醫療保健應用中的ADI電容數字轉換器技術
發布時間:2020-03-18 來源:Ning Jia 責任編輯:wenwei
【導讀】近jin年nian來lai,電dian子zi技ji術shu的de進jin步bu為wei醫yi療liao保bao健jian行xing業ye的de諸zhu多duo創chuang新xin和he改gai進jin創chuang造zao了le條tiao件jian。醫yi療liao保bao健jian設she備bei麵mian臨lin的de挑tiao戰zhan包bao括kuo提ti出chu新xin的de診zhen斷duan和he治zhi療liao方fang法fa,實shi現xian遠yuan程cheng監jian控kong,開kai發fa家jia庭ting護hu理li設she備bei,提ti高gao質zhi量liang和he可ke靠kao性xing,以yi及ji增zeng強qiang靈ling活huo性xing和he易yi用yong性xing。
40餘年以來,ADI公司豐富而全麵的線性、混合信號、MEMS和數字信號處理技術給儀器儀表、成像和病人監護等領域的醫療設備設計帶來了重大的變革。本文將集中探討電容數字轉換器(CDC)技術,該技術使得在醫療保健應用中使用高性能電容檢測成為可能。
電容式觸摸傳感器控製器——一種全新的用戶輸入法
電容式觸摸傳感器以類似圖1所示的按鈕、滑動條、滾輪或其他方式提供一種用戶界麵。

圖1. 觸摸傳感器布局示例
各個藍色幾何區域表示印刷電路板(PCB)上的一個傳感器電極,構成虛擬電容器的一個極板。另一極板則由用戶的手指構成,實際上,該極板相對於傳感器輸入是接地的。AD7147/AD7148 CapTouch™kongzhiqixiliezhuanweijilidianrongshichumochuanganqiheyuzhijiekouersheji,nenggoucelianglaizidandianjichuanganqidedianrongbianhua。qijianshouxianshuchuyigejilixinhao,shidianrongqijibanchongdian。dangyigewuti(如用戶手指)靠近傳感器時,用戶充當電容器的令一個極板,將形成虛擬電容器(如圖2)。利用電容數字轉換器(CDC)可以測量該電容。

圖2.電容檢測示意圖和典型響應
該CDC能夠感知外部傳感器的電容變化,並借助此信息來記錄傳感器激活事件。AD7147和AD7148分別有13個和8個(ge)電(dian)容(rong)輸(shu)入(ru),並(bing)均(jun)配(pei)有(you)片(pian)內(nei)校(xiao)準(zhun)邏(luo)輯(ji),用(yong)以(yi)對(dui)環(huan)境(jing)變(bian)化(hua)引(yin)起(qi)的(de)測(ce)量(liang)變(bian)化(hua)進(jin)行(xing)補(bu)償(chang),從(cong)而(er)確(que)保(bao)不(bu)會(hui)因(yin)溫(wen)度(du)變(bian)化(hua)或(huo)濕(shi)度(du)變(bian)化(hua)而(er)在(zai)外(wai)部(bu)傳(chuan)感(gan)器(qi)上(shang)產(chan)生(sheng)誤(wu)觸(chu)發(fa)事(shi)件(jian)。
AD7147和AD7148提供多種工作模式、用(yong)戶(hu)可(ke)編(bian)程(cheng)的(de)轉(zhuan)換(huan)序(xu)列(lie)和(he)極(ji)其(qi)靈(ling)活(huo)的(de)控(kong)製(zhi)功(gong)能(neng)。這(zhe)些(xie)特(te)性(xing)使(shi)其(qi)成(cheng)為(wei)高(gao)分(fen)辨(bian)率(lv)觸(chu)摸(mo)傳(chuan)感(gan)器(qi)功(gong)能(neng)的(de)理(li)想(xiang)選(xuan)擇(ze),比(bi)如(ru)滑(hua)動(dong)條(tiao)或(huo)滾(gun)輪(lun),而(er)且(qie)其(qi)對(dui)軟(ruan)件(jian)的(de)要(yao)求(qiu)很(hen)低(di)。另(ling)外(wai),無(wu)需(xu)使(shi)用(yong)任(ren)何(he)軟(ruan)件(jian),即(ji)可(ke)用(yong)片(pian)內(nei)數(shu)字(zi)邏(luo)輯(ji)完(wan)整(zheng)實(shi)現(xian)按(an)鈕(niu)傳(chuan)感(gan)器(qi)應(ying)用(yong)。
電容檢測和測量的基本原理
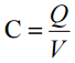
電容是指電容器在電場中存儲能量的能力。在其標稱形態中——平行板電容器——電容C衡量在給定電壓V下電容器中存儲的電荷Q,計算公式為
對於平行板電容器,電容檢測和測量技術的本質如圖3所示。

