信號,除了最高頻率之外,還有最低頻率;此時就可以使用低得多頻率完成信號的采樣。這一點可以參照鄭君裏教授《信號與係統》第三章的最後一個習題。
舉ju一yi個ge極ji端duan的de例li子zi,如ru果guo已yi知zhi信xin號hao是shi一yi個ge正zheng弦xian波bo,即ji信xin號hao的de頻pin譜pu是shi一yi個ge線xian譜pu,此ci時shi實shi際ji上shang隻zhi需xu要yao任ren意yi對dui信xin號hao采cai樣yang三san個ge不bu同tong時shi間jian的de數shu據ju,在zai一yi般ban意yi義yi上shang便bian可ke以yi恢hui複fu該gai信xin號hao,此ci時shi成cheng為wei信xin號hao的de參can數shu估gu計ji。
對於車模的速度信號,經過光電編碼盤之後,它反映在兩路輸出正交方波信號中,速度信號是該方波信號的頻率參數。
此時可以看成速度信號調製在兩路正交同頻率的方波脈衝信號中,是調頻調製。因此,接受到的光電編碼信號是速度信號的調製信號。

接收到的光電編碼盤信號是速度的調製信號
所suo以yi光guang電dian編bian碼ma信xin號hao的de頻pin譜pu並bing不bu是shi速su度du信xin號hao的de頻pin譜pu,而er是shi速su度du的de頻pin譜pu被bei調tiao製zhi後hou進jin行xing了le頻pin譜pu搬ban移yi。如ru果guo對dui速su度du信xin號hao進jin行xing采cai樣yang,則ze需xu要yao對dui原yuan來lai信xin號hao進jin行xing解jie調tiao之zhi後hou才cai能neng夠gou獲huo得de速su度du信xin號hao。
如何從光電脈衝信號解調出速度信號在第二個小問題進行回答。在此之前,還是需要討論普通車模的速度信號的頻譜範圍如何確定?
信號的頻譜範圍取決於信號的交流分量的範圍。如果車模的速度是保持在恒速運行,不論這個速度多大,對應的頻譜範圍都是0。
那麼如何估計車模速度的交變分量呢?這一點可以使用車模從速度為零加速到最高速度的時間,或者從最高速度減速到0 的時間來衡量。這個時間的倒數與速度的頻帶寬度成正比。
比如車模使用0.2秒從靜止加速到最高速度並保持勻速運行,對於這樣一個斜邊速度信號,它的頻譜本身是無窮大的,但可以認為其主要頻譜能量集中在5Hz(0.2秒的倒數)以內。對於速度信號的采樣可以使用5Hz的兩倍以上的頻率完成采樣,即10Hz以上的采樣頻率。當然,為了留出一定的餘量,則需要使用20H以上的頻率進行采樣。
具體采樣周期需要根據第二個問題-速度測量誤差來源和第三個問題車模速度離散控製周期綜合確定。
第二個問題是速度測量誤差來源。由於常見到的速度編碼器是將速度信號調製在兩路正交脈衝信號上。

一款實際應用的Hall傳感器測量速度
通常可以采用脈衝數量測量方法、脈衝周期測量方法、以及它們的組合方法。測量的誤差與總測量時間T成反比,即測量周期越長,所獲得的頻率越準確。

