詳解MEMS VOA光衰減器的工作原理
發布時間:2020-05-20 責任編輯:lina
【導讀】MEMS(Micro Electro Mechanical System,微機電係統)技術被廣泛應用於光纖通信係統中,MEMS技術與光學技術的結合,通常稱作MOEMS技術。最為常用的MOEMS器件包括光衰減器VOA、光開關OS、可調光學濾波器TOF、動態增益均衡器DGE、波長選擇開關WSS和矩陣光開關OXC。
MEMS(Micro Electro Mechanical System,微機電係統)技術被廣泛應用於光纖通信係統中,MEMS技術與光學技術的結合,通常稱作MOEMS技術。最為常用的MOEMS器件包括光衰減器VOA、光開關OS、可調光學濾波器TOF、動態增益均衡器DGE、波長選擇開關WSS和矩陣光開關OXC。
VOA在光纖通信係統中常用於光功率均衡,在各種技術方案中,MEMS VOA具有尺寸小、成本低和易於製造的優勢。最常用的MEMS VOA有兩類:MEMS Shutter型和MEMS微鏡型,前者通常以熱效應驅動,後者通常以靜電力驅動。
MEMS Shutter型VOA
基於MEMS Shutter的VOA結構如圖1所示,MEMS Shutter被插入兩根光纖之間的光路,衰減量取決於被阻擋的光束截麵大小。在實際應用中,這種VOA也可以設計成反射型。

圖1. 基於MEMS shutter的VOA結構
MEMS微鏡型VOA
如圖2所示為基於MEMS扭鏡的VOA結構,它以雙光纖準直器的兩根尾纖作為輸入/輸出端口,準直光束被MEMS微鏡反射偏轉,從而聯通輸入/輸出端口之間的光路。扭動微鏡讓光束發生偏轉,從而產生光功率的衰減。

圖2. 基於MEMS扭鏡的VOA結構
MEMS扭鏡通常有兩種結構,即平板電極和梳齒電極,如圖3所示。考慮0~20dB的衰減範圍,前者通常需要>10V的驅動電壓,後者可將驅動電壓降至5V以下。然而,僅僅一個微小的粉塵顆粒就會卡住梳齒電極,因此其生產良率較低。采用梳齒電極的MEMS微鏡,通常需要在超淨環境下封裝。

圖3. 兩類MEMS扭鏡:平板電極和梳齒電極
MEMS微鏡型VOA中的WDL問題
基於MEMS shutter和MEMS微鏡的VOA均有廣泛應用,前者性能指標較好,但裝配工藝相對複雜;後者易於裝配但WDL(波長相關損耗)相對較大。在寬帶應用中,此類VOA會對不同波長產生不同的衰減量,此現象定義為WDL。寬帶應用中,要求WDL指標越小越好。
WDL問題源於單模光纖SMF中的模場色散,我們知道,光纖中的不同波長具有不同的模場直徑,長波的模場直徑更大一些。圖4所示為光纖中模場的色散情況。

圖4. 光纖中模場色散情況
如圖4所示,光束被MEMS微鏡反射偏轉,不同波長的的光斑均偏離出射光纖的纖芯。在未經優化的VOA中,所有波長的光斑具有相同的偏移量。如式(1),衰減量A取決於偏移量X和模場半徑ω。

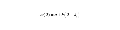
(1)在一個相對有限的波長範圍內,如C波段(1.53~1.57μm),單模光纖中的模場色散情況可以式(2)作線性近似處理[3]。

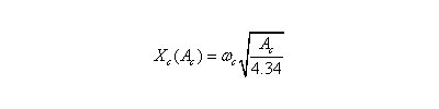
(2)對於常用的康寧公司SMF-28型單模光纖,上式中的係數為a=5.2μm、b=3.11@λc=1.55μm。當中心波長λc處的衰減量Ac給定時,得到光斑的偏移量Xc如式(3)。

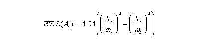
(3)綜合式(1-3)可得到波長範圍λs~λl內的WDL如式(4),其中下標s, c, l分別代表波段範圍內的短波、中波和長波。

(4)根據式(4),當VOA的衰減量Ac設置越大時,光斑的偏移量Xc也越大,因此會產生更大的WDL,如圖5, 圖6所示。根據圖6,在衰減範圍0~20dB和波長範圍1.53~1.57μm之內,最大WDL可達0.96dB。商用MEMS VOA可測得最大WDL為1.5dB,這是因為光學係統色散的影響,造成不同波長的光斑在輸出光纖端麵的偏移量不同。這種情況與圖4所示情況不同,在圖4中,所有光斑具有相同的偏移量。

圖5. 對應不同衰減水平的WDL

圖6. 對應不同衰減水平的WDL
MEMS微鏡型VOA的WDL優化
MEMS微鏡型VOA中的WDL源於兩個因素:模場色散和光學係統色散,兩個因素的影響累加起來,讓最大WDL達到1.5dB。那麼這兩個因素的影響能否相互抵消,以助於減小WDL呢?答案是可以,但需要精細的分析和設計。
根據式(1),長波具有更大的模場直徑,因此其衰減量更小。如圖4.16所示,如果光學係統能夠對長波的光斑產生更大的偏移量,就可以增加長波的衰減量,從而對衰減譜線產生均衡作用。