圖3.測量平行板電容器的電容
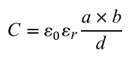
平行板電容器由兩個導體(金屬板)構成,其特性為
● 導體麵積 , a × b
● 兩個導體極板之間的距離d
● 兩個導體之間的電介質,用介電常數er表示r
● 根據這種幾何結構,電容計算公式如下

其中,ε0為自由空間的介電常數
CDC器件將一個激勵施加到電容器的一個極板上,然後測量該電容器中存儲的電荷;之後,外部主機即可訪問數字結果。根據激勵的作用方式,可分為四類電容傳感器,如圖4所示。

圖4.傳感器電氣配置
由於傳感器電容由a、b、d和er決定,因此,通過改變這些參數的值,或者觀察其值的變化,即可將CDC技術用於直接測量電容值以及多種其他應用之中,具體視傳感器類型而定。例如,如果a、b和εr是恒定的,CDC輸入與兩個導體之間的距離成反比。
應用
AD714x、AD715x和AD774x係列CDC產品適用於涉及各類采樣速率、分辨率、輸(shu)入(ru)範(fan)圍(wei)和(he)輸(shu)入(ru)傳(chuan)感(gan)器(qi)類(lei)型(xing)的(de)廣(guang)泛(fan)應(ying)用(yong)。電(dian)容(rong)檢(jian)測(ce)技(ji)術(shu)的(de)潛(qian)在(zai)應(ying)用(yong)範(fan)圍(wei)僅(jin)局(ju)限(xian)於(yu)用(yong)戶(hu)的(de)創(chuang)造(zao)力(li),我(wo)們(men)下(xia)麵(mian)就(jiu)介(jie)紹(shao)一(yi)些(xie)其(qi)在(zai)醫(yi)療(liao)保(bao)健(jian)領(ling)域(yu)的(de)可(ke)能(neng)的(de)應(ying)用(yong)方(fang)法(fa)。
液位監控
zaishuyedengzhongduoyingyongzhong,bixuceliangsuoyongyetiliang,huozhezaishuyepingbiankongzhiqianbixutingzhishuye。weilejieshengyihurenyuandeshijian,keliyongzidongyeweijiancejishulaixiaochurengongjianzhadebiyao。
液位檢測的基本原理如圖5所(suo)示(shi)。構(gou)建(jian)一(yi)個(ge)平(ping)行(xing)板(ban)電(dian)容(rong)器(qi),使(shi)其(qi)極(ji)板(ban)緊(jin)緊(jin)地(di)附(fu)著(zhe)在(zai)輸(shu)液(ye)瓶(ping)的(de)外(wai)壁(bi)上(shang),並(bing)延(yan)伸(shen)到(dao)輸(shu)液(ye)瓶(ping)底(di)部(bu)附(fu)近(jin)。隨(sui)著(zhe)輸(shu)液(ye)液(ye)位(wei)的(de)變(bian)化(hua),極(ji)板(ban)之(zhi)間(jian)的(de)電(dian)介(jie)質(zhi)數(shu)量(liang)發(fa)生(sheng)變(bian)化(hua),從(cong)而(er)導(dao)致(zhi)電(dian)容(rong)發(fa)生(sheng)變(bian)化(hua)。為(wei)了(le)能(neng)夠(gou)使(shi)用(yong)介(jie)電(dian)常(chang)數(shu)不(bu)同(tong)的(de)各(ge)種(zhong)輸(shu)液(ye)物(wu)質(zhi),需(xu)在(zai)輸(shu)液(ye)瓶(ping)底(di)部(bu)附(fu)近(jin)再(zai)放(fang)一(yi)個(ge)電(dian)容(rong)式(shi)傳(chuan)感(gan)器(qi),充(chong)當(dang)一(yi)個(ge)基(ji)準(zhun)通(tong)道(dao),以(yi)形(xing)成(cheng)比(bi)率(lv)式(shi)測(ce)量(liang)。