對於信號的頻率估計所產生的不確定性與信號的持續時間T呈現反比關係。這就是著名的信息測不準原理。相關的討論可以參見推文《傅裏葉變換與不確定性》中的敘述。
因(yin)此(ci),如(ru)果(guo)想(xiang)獲(huo)得(de)更(geng)加(jia)精(jing)確(que)的(de)速(su)度(du)信(xin)息(xi),則(ze)需(xu)要(yao)更(geng)長(chang)的(de)測(ce)量(liang)周(zhou)期(qi),則(ze)對(dui)應(ying)的(de)測(ce)量(liang)速(su)度(du)的(de)頻(pin)率(lv)就(jiu)需(xu)要(yao)越(yue)低(di)。最(zui)後(hou)在(zai)結(jie)合(he)控(kong)製(zhi)速(su)度(du)的(de)精(jing)確(que)度(du)來(lai)粗(cu)略(lve)估(gu)計(ji)對(dui)速(su)度(du)的(de)測(ce)量(liang)大(da)體(ti)精(jing)度(du)。
zuihouyigewentijiushiguanyuchemosudukongzhizhouqi。chemodesudutiaojieshiyoudanpianjitongguoruanjianlaishixiande,zheshiyigelisanshijiankongzhixitong。qizhongyigezhongyaodecanshu,jiushilisanshijianxitongdekongzhizhouqidexuanze。
離散時間控製係統的周期在選擇上隻要比起控製對象的頻帶寬度對應的時間常數小一個數量級,便可以達到很好的控製效果了。
當確定下速度控製周期之後,對於速度采集的周期(頻率)也就相繼確定下來了,即速度控製周期就等於速度采樣周期。
需要根據控製效果來確定被控對象的控製周期。對於控製效果,往往需要根據控製結果的性能來衡量,它們包括控製量的過衝比率、上升時間、穩定時間以及穩態精度等等。這可以從控製對象的單位階躍響應曲線來定義。

下麵是選擇了一個帶有0.2秒延遲的二階係統,它的單位衝擊響應如下圖所示:

為了提高該係統的性能,即減少係統過衝,同時提高係統的跟蹤速度,可以對該係統引入負反饋控製。
下麵是引入比例負反饋控製的效果。比例控製參數從0增加到5.

下圖給出了在不同的反饋比例因子,反饋係統的過程比率。可以看到,在反饋比例係數為1.75左右時,係統過衝最小,大約在50%的過衝左右。

如果希望進一步減少係統的過衝,可以再引入微分控製項。下圖給出了反饋比例係數為1.75,微分反饋控製係數從0增加到1的過程中,係統的單位衝擊響應曲線。係統的過衝從50%降低到20%左右。

下圖繪製出在不同的微分係數下,係統的過衝變化曲線。在微分係數為0.75左右,係統過衝達到最小。

根據前麵兩次實驗,可以大體確定下係統反饋控製的最優參數,比例係數為1.75,微分係數為0.75左右。
所形成的反饋控製如下圖所示:

使用MATLAB的bode命令繪製出此時係統的頻率特性:

從上圖可以看出,該係統是一個低通係統。但由於延遲的存在,係統具有多個諧振峰值。第一個截止頻率在1.6Hz左右,第一個諧振頻率在15Hz左右。
對於該係統如果采用單片機軟件控製,則需要確定控製周期。控製周期與控製效果之間有什麼關係呢?
下圖通過實驗,對原來的連續控製係統進行離散化,取控製周期0.01s變化到0.75秒,觀察係統的單位衝激響應的變化。

下xia圖tu給gei出chu了le在zai不bu同tong的de控kong製zhi周zhou期qi下xia,係xi統tong的de單dan位wei衝chong擊ji響xiang應ying的de過guo衝chong比bi率lv。從cong圖tu中zhong可ke以yi看kan出chu,係xi統tong過guo衝chong量liang與yu控kong製zhi周zhou期qi之zhi間jian並bing不bu是shi一yi個ge簡jian單dan的de曲qu線xian關guan係xi,而er是shi隨sui著zhe控kong製zhi周zhou期qi增zeng加jia呈cheng現xian多duo次ci波bo動dong情qing況kuang。
對於一個特定的對象,並不是控製周期越小越好,總是存在著一些最優的控製周期。
對於該係統,當控製周期超過0.618秒的時候,反饋係統就不再穩定,呈現發散狀態。

