幾種低通可調濾波器對比分析
發布時間:2019-09-29 責任編輯:xueqi
【導讀】以下分別詳細地為大家介紹二階壓控低通濾波器、單位增益二階壓控低通濾波器、二階低通濾波器的對比分析。
1 二階壓控低通濾波器
二階壓控低通濾波器電路如圖所示,由R1、C1 及R2、C2 分別構成兩個一階低通濾波器,但C1 接輸出端,引入電壓正反饋,形成壓控濾波器。

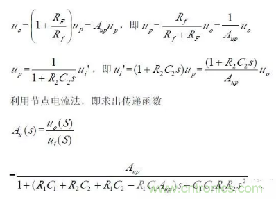
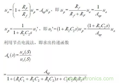
(1) 傳遞函數

(2) 頻率特性

可見該低通濾波器特點是阻尼係數ζ 由電阻R1、R2,C1、C2 的比決定;而固有頻率ω0與R1、R2、C1、C2 具體數值有關,即ω0與ζ 獨立可調,互不影響。
(3) 參數選擇
為方便參數匹配,考慮到標稱電容種類較少,一般選擇C1=C2=C。通過選擇不同的R1、R2 滿足特定的固有頻率ω0 、ζ 。


2單位增益二階壓控低通濾波器
對於二階壓控低通濾波器來說,當通帶放大倍數Aup =1(單位增益)時,圖所示電路變為圖所示,其中RF=R1+R2。

(1) 基本關係


(4) 參數選擇
在固有頻率ω0 、阻尼係數ζ 已知情況下,設計步驟如下:

3二階低通濾波器

(1) 傳遞函數

(2) 頻率特性

4無限增益多路反饋低通濾波器

(1) 傳遞函數

(2) 頻率特性

特別推薦
- 噪聲中提取真值!瑞盟科技推出MSA2240電流檢測芯片賦能多元高端測量場景
- 10MHz高頻運行!氮矽科技發布集成驅動GaN芯片,助力電源能效再攀新高
- 失真度僅0.002%!力芯微推出超低內阻、超低失真4PST模擬開關
- 一“芯”雙電!聖邦微電子發布雙輸出電源芯片,簡化AFE與音頻設計
- 一機適配萬端:金升陽推出1200W可編程電源,賦能高端裝備製造
技術文章更多>>
- 貿澤EIT係列新一期,探索AI如何重塑日常科技與用戶體驗
- 算力爆發遇上電源革新,大聯大世平集團攜手晶豐明源線上研討會解鎖應用落地
- 創新不止,創芯不已:第六屆ICDIA創芯展8月南京盛大啟幕!
- AI時代,為什麼存儲基礎設施的可靠性決定數據中心的經濟效益
- 矽典微ONELAB開發係列:為毫米波算法開發者打造的全棧工具鏈
技術白皮書下載更多>>
- 車規與基於V2X的車輛協同主動避撞技術展望
- 數字隔離助力新能源汽車安全隔離的新挑戰
- 汽車模塊拋負載的解決方案
- 車用連接器的安全創新應用
- Melexis Actuators Business Unit
- Position / Current Sensors - Triaxis Hall
熱門搜索



