光纖放大器在無線光通信的應用
發布時間:2009-11-06 來源:現代電子技術
中心議題:
- EDFA的原理及結構
- EDFA的級聯應用
- EDFA級聯應用的增益
解決方案:
- 增益分為兩級,需正確分配兩級問的增益
- 每一級各自一定的泵浦功率下,找到摻鉺光纖的最佳長度
wuxianguangtongxinshiyijiguangzuoweixinxizaiti,shiyizhongbuxuyaorenheyouxianxindaozuoweichuanshumeijiedetongxinfangshi。yuweibotongxinxiangbi,wuxianguangtongxinsuoshiyongdejiguangpinlvgao,fangxiangxingqiang(保密性好),可用的頻譜寬,無需申請頻率使用許可;與光纖通信相比,無線光通信造價低,施工簡便、迅速。它結合了光纖通信和微波通信的優勢,已成為一種新興的寬帶無線接人方式,受到了人們的廣泛關注。
但是,惡劣的天氣情況,會對無線光通信係統的傳播信號產生衰耗作用。空氣中的散射粒子,會使光線在空問、shijianhejiaodushangchanshengbutongchengdudepiancha。daqizhongdelizihaikenengxishoujiguangdenengliang,shixinhaodegonglvshuaijian,zaiwuxianguangtongxinxitongzhongguangxiantongxinxitongdisunhaodechuanbolujingyibufucunzai。daqihuanjingduobiandekeguanxingwufagaibian,yaohuodegenghaogengkuaidechuanshuxiaoguo,duizaidaqixindaochuanshudeguangxinhaojiutichulegenggaodeyaoqiu,yibandi,caiyongdagonglvdeguangxinhaokeyidedaogenghaodechuanshuxiaoguo。suizheguangxianfangdaqi(EDFA)的迅速發展,穩定可靠的大功率光源將在各種應用中滿足無線光通信的要求。
EDFA的原理及結構
摻鉺光纖放大器(EDFA)具有增益高、噪聲低、頻帶寬、輸出功率高、連(lian)接(jie)損(sun)耗(hao)低(di)和(he)偏(pian)振(zhen)不(bu)敏(min)感(gan)等(deng)優(you)點(dian),直(zhi)接(jie)對(dui)光(guang)信(xin)號(hao)進(jin)行(xing)放(fang)大(da),無(wu)需(xu)轉(zhuan)換(huan)成(cheng)電(dian)信(xin)號(hao),能(neng)夠(gou)保(bao)證(zheng)光(guang)信(xin)號(hao)在(zai)最(zui)小(xiao)失(shi)真(zhen)情(qing)況(kuang)下(xia)得(de)到(dao)穩(wen)定(ding)的(de)功(gong)率(lv)放(fang)大(da)。
1.1EDFA的原理
EDFA的泵浦過程需要使用三能級係統,如圖1所示。

在摻鉺光纖中注入足夠強的泵浦光,就可以將大部分處於基態的Er3+離子抽運到激發態,處於激發態的Er3+離子又迅速無輻射地轉移到亞穩態。由於Er3+離子在亞穩態能級上壽命較長,因此很容易在亞穩態與基態之間形成粒子數反轉。當信號光子通過摻鉺光纖時,與處於亞穩態的Er3+離子相互作用發生受激輻射效應,產生大量與自身完全相同的光子,這時通過摻鉺光纖傳輸的信號光子迅速增多,產生信號放大作用。Er3+離子處於亞穩態時,除了發生受激輻射和受激吸收以外,還要產生自發輻射(ASE),它造成EDFA的噪聲。
1.2EDFA的結構
典型的EDFA結構主要由摻鉺光纖(EDF)、泵浦光源、耦合器、隔離器等組成。
摻鉺光纖是EDFA的de核he心xin部bu件jian。它ta以yi石shi英ying光guang纖xian作zuo為wei基ji質zhi,在zai纖xian芯xin中zhong摻chan人ren固gu體ti激ji光guang工gong作zuo物wu質zhi鉺er離li子zi,在zai幾ji米mi至zhi幾ji十shi米mi的de摻chan鉺er光guang纖xian內nei,光guang與yu物wu質zhi相xiang互hu作zuo用yong而er被bei放fang大da、增強。光隔離器的作用是抑製光反射,以確保放大器工作穩定,它必須是插入損耗低,與偏振無關,隔離度優於40dB。
圖2為單向泵浦方式結構,此外還有反向泵浦,雙向泵浦方式結構。