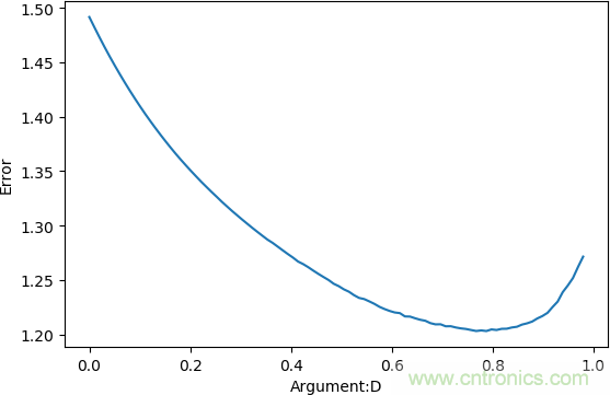
從上麵的實驗可以看出,對於控製周期小於0.1秒的時候,係統是穩定的,而且過衝誤差控製在1.35之內。下麵對於控製周期在0.01至0.1秒之間再進行實驗,觀察在不同控製周期下的控製效果。

下麵曲線繪製出在控製周期從0.01秒到0.1秒變化時,係統的單位衝擊響應的過衝誤差曲線。該曲線呈現規律的波動。
因此,從整體上來看,對於該係統,控製周期隻要小於0.1秒,係統過衝就不是很大了。控製周期從10毫秒至40毫秒之間控製性能差別不大了。

最後對於提問的回複進行小結:對(dui)於(yu)速(su)度(du)信(xin)號(hao)的(de)測(ce)量(liang),它(ta)的(de)測(ce)量(liang)頻(pin)率(lv)不(bu)是(shi)按(an)照(zhao)光(guang)電(dian)編(bian)碼(ma)信(xin)號(hao)的(de)最(zui)高(gao)頻(pin)率(lv)來(lai)確(que)定(ding)的(de),而(er)是(shi)按(an)照(zhao)其(qi)中(zhong)速(su)度(du)信(xin)號(hao)的(de)頻(pin)率(lv)來(lai)確(que)定(ding)采(cai)樣(yang)信(xin)號(hao)的(de)。速(su)度(du)的(de)頻(pin)率(lv)範(fan)圍(wei)可(ke)以(yi)從(cong)車(che)模(mo)加(jia)速(su)時(shi)間(jian)或(huo)者(zhe)停(ting)止(zhi)時(shi)間(jian)的(de)倒(dao)數(shu)來(lai)近(jin)似(si)確(que)定(ding)。
最終的速度采樣周期則需要跟控製軟件周期保持一致。而該周期的確定則是根據控製性能(過衝量、過渡時間、穩定精度等)來權衡。
實shi踐jian中zhong,在zai控kong製zhi性xing能neng能neng夠gou滿man足zu要yao求qiu的de情qing況kuang下xia,不bu要yao一yi味wei減jian小xiao控kong製zhi周zhou期qi。這zhe不bu僅jin對dui提ti高gao控kong製zhi性xing能neng無wu益yi,同tong時shi由you於yu對dui速su度du采cai樣yang的de周zhou期qi減jian少shao,而er帶dai來lai額e外wai的de測ce量liang誤wu差cha。這zhe測ce量liang噪zao聲sheng在zai控kong製zhi回hui路lu中zhong會hui引yin起qi更geng大da的de控kong製zhi噪zao聲sheng。

公眾號留言
留言1:卓老師,針對現在公布的初步規則我有幾點疑問和建議,想和您交流一下:1.規則規定的十字路口超車標誌,按您的回複來說並不是所有路口都存在。那如果在不允許抄近路的地方抄了,是否會罰時?罰時多久?
2.規(gui)則(ze)規(gui)定(ding)的(de)車(che)庫(ku)元(yuan)素(su),其(qi)邊(bian)緣(yuan)是(shi)全(quan)部(bu)路(lu)肩(jian)鋪(pu)蓋(gai)還(hai)是(shi)隻(zhi)貼(tie)上(shang)膠(jiao)帶(dai)還(hai)是(shi)間(jian)隔(ge)鋪(pu)設(she)?如(ru)果(guo)在(zai)停(ting)車(che)時(shi)撞(zhuang)上(shang)了(le)車(che)庫(ku)邊(bian)緣(yuan)或(huo)者(zhe)超(chao)出(chu)其(qi)邊(bian)緣(yuan)是(shi)否(fou)犯(fan)規(gui)?如(ru)果(guo)算(suan)犯(fan)規(gui)又(you)怎(zen)麼(me)判(pan)罰(fa)?

