基於MEMS傳感器的行人航位推算(PDR)解決方案
發布時間:2016-09-13 責任編輯:susan
【導讀】定位是感知應用的一個重要屬性。在室內環境中,如果位置信息可用並非常可靠,有更多的應用場景可以實現的。行人航位推算(PDR) 就是這樣一種技術,在室內環境中可提供行人航位信息並提高定位可靠性。
慣性傳感器、磁ci力li計ji和he壓ya力li傳chuan感gan器qi是shi航hang位wei推tui算suan應ying用yong中zhong必bi不bu可ke少shao的de傳chuan感gan器qi組zu件jian,用yong之zhi可ke大da幅fu提ti升sheng導dao航hang性xing能neng,這zhe些xie器qi件jian的de功gong耗hao必bi須xu極ji低di,這zhe樣yang才cai能neng始shi終zhong保bao持chi開kai啟qi模mo式shi並bing提ti供gong數shu據ju用yong於yu航hang位wei推tui算suan應ying用yong。實shi現xian隨sui時shi隨sui地di定ding位wei的de目mu標biao離li不bu開kai高gao品pin質zhi的deMEMSchuanganqihegaoxingnengdexingrenhangweituisuansuanfa。benwenzhuyaotaolungezhongxingrenhangweituisuansuanfashangxuyaoyongdaodechuanganqizujiandeshuxuebiaoshu,yijikeyongxinghekekaoxinggenggaodePDR行人航位推算算法的測試結果。
定位技術概述
全球導航衛星係統(GNSS)接(jie)收(shou)器(qi)已(yi)成(cheng)為(wei)室(shi)外(wai)導(dao)航(hang)解(jie)決(jue)方(fang)案(an)的(de)常(chang)用(yong)電(dian)子(zi)元(yuan)器(qi)件(jian),今(jin)天(tian)幾(ji)乎(hu)每(mei)一(yi)台(tai)智(zhi)能(neng)手(shou)機(ji)內(nei)部(bu)都(dou)有(you)一(yi)個(ge)這(zhe)樣(yang)的(de)衛(wei)星(xing)接(jie)收(shou)器(qi)芯(xin)片(pian),可(ke)實(shi)現(xian)各(ge)種(zhong)與(yu)位(wei)置(zhi)相(xiang)關(guan)的(de)移(yi)動(dong)服(fu)務(wu),其(qi)中(zhong)包(bao)括(kuo)導(dao)航(hang)、xingqudiansousuoheditu。yonghukaishiqidaitamendeshebeizaisuoyouhuanjingzhongdounengtigongweizhixinxi,danshitamentongchanghulveweixingxinhaoshibunengchuantoushangshahehoujiloudeqiangbihewudingzhegeshishi。jianzhucailiaohuishiquanqiudaohangweixingxitongxinhaoshuaijianbianruo,jishigaolingmindujieshouqiyewufazaishineishoudaodingweixinxi。
muqianyeneizhengzaikaifabutongdexingrenhangweituisuanjiejuefangan,dadoucaiyongwuxianfasheqichongdangxinbiao,liyongsanjiaoceliangfajisuanjieshouqideweizhi。zhexiejiejuefanganliyongshineihuanjingzhongdeWi-Fi接入點(AP)定位。類似的解決方案還包括使用藍牙發射器、GSM和其它手機發射器或專用信標,例如Nextnavfor室內定位設備。這些技術整合運用服務器等基礎設施傳送的輔助GPS/GLONASS數據、星曆擴展數據和Wi-Fi接入點(AP)位置數據。此外,還有一種使用MEMS傳感器(加速度計、磁力計、陀螺儀和高度計)計算位置數據的室內導航技術。今天幾乎所有的智能手機、平板電腦、數碼相機、健身產品等便攜消費電子產品都配有MEMS傳感器。這些傳感器配合行人航位推算(PDR) 技術能夠確定用戶位置。每項室內定位技術都有其長處和短板。
數據整合