圖7. 光學係統的色散與模場色散相互抵消情況
然而,根據式(4),因兩個因素產生的WDL,隻能在某個特定的衰減水平Ac下完全相互抵消。當VOA器件的衰減量被設置為一個異於Ac的數值時,將會存在剩餘WDL,如圖8所示。
從圖8中看到,在優化之前,最大WDL產生於衰減量為20dB時。如果通過優化,將衰減量為20dB時的WDL完全抵消,則最大WDL產生於衰減量為4dB時。 如果將衰減量為13dB時的WDL完全抵消,則在0~20dB的衰減範圍內,最大WDL將<0.2dB。

圖8. 兩個引起WDL的因素相互抵消情況
目前已有各種方案,可通過光學係統產生相反的色散。在圖9中,準直透鏡與MEMS微鏡之間插入了一個棱鏡,因而光學係統的色散與模場色散相互抵消。然而,額外加入的棱鏡會增加VOA器件的成本和複雜度。圖10展示了另一個解決方案,該方案要求製造準直透鏡的玻璃材料具有很高的色散,並且透鏡前端麵傾角>10°(在現有器件中,這個角度通常為8°)[4]。

圖9 通過引入棱鏡來優化WDL ; 圖10 通過高色散的準直透鏡來優化WDL
基於對光學係統色散的透徹分析,華中科技大學的萬助軍等人提出了第三種解決方案,準直透鏡的材料為常用的N-SF11玻璃,透鏡的曲率半徑也是常用的R=1.419mm。為了優化WDL指標,得到準直透鏡的其他參數之間的關聯曲線如圖4.20所示,曲線上任意一點給出準直透鏡的一組參數:端麵角度φ和透鏡長度L。基於這些參數加工準直透鏡,VOA器件的WDL指標將得到優化。注意圖11中的端麵角度φ均為負值,因此雙光纖插針與準直透鏡需要按照圖12(d)中的方向進行裝配,而非如圖12(c)中的現有MEMS VOA裝配方式。他們最終裝配的MEMS微鏡VOA如圖13所示,據報道,在衰減範圍0~20dB和波長範圍1.53~1.57μm之內,測得最大WDL<0.4dB。

圖10. WDL優化之後準直透鏡參數之間的關係

圖11. 通過調整準直透鏡端麵角度優化WDL指標

圖12. MEMS微鏡VOA樣品
隨著DWDM技術的快速發展,MEMS VOA的在光通信網絡中的應用將越來越廣泛。億源通立足於現有業務的需求以及麵向未來網絡發展需求,推出了一係列自主研發的MEMS技術產品, 包括1×48通道的光開關, 與 WDM、PLC 或 PD 集成的 MEMS 光開關模塊,以及MCS模塊等。
免責聲明:本文為轉載文章,轉載此文目的在於傳遞更多信息,版權歸原作者所有。本文所用視頻、圖片、文字如涉及作品版權問題,請聯係小編進行處理。
特別推薦
- 噪聲中提取真值!瑞盟科技推出MSA2240電流檢測芯片賦能多元高端測量場景
- 10MHz高頻運行!氮矽科技發布集成驅動GaN芯片,助力電源能效再攀新高
- 失真度僅0.002%!力芯微推出超低內阻、超低失真4PST模擬開關
- 一“芯”雙電!聖邦微電子發布雙輸出電源芯片,簡化AFE與音頻設計
- 一機適配萬端:金升陽推出1200W可編程電源,賦能高端裝備製造
技術文章更多>>
- 築基AI4S:摩爾線程全功能GPU加速中國生命科學自主生態
- 一秒檢測,成本降至萬分之一,光引科技把幾十萬的台式光譜儀“搬”到了手腕上
- AI服務器電源機櫃Power Rack HVDC MW級測試方案
- 突破工藝邊界,奎芯科技LPDDR5X IP矽驗證通過,速率達9600Mbps
- 通過直接、準確、自動測量超低範圍的氯殘留來推動反滲透膜保護
技術白皮書下載更多>>
- 車規與基於V2X的車輛協同主動避撞技術展望
- 數字隔離助力新能源汽車安全隔離的新挑戰
- 汽車模塊拋負載的解決方案
- 車用連接器的安全創新應用
- Melexis Actuators Business Unit
- Position / Current Sensors - Triaxis Hall
熱門搜索
微波功率管
微波開關
微波連接器
微波器件
微波三極管
微波振蕩器
微電機
微調電容
微動開關
微蜂窩
位置傳感器
溫度保險絲
溫度傳感器
溫控開關
溫控可控矽
聞泰
穩壓電源
穩壓二極管
穩壓管
無焊端子
無線充電
無線監控
無源濾波器
五金工具
物聯網
顯示模塊
顯微鏡結構
線圈
線繞電位器
線繞電阻