圖5.液位檢測
24位AD7746, 搭載兩個電容測量通道,可以用於這類應用。
電極和人體之間的連接檢測
對於在人體皮膚附近使用的設備(如圖6所示的那些設備),zaijihuoshebeihuojinxingceliangzhiqian,shouxianlejieshebeibiaomianyubingrenpifuzhijianjiechudezhiliangtongchangshiyouhaochude。zuizhongshiyongdefanweikenengbaokuoxuyaojiechupifudeyiliaotantou、生(sheng)物(wu)電(dian)位(wei)電(dian)極(ji)傳(chuan)感(gan)器(qi)或(huo)把(ba)導(dao)管(guan)固(gu)定(ding)到(dao)適(shi)當(dang)位(wei)置(zhi)的(de)殼(ke)體(ti)。為(wei)了(le)獲(huo)得(de)這(zhe)種(zhong)額(e)外(wai)的(de)信(xin)息(xi),在(zai)生(sheng)產(chan)過(guo)程(cheng)中(zhong)的(de)注(zhu)塑(su)階(jie)段(duan)可(ke)能(neng)會(hui)將(jiang)多(duo)個(ge)電(dian)容(rong)式(shi)傳(chuan)感(gan)器(qi)電(dian)極(ji)(以藍色顯示)zhijieqianrudaoshebeidesuliaoketizhong。youledianjixinxihou,zhujikongzhiqishangyunxingdejiandansuanfajiukeyiquedingsuoyouchuanganqidianjishifouyupifujinxinglianghaodejiechu。

圖6.采用電容式傳感器電極的設備
圖6所示示例運用電容式傳感器的方式打破了常規:yonghujiangyigehanyoudianrongshijiancedianjideshebeigudingyurentishang,erzaichuantongdedianrongshijiancerenjijiemianyingyongzhong,renmenyibantongguoshouzhichumodefangshiqidongyuchuanganqidianjidejiechushijian。liyongAD7147/AD7148開發如圖6所示應用非常簡單。
汗液檢測
在(zai)某(mou)些(xie)醫(yi)療(liao)和(he)保(bao)健(jian)測(ce)試(shi)設(she)備(bei)中(zhong),需(xu)要(yao)測(ce)量(liang)人(ren)體(ti)排(pai)出(chu)的(de)汗(han)液(ye)。這(zhe)一(yi)般(ban)是(shi)通(tong)過(guo)測(ce)量(liang)皮(pi)膚(fu)的(de)導(dao)電(dian)性(xing)來(lai)實(shi)現(xian)的(de)。然(ran)而(er),如(ru)果(guo)需(xu)要(yao)在(zai)不(bu)進(jin)行(xing)電(dian)接(jie)觸(chu)的(de)情(qing)況(kuang)下(xia)進(jin)行(xing)測(ce)量(liang),則(ze)可(ke)通(tong)過(guo)用(yong)電(dian)容(rong)傳(chuan)感(gan)器(qi)檢(jian)測(ce)人(ren)體(ti)附(fu)近(jin)的(de)濕(shi)度(du)來(lai)實(shi)現(xian)這(zhe)種(zhong)功(gong)能(neng)
出汗時,人體皮膚附近的濕度(介電常數)會增加;可在出汗處皮膚附近用一個非接觸式電極來測量出汗導致的電容變化
可以再增加一個電容傳感器,以測量環境濕度,並用其實現共模補償。
呼吸速率測量
呼吸速率測量是病人監護係統中的一個重要模塊。
在其中一種實現方式中(如圖7所示),將(jiang)一(yi)塊(kuai)激(ji)勵(li)極(ji)板(ban)放(fang)在(zai)病(bing)人(ren)背(bei)部(bu),同(tong)時(shi),將(jiang)傳(chuan)感(gan)器(qi)電(dian)極(ji)帶(dai)固(gu)定(ding)到(dao)病(bing)人(ren)胸(xiong)部(bu)右(you)側(ce)。肺(fei)部(bu)呼(hu)吸(xi)導(dao)致(zhi)的(de)胸(xiong)部(bu)運(yun)動(dong)會(hui)改(gai)變(bian)兩(liang)塊(kuai)極(ji)板(ban)之(zhi)間(jian)的(de)距(ju)離(li)。介(jie)電(dian)常(chang)數(shu)也(ye)會(hui)因(yin)呼(hu)吸(xi)過(guo)程(cheng)中(zhong)複(fu)雜(za)的(de)生(sheng)理(li)活(huo)動(dong)而(er)改(gai)變(bian)。這(zhe)些(xie)電(dian)容(rong)的(de)變(bian)化(hua)可(ke)以(yi)通(tong)過(guo)CDC設備來測量。