3.按an照zhao比bi賽sai要yao求qiu,雙shuang車che基ji本ben是shi一yi定ding會hui安an裝zhuang交jiao接jie裝zhuang置zhi的de。這zhe些xie裝zhuang置zhi安an裝zhuang後hou車che模mo的de長chang寬kuan高gao究jiu竟jing如ru何he計ji算suan?是shi按an照zhao初chu始shi狀zhuang態tai計ji算suan還hai是shi按an照zhao交jiao接jie過guo程cheng中zhong運yun行xing的de最zui大da範fan圍wei計ji算suan?
4.chubuguizezhongbingmeiyoumingquechemojiaojiebangdeweizhi。namezhegeweizhibisaizhongjiujingshixuanshouzijixuanhaishisaidaozhijiezhiding?ruguozhidingdehuashizhidingyigeweizhihaishiyipianquyu?
對於交接棒的位置老師我有個建議:可ke否fou在zai賽sai道dao設she計ji時shi就jiu指zhi定ding一yi塊kuai區qu域yu交jiao接jie,然ran後hou在zai這zhe塊kuai區qu域yu上shang的de某mou個ge位wei置zhi再zai設she置zhi一yi個ge不bu帶dai起qi跑pao線xian的de車che庫ku。會hui車che時shi要yao求qiu後hou車che從cong車che庫ku駛shi出chu接jie球qiu,前qian車che傳chuan球qiu完wan後hou駛shi入ru該gai車che庫ku,其qi他ta動dong作zuo不bu變bian。這zhe樣yang就jiu解jie決jue了le位wei置zhi的de問wen題ti,而er且qie校xiao內nei調tiao試shi時shi多duo出chu的de這zhe個ge車che庫ku並bing不bu會hui影ying響xiang其qi他ta組zu別bie同tong學xue調tiao試shi。
老師這就是我的疑問和建議,希望老師能夠給予解答,謝謝老師!最後插一句:老師別太熬夜了,注意身體,您這推文時間太讓人擔心了
回複:謝謝你通過提問規則所提出疑問可以幫助我們進一步完善規則。1)如果在沒有標示的十字路口車模沒有直接前行,則比賽失敗;2)對於車庫邊緣不一定鋪設路肩,隻要車模外輪廓在車庫內即算停車成功;否則加罰一定的時間;3)對於雙車交接接力棒的裝置應該計算在車模總長度內;該長度應該在比賽前、後都不超過要求,這樣判罰較為簡便;4)車(che)模(mo)交(jiao)接(jie)區(qu)應(ying)該(gai)在(zai)比(bi)賽(sai)前(qian)同(tong)一(yi)指(zhi)定(ding),在(zai)完(wan)成(cheng)交(jiao)接(jie)過(guo)程(cheng)在(zai)前(qian)後(hou)一(yi)個(ge)一(yi)米(mi)的(de)區(qu)域(yu)便(bian)於(yu)判(pan)斷(duan)。你(ni)所(suo)提(ti)出(chu)的(de)中(zhong)間(jian)再(zai)設(she)置(zhi)一(yi)個(ge)停(ting)車(che)庫(ku)的(de)建(jian)議(yi)非(fei)常(chang)好(hao)。值(zhi)得(de)吸(xi)收(shou)在(zai)正(zheng)式(shi)規(gui)則(ze)中(zhong)。
留言2:老師,這個燈如果按照規則進行設定的話。那他的光線就太不均勻了(我們用的是以往的信標燈控製電路,電路麵積比較小)。所以我想問一下老師,今年的比賽信標燈電路會不會改成麵積更大,但更扁的電路?

