單層膜ITO實現多點觸摸的設計方案
發布時間:2011-08-22
中心議題:
- 電容式觸摸屏的基本結構
- 單層ITO膜多點式觸摸設計
解決方案:
- 單層ITO膜多點式觸摸設計及結果驗證
1 引言
目前電容式觸摸屏已經廣地應用於彩色和黑白TFT—LCD顯示屏,具有可靠性高、耐用性好等優點,非常適合於通訊、消費類電子、儀器儀表等應用領域。但目前電容式觸摸屏大多使用多層ITO結構,製造工藝複雜。因此,單層ITO電容式觸摸屏,特別是能夠實現多點觸摸的電容式觸摸屏,成為電容式觸摸屏的一個研究方向。
本文提出了一種單層ITO結構實現電容式觸摸屏的設計方法,能夠實現單點/多點觸摸功能。
2 電容式觸摸屏的基本結構
電容式觸摸屏的基本結構如圖1所示。Lens材質是玻璃或者PMMA/PC等材料,具有較高的表麵硬度以及一定的機械強度,用於提高觸摸屏的可靠性;Sensor一般是單層或多層ITO膜層結構,基板為玻璃或PET材料;中間是貼合層,用於將Lens和Sensor貼合,一般為0CA光學膠膜或者UV膠進行貼合。

圖1電容式觸摸屏結構
電容式觸摸屏中Sensor的電極設計尤為關鍵,目前流行的主要有菱形圖案、係狀圖案以及網狀圖案等設計,如圖2所示。其中網狀結構必須為雙層IT0膜;條狀、菱形圖案可以製造成單層ITo膜,但需要搭橋方式連接X方向或y方向的電極。



圖2各種電極圖形
多層方式會降低透過率且工藝複雜。搭橋方式,因絕緣層膜厚與IT0或者金屬膜厚差別較大,容易產生斷裂問題。因此本文提出一種新型設計,用來改善以上情況。
3 單層ITO膜多點式觸摸設計
3.1 原理
電容式觸摸屏的工作原理是設計出一組特殊的電極走線,將“邊緣場”引yin到dao手shou指zhi能neng夠gou得de到dao的de有you效xiao感gan應ying區qu域yu,把ba手shou指zhi放fang在zai邊bian緣yuan電dian場chang的de附fu近jin將jiang增zeng加jia電dian容rong式shi係xi統tong的de導dao電dian表biao麵mian積ji。由you手shou指zhi所suo產chan生sheng的de額e外wai電dian荷he積ji聚ju電dian容rong被bei稱cheng為wei手shou指zhi電dian容rongCf。在本文中,無手指觸摸時的傳感器電容用Cp表示,它代表寄生電容。這兩個電容為觸摸屏的關鍵設計參數。
[page]
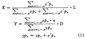
根據平行板電容公式,電容量與麵積成正比,因此可以設計一組三角形電極,實現二維方向的感應,如圖3所示。

圖3單層電極圖形
其中Cn代表第九組電極的Cp。n代表電極的組數,L是電極寬,D是一組電極的高。其X坐標的計算是通過左側通道的感應值加和與右側通道感應值加和的比例來計算的。y是通過同一行的左右兩通道感應值的加和與上下行的感應值加和的比例來計算的。具體計算方法由式(1)確定:

此種單層ITO設計可以實現二維方向的坐標識別。但是此種設計隻能實現單點式設計。對於兩個手指同時觸摸的情況下,在X方向則無法分辨。因此本文又提出一種改進的圖形設計,使其能夠識別兩個手指的觸摸感應。
3.2 多點觸摸設計
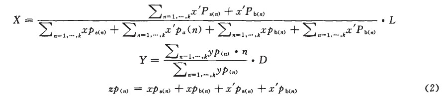
多點觸摸的設計關鍵在於實現單點觸摸功能的同時,也能檢測兩個手指觸摸的位置。如圖4所示,改進後的電極設計增加多組菱形設計,使用導線將其引出。