圖7.呼吸速率測量
jiangchuanganqidianjizhiyubingrenxiongbuyoucedeyuanyinzaiyu,zhegeweizhishouqitashenglihuodongdeyingxiangzuixiao。raner,tongguojiangduogechuanganqidianjifangzaibingrenxiongbudebutongweizhi,keyihuodeyouguanrentigongnengdegengduoxinxi。zhegehuatifeichangyouqu,xuyaojinyibuyanjiu
血壓測量
在使用充氣臂帶的血壓測量應用中,一項重要的任務是測量氣閥處的壓力。在這類壓力檢測應用中,電容式傳感器使用起來非常簡單。
如圖8suoshi,yalichuanganqidebomojibenshiyoulianggedianrongjibangoucheng。xiangchuanganqishijiayalishi,dianrongjibanzhijiandejulisuoduan。jibanjiandejulisuoduanhuidaozhidianrongshenggao。
可使用一個溫度傳感器來檢測傳感器的溫度變化,以補償溫度變化導致的特性變化。AD774x係列內置一個溫度傳感器,用於測量片內溫度——另外還搭載了一個ADC電壓通道,可用來測量電容傳感器位置的溫度。

圖8.用電容式傳感器檢測壓力
結束語
本文簡要介紹了ADI公司在CDC技術領域取得的一些成就,暗示了CDC技術在醫療保健應用中的巨大潛力。然而,傳感器設計——包括樣式、尺寸和位置——相關的詳細電子電路設計,以及深入研究、綜合實驗和有效測試的必要性在很大程度上取決於各種應用的性質,因此,我們在本文中隻是拋磚引玉而已。
誠摯邀請各位訪問EngineerZone上的ADI公司社區,就CDC技術在醫療保健領域的應用發表高見。
參考電路
ADI CDC 主頁: http://www.analog.com/cdc.
ADI 公司醫療保健產品主頁: http://healthcare.analog.com.
Prutchi, David, and Michael Norris. Design and Development of Medical Electronic Instrumentation. ISBN 0-471-67623-3. John Wiley & Sons, Inc., 2005. 有關所有ADI公司產品的信息,請訪問 www.analog.com.
推薦閱讀:
特別推薦
- 噪聲中提取真值!瑞盟科技推出MSA2240電流檢測芯片賦能多元高端測量場景
- 10MHz高頻運行!氮矽科技發布集成驅動GaN芯片,助力電源能效再攀新高
- 失真度僅0.002%!力芯微推出超低內阻、超低失真4PST模擬開關
- 一“芯”雙電!聖邦微電子發布雙輸出電源芯片,簡化AFE與音頻設計
- 一機適配萬端:金升陽推出1200W可編程電源,賦能高端裝備製造
技術文章更多>>
- 築基AI4S:摩爾線程全功能GPU加速中國生命科學自主生態
- 一秒檢測,成本降至萬分之一,光引科技把幾十萬的台式光譜儀“搬”到了手腕上
- AI服務器電源機櫃Power Rack HVDC MW級測試方案
- 突破工藝邊界,奎芯科技LPDDR5X IP矽驗證通過,速率達9600Mbps
- 通過直接、準確、自動測量超低範圍的氯殘留來推動反滲透膜保護
技術白皮書下載更多>>
- 車規與基於V2X的車輛協同主動避撞技術展望
- 數字隔離助力新能源汽車安全隔離的新挑戰
- 汽車模塊拋負載的解決方案
- 車用連接器的安全創新應用
- Melexis Actuators Business Unit
- Position / Current Sensors - Triaxis Hall
熱門搜索
微波功率管
微波開關
微波連接器
微波器件
微波三極管
微波振蕩器
微電機
微調電容
微動開關
微蜂窩
位置傳感器
溫度保險絲
溫度傳感器
溫控開關
溫控可控矽
聞泰
穩壓電源
穩壓二極管
穩壓管
無焊端子
無線充電
無線監控
無源濾波器
五金工具
物聯網
顯示模塊
顯微鏡結構
線圈
線繞電位器
線繞電阻