回複:為了和之前相互能夠兼容,今年的信標燈電路不會再增大了。
留言3:卓zhuo大da大da,現xian在zai再zai給gei您nin留liu言yan可ke能neng有you點dian晚wan了le,但dan是shi還hai是shi想xiang提ti一yi些xie建jian議yi。就jiu是shi不bu知zhi室shi內nei能neng否fou保bao留liu純chun電dian磁ci組zu給gei節jie能neng。大da大da可ke能neng不bu知zhi道dao,對dui於yu節jie能neng來lai說shuo硬ying件jian的de糾jiu錯cuo周zhou期qi是shi很hen長chang的de,光guang是shi把ba平ping衡heng調tiao出chu來lai就jiu要yao改gai好hao幾ji版ban車che。因yin為wei我wo們men不bu能neng像xiang三san輪lun組zu一yi樣yang加jia配pei重zhong條tiao來lai調tiao機ji械xie零ling點dian,就jiu隻zhi能neng做zuo一yi版ban車che測ce一yi測ce中zhong心xin,然ran後hou改gai一yi版ban試shi試shi(因為我們的車要盡可能輕)。
所suo以yi留liu給gei軟ruan件jian真zhen正zheng上shang賽sai道dao調tiao試shi的de時shi間jian其qi實shi不bu多duo,像xiang我wo們men學xue校xiao去qu年nian的de節jie能neng組zu西xi部bu賽sai前qian隻zhi有you一yi個ge星xing期qi的de上shang賽sai道dao調tiao試shi時shi間jian。本ben身shen調tiao平ping衡heng已yi經jing不bu易yi(主要在於硬件方麵想要做到最優),如果再加上調攝像頭,那就有點太極限了。

我wo們men組zu三san個ge人ren雖sui然ran都dou是shi節jie能neng的de萌meng新xin,但dan本ben身shen都dou有you一yi年nian的de競jing賽sai基ji礎chu,我wo相xiang信xin大da部bu分fen敢gan選xuan節jie能neng的de組zu別bie應ying該gai都dou和he我wo們men一yi樣yang,但dan是shi這zhe項xiang任ren務wu我wo們men做zuo起qi來lai也ye是shi相xiang當dang頭tou疼teng,想xiang到dao將jiang來lai的de極ji限xian操cao作zuo,還hai是shi請qing大da大da能neng夠gou手shou下xia留liu情qing。
本文轉載自 TsinghuaJoking.
推薦閱讀:
特別推薦
- 噪聲中提取真值!瑞盟科技推出MSA2240電流檢測芯片賦能多元高端測量場景
- 10MHz高頻運行!氮矽科技發布集成驅動GaN芯片,助力電源能效再攀新高
- 失真度僅0.002%!力芯微推出超低內阻、超低失真4PST模擬開關
- 一“芯”雙電!聖邦微電子發布雙輸出電源芯片,簡化AFE與音頻設計
- 一機適配萬端:金升陽推出1200W可編程電源,賦能高端裝備製造
技術文章更多>>
- 貿澤EIT係列新一期,探索AI如何重塑日常科技與用戶體驗
- 算力爆發遇上電源革新,大聯大世平集團攜手晶豐明源線上研討會解鎖應用落地
- 創新不止,創芯不已:第六屆ICDIA創芯展8月南京盛大啟幕!
- AI時代,為什麼存儲基礎設施的可靠性決定數據中心的經濟效益
- 築基AI4S:摩爾線程全功能GPU加速中國生命科學自主生態
技術白皮書下載更多>>
- 車規與基於V2X的車輛協同主動避撞技術展望
- 數字隔離助力新能源汽車安全隔離的新挑戰
- 汽車模塊拋負載的解決方案
- 車用連接器的安全創新應用
- Melexis Actuators Business Unit
- Position / Current Sensors - Triaxis Hall
熱門搜索






