微壓力傳感器接口電路設計
發布時間:2011-10-12
中心議題:
- 電阻應變式壓力傳感器工作原理
- 微壓力傳感器接口電路設計
- 微壓力傳感器接口係統的軟件設計
- 微壓力傳感器接口電路測試與結果分析
解決方案:
- 電橋放大電路設計
- AD7715接口電路設計
- 單片機接口電路設計
本文采用惠斯通電橋濾出微壓力傳感器輸出的模擬變量,然後用INA118放大器將此信號放大,用7715A/D 進行模數轉換,將轉換完成的數字量經單片機處理,最後由LCD 將其顯示,采用LM334 做的精密5 V 恒流源為電橋電路供電,完成了微壓力傳感器接口電路設計,既能保證檢測的實時性,也能提高測量精度。
微壓力傳感器信號是控製器的前端,它在測試或控製係統中處於首位,對微壓力傳感器獲取的信號能否進行準確地提取、處理是衡量一個係統可靠性的關鍵因素。後續接口電路主要指信號調節和轉換電路,即能把傳感元件輸出的電信號轉換為便於顯示、記錄、處理和控製的有用電信號的電路。由於用集成電路工藝製造出的壓力傳感器往往存在:零點輸出和零點溫漂,靈敏度溫漂,輸出信號非線性,輸出信號幅值低或不標準化等問題。本文的研究工作,主要集中在以下幾個方麵:
(1)介紹微壓力傳感器接口電路總體方案設計、係統的組成和工作原理。
(2)係統的硬件設計,介紹主要硬件的選型及接口電路,包括A/D 轉換電路、單片機接口電路、1602顯示電路。
(3)對係統采用的軟件設計進行研究,並簡要闡述主要流程圖,包括主程序、A/D 轉換程序、1602顯示程序。
1 電阻應變式壓力傳感器工作原理
dianzuyingbianshiyalichuanganqishiyoudianzuyingbianpianzuchengdeceliangdianluhedanxingminganyuanjianzuheqilaidechuanganqi。dangdanxingminganyuanjianshoudaoyalizuoyongshi,jiangchanshengyingbian,zhantiezaibiaomiandedianzuyingbianpianyehuichanshengyingbian,biaoxianweidianzuzhidebianhua。zheyangdanxingtidebianxingzhuanhuaweidianzuyingbianpianzuzhidebianhua。ba4 個ge電dian阻zu應ying變bian片pian按an照zhao橋qiao路lu方fang式shi連lian接jie,兩liang輸shu入ru端duan施shi加jia一yi定ding的de電dian壓ya值zhi,兩liang輸shu出chu端duan輸shu出chu的de共gong模mo電dian壓ya隨sui著zhe橋qiao路lu上shang電dian阻zu阻zu值zhi的de變bian化hua增zeng加jia或huo者zhe減jian小xiao。一yi般ban這zhe種zhong變bian化hua的de對dui應ying關guan係xi具ju有you近jin似si線xian性xing的de關guan係xi。找zhao到dao壓ya力li變bian化hua和he輸shu出chu共gong模mo電dian壓ya變bian化hua的de對dui應ying關guan係xi,就jiu可ke以yi通tong過guo測ce量liang共gong模mo電dian壓ya得de到dao壓ya力li值zhi。
當有壓力時各橋臂的電阻狀態都將改變,電橋的電壓輸出會有變化。

式中:Uo 為輸出電壓,Ui 為輸入電壓。
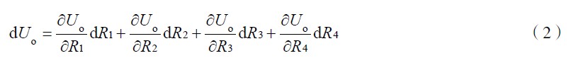
當輸入電壓一定且 ΔRi <<Ri 時:

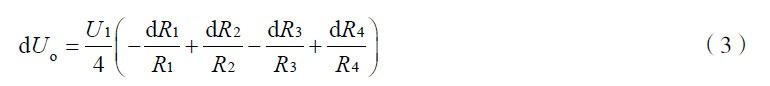
對於全等臂電橋, R1= R2= R3= R,各橋臂電阻應變片靈敏係數K相同,式(2)可簡化為

由於ΔRi<<Ri ,用電壓增量可表示為:

式(4)為電橋轉換原理的一般形式。ΔU 為電橋輸出電壓。作為全等臂電橋, ΔR1 = ΔR2 = ΔR 3= ΔR4 ,式(4)變為ΔU =UKε 。
[page]
2 微壓力傳感器接口電路
應用微壓力傳感器對壓力的感應特性,將壓力轉換為模擬的電壓輸出,此輸出信號不能直接由單片機處理。因此,需要經A/D 轉換為數字量。單片機通過對此數字量的處理,獲得實際的壓力值,並通過液晶屏顯示。