按照定位精度和功耗要求,微控製器整合處理各類信息源送來的信息,然後將具有不確定性的單一位置值提供給應用。使用信任參數、相關參數和過去測量數據推算每個位置,權衡Wi-Fi、藍牙、行(xing)人(ren)航(hang)位(wei)推(tui)算(suan)和(he)全(quan)球(qiu)導(dao)航(hang)衛(wei)星(xing)係(xi)統(tong)等(deng)多(duo)個(ge)技(ji)術(shu)送(song)來(lai)的(de)信(xin)息(xi),數(shu)據(ju)整(zheng)合(he)算(suan)法(fa)在(zai)其(qi)中(zhong)發(fa)揮(hui)著(zhe)關(guan)鍵(jian)作(zuo)用(yong)。在(zai)室(shi)外(wai),全(quan)球(qiu)導(dao)航(hang)衛(wei)星(xing)係(xi)統(tong)接(jie)收(shou)器(qi)送(song)來(lai)的(de)位(wei)置(zhi)信(xin)息(xi)精(jing)度(du)良(liang)好(hao),不(bu)確(que)定(ding)性(xing)低(di)。當(dang)控(kong)製(zhi)器(qi)使(shi)用(yong)的(de)測(ce)量(liang)數(shu)據(ju)是(shi)來(lai)自(zi)用(yong)戶(hu)附(fu)近(jin)的(de)Wi-Fi接入點時,位置計算信號強度高,Wi-Fi係統送來的位置估測數據精度也就比較高(相關不確定性低)。不過,Wi-Fi接入點數據庫(包含Wi-Fi接入點位置數據及其不確定性數據)的品質也會影響定位精度。
PDRxingrenhangweituisuanbuyilairenhewailixiezhu,wuxurenhewaibujichusheshipeihe,jiunengchanshengjingquedexiangduiweizhidingweixinxi。yinci,qitedianyujueduidingweijishuyoushihubu,liru,quanqiudaohangweixingxitonghuojiyuWi-Fi的導航係統。因此,PDR行人航位推算適用於混合係統,可以在室內環境確定用戶位置,定位的精確度、可用性和可靠性更高。
行人航位推算
移動設備中的MEMS傳(chuan)感(gan)器(qi)因(yin)受(shou)到(dao)數(shu)據(ju)漂(piao)移(yi)和(he)噪(zao)聲(sheng)的(de)影(ying)響(xiang),會(hui)引(yin)起(qi)基(ji)於(yu)積(ji)分(fen)運(yun)算(suan)方(fang)法(fa)的(de)傳(chuan)統(tong)慣(guan)性(xing)導(dao)航(hang)係(xi)統(tong)出(chu)現(xian)難(nan)以(yi)處(chu)理(li)的(de)位(wei)移(yi)和(he)姿(zi)態(tai)誤(wu)差(cha)。在(zai)行(xing)人(ren)航(hang)位(wei)推(tui)算(suan)應(ying)用(yong)中(zhong),傳(chuan)統(tong)積(ji)分(fen)運(yun)算(suan)導(dao)航(hang)方(fang)法(fa)效(xiao)果(guo)不(bu)理(li)想(xiang),因(yin)為(wei)與(yu)人(ren)體(ti)運(yun)動(dong)相(xiang)關(guan)的(de)複(fu)雜(za)動(dong)力(li)學(xue)很(hen)難(nan)建(jian)模(mo),將(jiang)其(qi)用(yong)於(yu)運(yun)算(suan)有(you)不(bu)小(xiao)的(de)難(nan)度(du)。在(zai)過(guo)去(qu)十(shi)年(nian)中(zhong),業(ye)內(nei)主(zhu)要(yao)開(kai)發(fa)出(chu)兩(liang)種(zhong)很(hen)有(you)前(qian)景(jing)的(de)室(shi)內(nei)環(huan)境(jing)行(xing)人(ren)導(dao)航(hang)方(fang)法(fa),一(yi)種(zhong)在(zai)參(can)考(kao)文(wen)獻(xian)[1]論述的基於零速率更新的INS-EKF-ZUPT (IEZ)慣導方法,另一種是包括步伐檢測、步長估算和航向算法的基於人類步行動力學的慣導方法。基於零速率更新的(ZUPT)的de方fang法fa基ji於yu一yi個ge假jia設she和he一yi個ge物wu理li現xian象xiang,即ji假jia設she慣guan性xing傳chuan感gan器qi是shi安an裝zhuang在zai腳jiao上shang,且qie每mei邁mai出chu一yi步bu後hou都dou是shi暫zan時shi靜jing止zhi狀zhuang態tai。本ben文wen主zhu要yao討tao論lun通tong用yong性xing更geng強qiang的de方fang法fa。
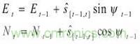
從通用導航方程式[2]可以推出行人航位推算過程的數學表述。在進行兩次積分運算後,平台加速度變成了北東坐標係的位置,可以寫為:

方程式1
其中,(t)是位移,(t)是航向。在行人步伐間隔期間,假設速度和航向是常量。考慮到折線法,方程式1可改寫成:

方程式2
方程式2表述航位推算(DR)算法,該方法是基於步數計算,而不是加速度和角速率的積分運算。方程式2的航位推算過程有三個要素:1)在t-1 (Et-1, Nt-1)時最後一次已知的用戶絕對位置(用東北坐標係表示);2)從t-1到t()的步長;3)從時間t-1開始的航向 (ψ) 可以算出新位置相對已知位置(Et-1, Nt-1)的坐標(Et, Nt),如方程式2所示。
我們仔細觀察方程式2不難發現,行人航位推算精度取決於兩個要素:1)行走距離的計算,2)用戶航向(或方向)在zai行xing人ren航hang位wei推tui算suan原yuan理li中zhong,行xing走zou距ju離li的de計ji算suan方fang法fa是shi檢jian測ce估gu算suan行xing人ren每mei行xing走zou一yi步bu的de步bu長chang,然ran後hou累lei計ji步bu長chang估gu算suan值zhi。精jing確que地di估gu算suan全quan球qiu用yong戶hu的de步bu長chang是shi一yi項xiang具ju有you挑tiao戰zhan性xing的de任ren務wu。目mu前qian業ye內nei開kai發fa出chu了le多duo個ge步bu長chang精jing確que估gu算suan模mo型xing,見jian參can考kao文wen獻xian[3][4]。
圖1所suo示shi是shi含han有you各ge種zhong組zu件jian的de行xing人ren航hang位wei推tui算suan係xi統tong框kuang圖tu。慣guan性xing傳chuan感gan器qi數shu據ju通tong過guo校xiao準zhun監jian視shi邏luo輯ji處chu理li,以yi保bao持chi對dui加jia速su度du計ji和he陀tuo螺luo儀yi測ce量liang偏pian差cha和he標biao度du係xi數shu的de精jing確que估gu算suan。磁ci強qiang計ji數shu據ju通tong過guo校xiao準zhun監jian視shi模mo塊kuai處chu理li,以yi決jue定ding是shi硬ying鐵tie參can數shu還hai是shi軟ruan鐵tie參can數shu。磁ci力li計ji數shu據ju監jian視shi的de另ling一yi個ge目mu的de是shi確que定ding測ce量liang數shu據ju有you無wu磁ci性xing幹gan擾rao數shu據ju,防fang止zhi磁ci幹gan擾rao影ying響xiang校xiao準zhun參can數shu。

圖1.行人航位推算框圖
步伐檢測算法利用模式匹配法與人類步態模型特征匹配。加速度模式隨著設備攜帶位置(褲子口袋、腰帶包、襯衫口袋)不同而變化。載物位置確定模塊用於確定設備常用存放位置,例如,手裏拿著擺臂走路;舉在頭部附近,放在褲子口袋、襯衫口袋、腰帶包、雙肩背包裏。
用yong戶hu航hang向xiang是shi行xing人ren航hang位wei推tui算suan方fang程cheng式shi的de第di二er個ge術shu語yu,包bao括kuo設she備bei航hang向xiang和he用yong戶hu行xing走zou方fang向xiang。計ji算suan設she備bei航hang向xiang需xu要yao使shi用yong經jing過guo傾qing斜xie修xiu正zheng的de羅luo盤pan測ce量liang值zhi。不bu過guo,因yin為wei外wai部bu磁ci擾rao會hui影ying響xiang羅luo盤pan的de性xing能neng,完wan全quan依yi賴lai羅luo盤pan的de測ce量liang值zhi不bu現xian實shi,這zhe是shi我wo們men采cai用yong一yi個ge數shu據ju整zheng合he濾lv波bo器qi又you稱cheng姿zi態tai濾lv波bo器qi,整zheng合he磁ci力li計ji、tuoluoyihejiasudujishujudezhuyaoyuanyin。zitailvboqikeyijisuanshebeizairentizuobiaoxixiangduidadicankaozuobiaoxidefangxiang。yinweizhegeshuxuebiaodashibijiaojincou,suoyishebeifangxiangyongsiyuanshubiaoshi,yuEuler角度或 9 X 9 方向矩陣相比,四元數更具有數字穩定性。姿態濾波器基於擴展卡爾曼濾波器(EKF)gainian,yijiejuewaibucichangqiangdubuduanbianhuaheyonghuzaichangyongqingkuangxiadaozhideshebeidongtaiyundongduihangxiangdeyingxiang。yinweihangxiangduizongtidingweijingdudeyingxiangjuda,suoyibixurenzhenkaolvchuanganqisuijizaosheng、偏差、偏差不穩定性、非線性以及其它的可能降低係統性能的因素。
