基於多傳感器數據融合的漏磁信號采集與處理
發布時間:2008-09-29 來源:合肥工業大學 計算機與信息學院,安徽 合肥230009
中心議題:
- 多傳感器數據融合技術能對缺陷信號作智能化處理
- 電磁感應式傳感器和霍爾傳感器的工作原理
- 采用小波去噪的方法,並利用RBF神經網絡的數據融合技術對缺陷信號進行檢測處理並得出仿真結果
解決方案:
- 采用漏磁傳感器陣列,提高檢測靈敏度,減小鋼管表麵接觸噪聲和溫度影響
- 對信號預處理,保證測試準確性
- 選用RBF神經網絡作為融合中心的特征層融合器
隨著電子技術、神shen經jing網wang絡luo和he人ren工gong智zhi能neng處chu理li技ji術shu的de發fa展zhan,國guo內nei外wai都dou在zai開kai展zhan新xin的de漏lou磁ci信xin號hao處chu理li方fang法fa的de研yan究jiu。由you於yu傳chuan統tong方fang法fa受shou人ren為wei因yin素su影ying響xiang嚴yan重zhong,容rong易yi產chan生sheng漏lou檢jian誤wu檢jian,大da大da影ying響xiang了le檢jian測ce準zhun確que度du,因yin此ci特te別bie需xu要yao一yi種zhong對dui缺que陷xian信xin號hao的de智zhi能neng化hua處chu理li方fang法fa。多duo傳chuan感gan器qi數shu據ju融rong合he技ji術shu是shi近jin年nian來lai形xing成cheng和he發fa展zhan起qi來lai的de一yi種zhong自zi動dong化hua信xin息xi綜zong合he處chu理li技ji術shu,它ta充chong分fen利li用yong多duo源yuan信xin息xi的de互hu補bu性xing和he計ji算suan機ji的de高gao速su運yun算suan能neng力li來lai提ti高gao結jie果guo信xin息xi的de質zhi量liang。由you於yu多duo傳chuan感gan器qi數shu據ju融rong合he可ke以yi對dui來lai自zi多duo個ge傳chuan感gan器qi的de數shu據ju進jin行xing多duo級ji別bie、多方麵、多層次的處理,從而產生新的有意義的信息,而這種信息是任何單一傳感器所無法獲得的, 並且它還能有效地消除由於單一類型傳感器失效而引起的誤差,因而多傳感器數據融合在信號處理領域得到了廣泛的關注[1]。本文利用小波閾值降噪算法來突出信號缺陷特征,並將處理後的信號送入RBF神經網絡數據融合中心,利用兩類傳感器之間的信息冗餘來提高檢測精度,消除測量中的不確定性,獲得更準確可靠的測量結果。
數據融合傳感器陣列
多傳感器數據融合在運用過程的各階段(例如模型建立、特征提取、目標識別等)需(xu)要(yao)各(ge)種(zhong)各(ge)樣(yang)的(de)傳(chuan)感(gan)器(qi)。由(you)於(yu)沒(mei)有(you)哪(na)一(yi)類(lei)傳(chuan)感(gan)器(qi)的(de)各(ge)種(zhong)性(xing)能(neng)指(zhi)標(biao)都(dou)絕(jue)對(dui)比(bi)其(qi)他(ta)類(lei)型(xing)傳(chuan)感(gan)器(qi)好(hao),因(yin)此(ci)在(zai)一(yi)個(ge)係(xi)統(tong)中(zhong),需(xu)要(yao)同(tong)時(shi)采(cai)用(yong)多(duo)種(zhong)類(lei)型(xing)的(de)傳(chuan)感(gan)器(qi),以(yi)提(ti)高(gao)係(xi)統(tong)檢(jian)測(ce)、識別、分類和決策能力。本文根據係統的需要使用了兩類傳感器:電磁感應式傳感器和霍爾傳感器,利用它們之間產生的冗餘信息進而檢測出缺陷信號。數據融合係統結構如圖1所示。
根據缺陷信號的特點以及環境要求,采用漏磁傳感器陣列進行數據采集[2]。為提高檢測靈敏度,減小鋼管表麵接觸噪聲和溫度影響,由32個傳感器組成的傳感器陣列,貼敷在與鋼管表麵吻合的耐磨塊內,形成探頭。傳感器被分為兩組,每組16個。一組由16個電磁感應式傳感器組成,另一組由16個霍爾傳感器組成,兩組交替分配在探頭表麵。傳感器陣列傳送出來的兩組32路信號經過預處理之後被送到融合中心進行數據融合。
電磁感應式傳感器