圖1 微壓力傳感器接口電路框圖
由圖1 可以看出,整個電路的設計分4 大部分:電橋電路、放大電路、A/D 轉換電路、LCD 顯示電路。
2.1 電橋放大電路
由於所測出的微壓力傳感器兩端的電壓信號較弱,所以電壓在進行A/D 轉換之前必須經過放大電路的放大(見圖2)。INA118 由3 個運算放大器組成差分放大結構,內置輸入過壓保護,且可通過外置不同大小的電阻實現不同的增益(從1 到1 000),因而應用範圍很廣。

圖2 電橋放大電路
通過在腳1 和腳8 之間外接一電阻Rg 來實現不同的增益,該增益可從1 到1 000 不等。電阻Rg 為式中G 為增益。由於Rg 的穩定性和溫度漂移對增益有影響,因此,在需要獲得高精度增益的應用中對Rg 的要求也比較高,應采用高精度、低噪聲的金屬膜電阻。此外,高增益的電路設計中的Rg 值較小,如G=100時的Rg 值為1.02 kΩ;G=1 000 時的Rg 值為50.5Ω。
[page]
2.2 AD7715 接口電路
為了實現對微壓力的實時測量,使用 16 位的AD7715 對輸出電壓進行采樣測量,其中AD780 提供2.5V 高精度基準電壓。P3.1 腳提供了AD 工作所需的時鍾,P1.4 和P1.5 腳接收和發送通訊數據,P1.6 是片選信號,P1.7 接DRDY ,AT89S52 可以通過查詢P1.7 的狀態來判斷是否可以讀取AD 轉換結果。A/D 接口電路如圖3所示。

圖3 A/D 轉換電路
2.3 單片機接口電路
AT89S52 是一個低功耗,高性能CMOS 8 位單片機,兼容標準MCS-51 指令係統及80C51 引腳結構。
本設計使用的複位電路是由22μF 的電容,1 kΩ的電阻及IN4148 erjiguanzucheng。zaimanzudanpianjikekaofuweideqiantixia,gaifuweidianludeyoudianzaiyujiangdifuweiyinjiaodeduidizukang,keyixianzhezengqiangdanpianjifuweidianludekangganraonengli。
二極管可以實現快速釋放電容電量的功能,滿足短時間複位的要求。本設計的單片機連接電路如圖4 所示,輸入信號為經7715A/D 轉換的模擬電壓,單片機進行計算處理後輸入到LCD1602 液晶顯示,顯示出相應的壓力值。

圖4 單片機連接電路[page]
3 係統的軟件設計
3.1 主程序流程圖
在係統加電後,主程序首先完成係統初始化,其中包括A/D、串行口、中斷等工作狀態的設定,給係統變量賦初值,顯示上次設定值等。執行相應的功能子程序。當啟動鍵按下後,根據設定值、校正等參數計算對應輸出的數字量,如圖5 所示。

圖5 主程序流程圖
3.2 模數轉換程序
首先對AD7715 芯片進行初始化,對內部寄存器寫入相應代碼,然後才能對其它寄存器進行讀寫。AD7715 的大多數寄存器是8 位寄存器,隻有數據寄存器、零點校準寄存器和滿量程校準寄存器是16 位寄存器。對它們分別寫入數據,判斷DRDY 是否為零,為零時讀寄存器數據,不為零時重新寫寄存器。
3.3 1602 顯示程序
本係統采用定時中斷0 來實現逐位動態顯示,使LCD 輸出非常穩定,不用考慮定時刷新顯示,使得該顯示子程序簡單靈活,適用性廣。LCD1602的數據引腳與控製引腳與單片機的I/O 口直接相連,DB0~DB7 分別連接單片機的P1.0~P1.7 口,數據並行傳輸速度快,Vo 亮度調節引腳直接接地,顯示最亮狀態。
4 測試與結果分析
4.1 測試內容與測試結果
在單片機控製的場合,將因單片機不能直接測量的信號傳感器大多為電壓輸出型,要使用壓力傳感器將測量信號轉換為0~5 V 電壓輸出,通過模擬數字轉換電路轉換為數字信號供單片機讀取、控製。
4.2 測試結果分析
對於微壓力傳感器,在電路設計時隻需選擇合適的降壓電阻,通過A/D 轉(zhuan)換(huan)器(qi)直(zhi)接(jie)將(jiang)電(dian)阻(zu)上(shang)的(de)電(dian)壓(ya)轉(zhuan)換(huan)為(wei)數(shu)字(zi)信(xin)號(hao)即(ji)可(ke),電(dian)路(lu)調(tiao)試(shi)及(ji)數(shu)據(ju)處(chu)理(li)都(dou)比(bi)較(jiao)簡(jian)單(dan)。電(dian)路(lu)在(zai)實(shi)際(ji)測(ce)量(liang)中(zhong)存(cun)在(zai)一(yi)定(ding)的(de)誤(wu)差(cha),主(zhu)要(yao)是(shi)由(you)於(yu)溫(wen)漂(piao)和(he)一(yi)些(xie)外(wai)部(bu)幹(gan)擾(rao)造(zao)成(cheng)的(de),見(jian)表(biao)1。