1.3EDFA的特性及性能指標
增益特性表示了放大器的放大能力,其定義為輸出功率與輸入功率之比:

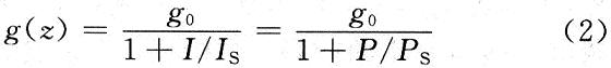
式中:Pout,Pin分別表示放大器輸出端與輸入端的連續信號功率。增益係數是指從泵浦光源輸入1mW泵浦光功率通過光纖放大器所獲得的增益,其單位為dB/mW:

式中:g0是由泵浦強度定的小信號增益係數,由於增益飽和現象,隨著信號功率的增加,增益係數下降;Is,Ps分別為飽和光強和飽和光功率,是表明增益物質特性的量,與摻雜係數、熒光時間和躍遷截麵有關。
增益和增益係數的區別在於:增益主要是針對輸入信號而言的,而增益係數主要是針對輸入泵浦光而言的。另外,增益還與泵浦條件(包括泵浦功率和泵浦波長)有關,目前采用的主要泵浦波長是980nm和1480nm。由於各處的增益係數是不同的,而增益須在整個光纖上積分得到,故此特性可用以通過選擇光纖長度得到較為平坦的增益譜。
1.4EDFA的帶寬
增益頻譜帶寬指信號光能獲得一定增益放大的波長區域。實際上的EDFA的增益頻率變化關係比理論的複雜得多,它還與基質光纖及其摻雜有關。在EDFA的增益譜寬已達到上百納米.而且增益譜較平坦。ED-FA的增益頻譜範圍在1525~1565nm之間。
EDFA的級聯應用
2.1EDFA的級聯結構
EDFA對光信號功率的放大,特別在無線光通信大功率(瓦級)應用中,常常采用級聯的方式,比如兩級或者三級放大。之所以采用級聯的方式,是因為在EDFA的摻鉺光纖(EDF)中插入一個光隔離器,構成帶光隔離器的兩段級聯EDFA,由於光隔離器有效地抑製了第二段:EDF的反向自發輻射(ASE),使其不能進入第一段EDF,減少了泵浦功率在反向ASE上的消耗,使泵浦光子更有效地轉換成信號光能量,從而可以明顯改善EDFA的增益、噪聲係數和輸出功率等特性。本文采用麗級級聯放大,將1~2mW的1550nm光信號,經EDFA放大到1W左右。級聯結構如圖3所示。

光信號由LD激光器產生,是已調製的信號,第一級放大采用單包層摻鉺光纖放大器,980nm單模半導體激光器作為泵浦源,將光功率放大到50mWfujin。diyijicaiyongdanmobandaotijiguangqibengpu,xianjiangguangxinhaowendingkekaodefangdadaoyidinggonglv,baozhenglezhenggeguangxinhaodewanzheng,youweixiayijiguangfangdatigonglejiaogaodeguanggonglvjichu。dierjicaiyongshuangbaocengguangxianfangdaqi,duomobandaotijiguangqibengpuyuanjiangguanggonglvfangdadao1W左右。雙包層光纖放大器纖芯比單包層纖芯大,泵浦功率可以有效地耦台到纖芯中,使第二級光信號的輸出功率可達到瓦級。
[page]
EDFA級聯應用的增益
2.2.1增益計算
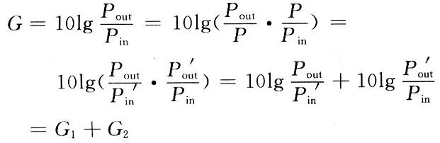
對EDFA級聯的整體光功率增益:

其中:Pout表示EDFA兩級放大後的輸出光功率,Pin表示需要放大的輸入光功率。
在本文中,光放大采用了兩級級聯放大,第一級增益為G1:

其中第一級的輸出為第二級的輸入,P''''''''''''''''out=P''''''''''''''''in=P,所以:

即,整體增益等於兩級增益之和,本文的整體光功率增益為:

第一級增益為17dB,第二級增益為13dB,1W的光功率經過準直聚焦,再有光學鏡頭發射到大氣信道,大大提高了光信號的有效傳輸距離。
影響增益的因素
EDFA的de增zeng益yi與yu諸zhu多duo因yin素su有you關guan,如ru摻chan鉺er光guang纖xian的de長chang度du,隨sui著zhe摻chan鉺er光guang纖xian長chang度du的de增zeng加jia,增zeng益yi經jing曆li了le從cong增zeng加jia到dao減jian少shao的de過guo程cheng,這zhe是shi因yin為wei隨sui著zhe光guang纖xian長chang度du的de增zeng加jia,光guang纖xian中zhong的de泵beng浦pu功gong率lv將jiang下xia降jiang,使shi得de粒li子zi反fan轉zhuan數shu降jiang低di,最zui終zhong在zai低di能neng級ji上shang的de鉺er離li子zi數shu多duo於yu高gao能neng級ji上shang的de鉺er離li子zi數shu,粒li子zi數shu恢hui複fu到dao正zheng常chang的de數shu值zhi。
youyuchanerguangxianbenshendesunhao,zaochengxinhaoguangzhongbeixishoudiaodeguangziduoyushoujifushechanshengdeguangzi,yinqizengyixiajiang。youshangshutaolunkezhi,duiyumougequedingderushebengpugonglv,cunzaizheyigechanerguangxiandezuijiachangdu,shidezengyizuida。zengyiyuchanerguangxianchangdudeguanxirutu4所示。

