如何實現-12V輸入到+5V輸出?
發布時間:2019-12-09 責任編輯:lina
【導讀】這樣的一個應用:-12V的輸入,+5V的非隔離輸出, 也就是負電壓輸入、正電壓輸出,應該采用什麼結構的變換器?
這樣的一個應用:-12V的輸入,+5V的非隔離輸出, 也就是負電壓輸入、正電壓輸出,應該采用什麼結構的變換器?
反激變換器可以實現上述的電壓變換,但要用到變壓器,如果不用變壓器,那麼是否有其它的更簡單的方法?
電源控製IC內部所有的電路都是以IC的地管腳為基準,如果將輸入電壓的負端,連接到IC控製器的地管腳,那麼對於變換器而言,輸入電壓相當於正電壓,如圖1所示。

圖1:負輸入端連接到IC地
輸入電壓為-12V,變換器的輸入電壓相當於+12V;輸出+5V相當於+17V,因此,這個應用相當於將+12V電壓升到+17V,可以使用BOOST變換器,VCC相對於IC的地管腳(-12V)也是正電壓,可以正常供電,如圖2所示。

圖2:BOOST變換器
輸出若采用二個電容串聯,中間點連接到輸入地,相對於輸入地,就可以取出+5V電壓。由電路的連接關係,串聯端下邊電容和輸入電容並聯,可以省去。

圖3:+5V輸出電壓
若IC的FB管腳內部參考電壓為2.5V,反饋調節要求R2的電壓(FB管腳對IC的地管腳的電壓)保證恒定的2.5V,同時流過R1、R2的電流相同(忽略流入FB管腳的電流),從而保證係統的調節維持輸出電壓的恒定。
IC的地管腳電壓為-12V,VR2=2.5V,則FB管腳的電壓為-9.5V;輸出電壓為+5V,輸出對IC的地管腳電壓為+17V,VR1=14.5V。
輸入電壓有一定的波動範圍,如果輸入電壓變為-15V,VR2=2.5V恒定,VR1仍然為14.5V,FB管腳的電壓為-12.5V,輸出端對IC的地管腳的電壓仍然為+17V,輸出端對係統輸入地的電壓為:17-15V=+2V,而不是+5V。因此,輸入的負電壓發生變化時,輸出電壓也會發生改變,直接用這樣的反饋不滿足要求。

圖4:反饋控製
為了實現當輸入負電壓發生變化時,IC的反饋調節維持輸出電壓的穩定,必須要將R1、R2隔離,同時還要滿足前麵的二個條件。

圖5:R1/R2隔離
三極管的集電極電流和發射極電流大約相等,相互隔離,同時受基極電流控製,可以實現上述功能。
由圖中R1/R2的電流方向,如果NPN管,R1接集電極,R2接發射極,基極能連接的點有輸入地、輸入負電壓端和輸出端。
基極連接到輸入負電壓端,NPN管無法工作;基極連接到輸出端,輸出端和FB管腳的壓降保持恒定的0.6V,不滿足調節要求;基極連接到輸入地,FB管腳將被箝位在-0.6V,也不滿足調節。

圖6:NPN管隔離R1/R2隔離
改用PNP管,如圖7所示,R1接發射極,R2接集電極,用上麵分析方法,基極連接到輸出端或輸入負電壓端,都不滿足要求。基極連接到輸入地,可以滿足係統調節的要求。

圖7:PNP管隔離R1/R2隔離
電阻R2的電流為:
iR2=VFB/R2
iR2==iR1
iR1=(Vo-0.6V )/R1
其中,三極管VBE=0.6V,VFB=2.5V。選取合適R2,由上式,就可以計算R1的值。為了係統穩定,可以在輸出端到輸入地之加一個阻值較大的電阻作為假負載。
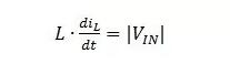
MOSFET導通:

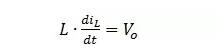
MOSFET關斷:

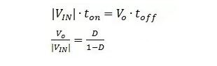
由電感的伏秒值平衡:

當輸入負電壓或輸出負載的變化導致輸出電壓發生改變時,例如,若輸出降低,R2、R1的電流降低,VFB電壓降低,內部COMP腳電壓上升,占空比增加,從而提高輸出電壓。
同樣的類似的應用,如-48V的輸入,+5V的非隔離輸出,也可以用本文的方法實現。
特別推薦
- 噪聲中提取真值!瑞盟科技推出MSA2240電流檢測芯片賦能多元高端測量場景
- 10MHz高頻運行!氮矽科技發布集成驅動GaN芯片,助力電源能效再攀新高
- 失真度僅0.002%!力芯微推出超低內阻、超低失真4PST模擬開關
- 一“芯”雙電!聖邦微電子發布雙輸出電源芯片,簡化AFE與音頻設計
- 一機適配萬端:金升陽推出1200W可編程電源,賦能高端裝備製造
技術文章更多>>
- 築基AI4S:摩爾線程全功能GPU加速中國生命科學自主生態
- 一秒檢測,成本降至萬分之一,光引科技把幾十萬的台式光譜儀“搬”到了手腕上
- AI服務器電源機櫃Power Rack HVDC MW級測試方案
- 突破工藝邊界,奎芯科技LPDDR5X IP矽驗證通過,速率達9600Mbps
- 通過直接、準確、自動測量超低範圍的氯殘留來推動反滲透膜保護
技術白皮書下載更多>>
- 車規與基於V2X的車輛協同主動避撞技術展望
- 數字隔離助力新能源汽車安全隔離的新挑戰
- 汽車模塊拋負載的解決方案
- 車用連接器的安全創新應用
- Melexis Actuators Business Unit
- Position / Current Sensors - Triaxis Hall
熱門搜索
微波功率管
微波開關
微波連接器
微波器件
微波三極管
微波振蕩器
微電機
微調電容
微動開關
微蜂窩
位置傳感器
溫度保險絲
溫度傳感器
溫控開關
溫控可控矽
聞泰
穩壓電源
穩壓二極管
穩壓管
無焊端子
無線充電
無線監控
無源濾波器
五金工具
物聯網
顯示模塊
顯微鏡結構
線圈
線繞電位器
線繞電阻