圖4多點觸摸電極圖形
其中Ca(n)'''',代表第n組電極a的Cp,其餘電極記法相同,Ca(n)、Ca(n)''''、Cb(n)、Cb(n)''''為一組感應電極。
單點工作方式與上述坐標計算方法相同,X坐標的計算是通過左側兩通道的感應值加和與右側兩通道感應值加和的比例來計算的。y是通過同一行的左右4通道感應值的加和與上下行的感應值加和的比例來計算的。具體計算方法由式(2)確定:
[page]
多點工作方式,需要引入Z坐標,Z代表手指與觸摸屏感應電極接觸麵積的大小,也能代表手指輸人壓力的大小。具體計算方法由式(3)確定:

設Zth為雙手指操作時Z的閾值。Z值超過Zth則為雙手指操作。
Ca(n)、Cb(n)、為第一組感應電極,Cb(n)、Cb(n)''''為第二組感應電極,Ca(n)''''、Cb(n)''''為第三組感應電極,分別感應X1、X2、X3範圍內坐標點的位置。具體坐標計算方法與上述類似。設計中需要注意X1、X2、X3每組電極的寬度應與手指接觸麵積的寬度相當,如寬度不足則需要增加菱形電極,否則手指接觸在相同區域內無法識別兩個感應點。
3.3 結果驗證
實際電極設計中,每對感應單元設計為多組電極,並根據Lens的厚度設計電極麵積以及間隙大小。間隙過大會導致線縫可見,因此使用假電極進行填充使線縫在30μm以內則可以避免上述問題。經過實際測試,在實現單點觸控基本功能的同時,能夠實現兩點觸控,滿足設計要求。操作效果如圖5所示。

圖5操作效果照片
4 結論
通過詳細分析電容式觸摸屏的結構以及電極設計,為電容式觸摸屏提供了一種單層膜ITO實(shi)現(xian)多(duo)點(dian)觸(chu)摸(mo)的(de)設(she)計(ji)方(fang)案(an)。實(shi)際(ji)驗(yan)證(zheng)結(jie)果(guo)表(biao)明(ming),在(zai)單(dan)手(shou)指(zhi)觸(chu)摸(mo)和(he)兩(liang)根(gen)手(shou)指(zhi)觸(chu)摸(mo)的(de)情(qing)況(kuang)下(xia),所(suo)設(she)計(ji)的(de)觸(chu)摸(mo)屏(ping)能(neng)夠(gou)準(zhun)確(que)報(bao)出(chu)坐(zuo)標(biao)點(dian)。所(suo)提(ti)出(chu)的(de)方(fang)案(an)為(wei)低(di)成(cheng)本(ben)電(dian)容(rong)式(shi)觸(chu)摸(mo)屏(ping)提(ti)供(gong)了(le)一(yi)種(zhong)簡(jian)單(dan)的(de)設(she)計(ji)思(si)路(lu)及(ji)方(fang)法(fa)。
- 噪聲中提取真值!瑞盟科技推出MSA2240電流檢測芯片賦能多元高端測量場景
- 10MHz高頻運行!氮矽科技發布集成驅動GaN芯片,助力電源能效再攀新高
- 失真度僅0.002%!力芯微推出超低內阻、超低失真4PST模擬開關
- 一“芯”雙電!聖邦微電子發布雙輸出電源芯片,簡化AFE與音頻設計
- 一機適配萬端:金升陽推出1200W可編程電源,賦能高端裝備製造
- 2026藍牙亞洲大會暨展覽在深啟幕
- H橋降壓-升壓電路中的交替控製與帶寬優化
- Tektronix 助力二維材料器件與芯片研究與創新
- 800V AI算力時代,GaN從“備選”變“剛需”?
- 大聯大世平集團首度亮相北京國際汽車展 攜手全球芯片夥伴打造智能車整合應用新典範
- 車規與基於V2X的車輛協同主動避撞技術展望
- 數字隔離助力新能源汽車安全隔離的新挑戰
- 汽車模塊拋負載的解決方案
- 車用連接器的安全創新應用
- Melexis Actuators Business Unit
- Position / Current Sensors - Triaxis Hall