EDFA的增益還跟輸入光的程度、泵浦光功率及光纖中鉺離子Er3+的(de)濃(nong)度(du)都(dou)有(you)關(guan)係(xi),如(ru)小(xiao)信(xin)號(hao)輸(shu)入(ru)時(shi)的(de)增(zeng)益(yi)係(xi)數(shu)大(da)於(yu)大(da)信(xin)號(hao)輸(shu)入(ru)時(shi)的(de)增(zeng)益(yi)係(xi)數(shu)。當(dang)輸(shu)入(ru)光(guang)弱(ruo)時(shi),高(gao)能(neng)位(wei)電(dian)子(zi)的(de)消(xiao)耗(hao)減(jian)少(shao)並(bing)可(ke)從(cong)泵(beng)激(ji)得(de)到(dao)充(chong)分(fen)的(de)供(gong)應(ying),因(yin)而(er),受(shou)激(ji)輻(fu)射(she)就(jiu)能(neng)維(wei)持(chi)達(da)到(dao)相(xiang)當(dang)的(de)程(cheng)度(du)。當(dang)輸(shu)入(ru)光(guang)變(bian)強(qiang)時(shi),由(you)於(yu)高(gao)能(neng)位(wei)的(de)電(dian)子(zi)供(gong)應(ying)不(bu)充(chong)分(fen),受(shou)激(ji)輻(fu)射(she)光(guang)的(de)增(zeng)加(jia)變(bian)少(shao),於(yu)是(shi)就(jiu)出(chu)現(xian)飽(bao)和(he)。泵(beng)浦(pu)光(guang)功(gong)率(lv)越(yue)大(da),摻(chan)鉺(er)光(guang)纖(xian)越(yue)長(chang),3dB飽和輸出功率也就越大。其次與當Er3+的濃度超過一定值時,增益反而會降低,因此要控製好摻鉺光纖的鉺離子濃度。
采用EDFAhou,tigaolezhuruguangxiandegonglv,dandangdadaoyidingshuzhishi,jiangchanshengguangxianfeixianxingxiaoyingheguangxielouxiaoying,zheyingxianglexitongdechuanshujulihechuanshuzhiliang。lingwaisesanwentibianchenglexianzhixitongdetuchuwenti,keyixuanyongG653光纖(色散位移光纖DSF)或非零色散光纖(NZDF)來解決這一問題。
EDFA級聯的改進
之所以采用EDFA級聯的方式,一是插入兩級間的光隔離器有效地抑製了第二段EDF的反向自發輻射(ASE),使其不能進入第一段EDF,減少了泵浦功率在反向ASE上的消耗,使泵浦光子更有效地轉換成信號光能量;ershifenweiliangjihou,gezidezengyikeyirenyifenpei,keyigenjubutongdezengyiyaoqiuheyingyonghuanjinggaibianxiangyingdezengyi。danshi,yaozaibaozhengxinhaowushizhendeqingkuangxiadedaozuijiadeguanggonglvzengyi,haixuyaojiejueyixiewenti:
(1)由於增益分為兩級,如何分配兩級問的增益才能在現有的EDF、泵浦源功率等條件下使得光放大的實現更容易,這與EDF的放大能力,泵浦遠功率大小、穩定性,泵浦光波長及其模式等均有密切相關。
(2)在每一級各自一定的泵浦功率下,找到摻鉺光纖的最佳長度。當EDF過短時,由於對泵浦吸收的不充分而導致增益降低;而當EDF過長時,由於泵浦光在EDF內被鉺離子吸收,泵浦功率逐漸下降,當功率降至泵浦閾值以下時,就不能形成粒子數反轉,此時,這部分EDF不僅對信號光無放大作用,反而吸收了已放大的部分信號,造成增益的下降,同時也會引起噪聲係數的增大。
(3)如(ru)果(guo)需(xu)要(yao)更(geng)高(gao)的(de)光(guang)功(gong)率(lv)輸(shu)出(chu),幾(ji)十(shi)瓦(wa)甚(shen)至(zhi)上(shang)百(bai)瓦(wa),可(ke)考(kao)慮(lv)更(geng)高(gao)級(ji)聯(lian)的(de)方(fang)法(fa),因(yin)為(wei)隨(sui)著(zhe)增(zeng)益(yi)的(de)增(zeng)大(da),泵(beng)浦(pu)源(yuan)由(you)於(yu)轉(zhuan)換(huan)效(xiao)率(lv)的(de)問(wen)題(ti),功(gong)率(lv)需(xu)求(qiu)會(hui)很(hen)高(gao),所(suo)需(xu)的(de)單(dan)級(ji)EDFchangduyehuidadazengchang,zheyangdegongzuotiaojianwangwangbuyidadao,qiewendingxingbuqiang,caiyonggenggaojiliankeyijiangzengyihuafendaoduoji,yiyushixianhekongzhi,guangmokuaidezhengtizengyitexingyeyoujiaodatigao。
本文提出了采用EDFA級聯的方法,實現了光信號30dB的(de)增(zeng)益(yi),滿(man)足(zu)無(wu)線(xian)光(guang)通(tong)信(xin)光(guang)功(gong)率(lv)傳(chuan)播(bo)的(de)要(yao)求(qiu),使(shi)得(de)光(guang)信(xin)號(hao)能(neng)在(zai)大(da)氣(qi)信(xin)道(dao)進(jin)行(xing)遠(yuan)距(ju)離(li),高(gao)穩(wen)定(ding)性(xing)傳(chuan)輸(shu)。同(tong)時(shi)在(zai)現(xian)有(you)的(de)基(ji)礎(chu)上(shang),提(ti)出(chu)了(le)需(xu)改(gai)進(jin)的(de)問(wen)題(ti),為(wei)今(jin)後(hou)研(yan)究(jiu)的(de)進(jin)一(yi)步(bu)開(kai)展(zhan)指(zhi)出(chu)了(le)方(fang)向(xiang)。
- 噪聲中提取真值!瑞盟科技推出MSA2240電流檢測芯片賦能多元高端測量場景
- 10MHz高頻運行!氮矽科技發布集成驅動GaN芯片,助力電源能效再攀新高
- 失真度僅0.002%!力芯微推出超低內阻、超低失真4PST模擬開關
- 一“芯”雙電!聖邦微電子發布雙輸出電源芯片,簡化AFE與音頻設計
- 一機適配萬端:金升陽推出1200W可編程電源,賦能高端裝備製造
- 邊緣AI的發展為更智能、更可持續的技術鋪平道路
- 每台智能體PC,都是AI時代的新入口
- IAR作為Qt Group獨立BU攜兩項重磅汽車電子應用開發方案首秀北京車展
- 構建具有網絡彈性的嵌入式係統:來自行業領袖的洞見
- 數字化的線性穩壓器
- 車規與基於V2X的車輛協同主動避撞技術展望
- 數字隔離助力新能源汽車安全隔離的新挑戰
- 汽車模塊拋負載的解決方案
- 車用連接器的安全創新應用
- Melexis Actuators Business Unit
- Position / Current Sensors - Triaxis Hall