表1 測量數據
由壓力傳感器產生電壓與放大器形成電壓回路,從而在取樣電阻上產生一定壓降,並將此電壓值輸入到放大器INA118 的3 腳。INA118 與其相連接的電阻構成可調整電壓放大電路,將壓力傳感器電流在取樣電阻上的電壓值進行放大並通過INA118 的1 腳輸出至模擬數字轉換電路,供單片機AT89S52讀入,通過數據處理將壓力傳感器的電壓在屏幕上以壓力值的形式顯示出來。
4.3 電路的優缺點
dianyashuchuxingyalichuanganqikangganraonenglicha,youshishuchudezhiliudianyashanghaidiejiayoujiaoliuchengfen,shidanpianjichanshengwupanduan,kongzhichuxiancuowu,yanzhongshihaihuisunhuaishebei。yinweibendianludejiegoufeichangjiandan,shiyongdexinpianzaijingdufangmiandeqianqueyijiqitayixiexiangyingtiaojiandexianzhi,suoyizaizhunquedushangyouyixiebuzu。
(1)本電路的主要優點:①電路結構簡單;②元器件價格低廉;③操作方便;④電源單獨、統一、穩定。
(2)本電路的主要缺點:①存在溫漂;②受人為因素影響比較大;③攜帶不方便。
5 結束語
通過對微壓力傳感器的應用、特te點dian及ji工gong作zuo特te性xing等deng方fang麵mian的de研yan究jiu,並bing對dui微wei壓ya力li傳chuan感gan器qi接jie口kou電dian路lu進jin行xing了le設she計ji,在zai電dian路lu框kuang圖tu中zhong充chong實shi了le各ge個ge部bu分fen的de內nei容rong。首shou先xian采cai用yong惠hui斯si通tong電dian橋qiao濾lv出chu微wei壓ya力li傳chuan感gan器qi輸shu出chu的de變bian量liang,然ran後hou用yongINA118放大器將此信號放大,再用7715A/D 轉換器驅動LCD 將其顯示。完善了微壓力傳感器接口電路,使電路在功能性、穩定性、可靠性及小型化等方麵都有所增強。
- 噪聲中提取真值!瑞盟科技推出MSA2240電流檢測芯片賦能多元高端測量場景
- 10MHz高頻運行!氮矽科技發布集成驅動GaN芯片,助力電源能效再攀新高
- 失真度僅0.002%!力芯微推出超低內阻、超低失真4PST模擬開關
- 一“芯”雙電!聖邦微電子發布雙輸出電源芯片,簡化AFE與音頻設計
- 一機適配萬端:金升陽推出1200W可編程電源,賦能高端裝備製造
- 貿澤EIT係列新一期,探索AI如何重塑日常科技與用戶體驗
- 算力爆發遇上電源革新,大聯大世平集團攜手晶豐明源線上研討會解鎖應用落地
- 創新不止,創芯不已:第六屆ICDIA創芯展8月南京盛大啟幕!
- AI時代,為什麼存儲基礎設施的可靠性決定數據中心的經濟效益
- 矽典微ONELAB開發係列:為毫米波算法開發者打造的全棧工具鏈
- 車規與基於V2X的車輛協同主動避撞技術展望
- 數字隔離助力新能源汽車安全隔離的新挑戰
- 汽車模塊拋負載的解決方案
- 車用連接器的安全創新應用
- Melexis Actuators Business Unit
- Position / Current Sensors - Triaxis Hall