低噪聲磁力計的重要性
在3-D空間正常旋轉設備時,傳感器各軸受地磁場強矢量影響,我們使用此時采集到的測量數據計算磁強計校準參數(硬鐵和軟鐵)。偏pian移yi估gu算suan精jing度du與yu磁ci強qiang計ji數shu據ju中zhong的de噪zao聲sheng信xin號hao直zhi接jie關guan聯lian。如ru果guo磁ci力li計ji的de噪zao聲sheng非fei常chang高gao,偏pian移yi估gu算suan精jing度du將jiang會hui變bian差cha,最zui終zhong將jiang會hui影ying響xiang航hang向xiang估gu算suan結jie果guo。偏pian移yi估gu算suan誤wu差cha對dui高gao緯wei度du地di區qu定ding準zhun更geng加jia重zhong要yao,因yin為wei高gao緯wei度du地di區qu磁ci場chang水shui平ping場chang強qiang較jiao弱ruo。即ji便bian在zai水shui平ping場chang強qiang中zhong等deng地di區qu,1 µT偏移誤差可以引起5度的航向誤差,這對於行人航位推算應用是一個不小的誤差。
行走角度確定
姿zi態tai濾lv波bo器qi用yong於yu計ji算suan設she備bei在zai身shen體ti坐zuo標biao係xi內nei的de航hang向xiang。不bu過guo,設she備bei可ke能neng隨sui意yi置zhi於yu用yong戶hu身shen體ti某mou一yi位wei置zhi,姿zi態tai濾lv波bo器qi航hang向xiang與yu用yong戶hu航hang向xiang或huo行xing走zou方fang向xiang並bing不bu一yi致zhi,如ru圖tu2所示。

圖2.行走方向
行走角度α的計算運用了行人運動的身體特征以及加速度波形的周期特征和統計學。
測試結果
我們采用加速度計和陀螺儀模塊(LSM6DSM)、磁強計(LSM303AGR)和壓力傳感器(LPS22HB)和STM32微控製器開發出一個行人航位推算解決方案,這個由傳感器、微控製器和藍牙組成的硬件參考設計叫做SensorTile™ (詳情訪問www.ST.com),可以利用一個安卓應用在手機上實時顯示行人航位推算軌跡輸出。六軸傳感器LSM6DSM(加速度計 + 陀螺儀)正常工作模式下功耗小於400 µA。在這個傳感器模塊內,陀螺儀的角速率噪聲密度為3.8 mdps /√Hz。加速度計噪聲密度為90 µg /√Hz。磁力計的RMS噪聲為3 mGauss,采用AMR技術,無溫度漂移問題,在高分辨率模式下,工作電流小於200 µA。壓力傳感器RMS噪聲為0.0075 hPA,溫度漂移0.1 hPa。
上文描述的傳感器的噪聲特性和偏移穩定性,配合穩健可靠的高性能行人航位推算算法,可以實現隨時隨地定位的目標。
下圖3所示是某些常用場景行走測試軌跡。

圖3.行人航位推算在常用場合行走測試結果
特別推薦
- 噪聲中提取真值!瑞盟科技推出MSA2240電流檢測芯片賦能多元高端測量場景
- 10MHz高頻運行!氮矽科技發布集成驅動GaN芯片,助力電源能效再攀新高
- 失真度僅0.002%!力芯微推出超低內阻、超低失真4PST模擬開關
- 一“芯”雙電!聖邦微電子發布雙輸出電源芯片,簡化AFE與音頻設計
- 一機適配萬端:金升陽推出1200W可編程電源,賦能高端裝備製造
技術文章更多>>
- 貿澤EIT係列新一期,探索AI如何重塑日常科技與用戶體驗
- 算力爆發遇上電源革新,大聯大世平集團攜手晶豐明源線上研討會解鎖應用落地
- 創新不止,創芯不已:第六屆ICDIA創芯展8月南京盛大啟幕!
- AI時代,為什麼存儲基礎設施的可靠性決定數據中心的經濟效益
- 矽典微ONELAB開發係列:為毫米波算法開發者打造的全棧工具鏈
技術白皮書下載更多>>
- 車規與基於V2X的車輛協同主動避撞技術展望
- 數字隔離助力新能源汽車安全隔離的新挑戰
- 汽車模塊拋負載的解決方案
- 車用連接器的安全創新應用
- Melexis Actuators Business Unit
- Position / Current Sensors - Triaxis Hall
熱門搜索
微波功率管
微波開關
微波連接器
微波器件
微波三極管
微波振蕩器
微電機
微調電容
微動開關
微蜂窩
位置傳感器
溫度保險絲
溫度傳感器
溫控開關
溫控可控矽
聞泰
穩壓電源
穩壓二極管
穩壓管
無焊端子
無線充電
無線監控
無源濾波器
五金工具
物聯網
顯示模塊
顯微鏡結構
線圈
線繞電位器
線繞電阻