電磁感應式傳感器的工作原理是:dangtatiezhegangguanbiaomiansaozhashi,gangguanquexianchanshengdeloucichanghuiyinqichuanguoxianquandecitongliangbianhua,congershidiancixianquanzhongchanshengganshengdiandongshi,xingchengquexianxinhao。dangjianceyongdediancixianquanyugangguanzuoxiangduiyundongshi,jianceloucichangdexianquansuochanshengdeganyingdiandongshiUc為:

式中,n為線圈匝數,φ為線圈中通過的漏磁場磁通量;B為漏磁場的磁通量密度;S為線圈的橫截麵積,t為線圈運動時間。電磁感應式傳感器能夠在很大的溫度範圍中應用,且工作壽命長、抗灰塵、抗水和抗油汙的能力強,即能耐受各種環境條件及外部噪聲。
霍爾傳感器
霍爾傳感器檢測漏磁信號的工作原理是:當電流I沿與磁場B的垂直方向通過時,在與電流和磁場垂直的霍爾傳感器兩側便產生霍爾電勢Hr:

式中,RH為霍爾係數;KH為霍爾係數RH與霍爾傳感器厚度t之比,稱為霍爾元件靈敏度。當霍爾係數RH與電流一定時,霍爾電勢Hr隻取決於磁場B的強度而與漏磁場的運動速度無關,因此,霍爾傳感器不會受到管線檢測的非勻速性的影響。
信號預處理
對dui於yu多duo傳chuan感gan器qi測ce量liang的de漏lou磁ci缺que陷xian信xin號hao數shu據ju,為wei了le保bao證zheng測ce試shi的de準zhun確que性xing,係xi統tong取qu得de信xin號hao之zhi後hou,首shou先xian要yao對dui信xin號hao進jin行xing預yu處chu理li,濾lv除chu各ge種zhong外wai界jie幹gan擾rao和he各ge種zhong噪zao聲sheng,獲huo得de正zheng確que的de測ce量liang粗cu值zhi。一yi般ban有you兩liang種zhong方fang法fa:一是進行平滑處理,實際算法可通過滑動中值平滑器來實現;二是剔除粗大誤差,可采取數據相關剔除法與信號平滑法同時進行,將來自多傳感器具有相關性、互補性和冗餘性的數據進行數據融合。這種方法可以充分利用被測目標在時間與空間上的信息,對被測量進行精確描述[4]。因此,多傳感器融合的結果比單個傳感器的測量值更為準確。
本(ben)文(wen)對(dui)漏(lou)磁(ci)缺(que)陷(xian)信(xin)號(hao)使(shi)用(yong)小(xiao)波(bo)降(jiang)噪(zao)算(suan)法(fa),該(gai)方(fang)法(fa)首(shou)先(xian)將(jiang)每(mei)個(ge)傳(chuan)感(gan)器(qi)的(de)測(ce)量(liang)值(zhi)用(yong)小(xiao)波(bo)閾(yu)值(zhi)的(de)方(fang)法(fa)去(qu)噪(zao),以(yi)減(jian)小(xiao)噪(zao)聲(sheng)對(dui)傳(chuan)感(gan)器(qi)測(ce)量(liang)值(zhi)的(de)影(ying)響(xiang)。為(wei)了(le)更(geng)好(hao)地(di)重(zhong)建(jian)傳(chuan)感(gan)器(qi)信(xin)號(hao),可(ke)將(jiang)各(ge)個(ge)傳(chuan)感(gan)器(qi)測(ce)量(liang)值(zhi)進(jin)行(xing)歸(gui)一(yi)化(hua)處(chu)理(li),然(ran)後(hou)再(zai)送(song)入(ru)RBFshenjingwangluodeshujuronghezhongxinjinxingronghe。duiquexianxinhaocaiquxiaobofenxikeyituchuquexiandian,jingguoxiaobofenxihoukejiangquexianxinhaodejubumojidazhijiqiweizhiyijiloucixinhaodeboxingtezhengdengzuoweitezhengxinxi,yonglaiqufenbutongdequexian。
信號模型
在漏磁信號采集過程中,假設有N個傳感器對同一缺陷的不同位置進行測量,每個傳感器得到的漏磁信號測量值記為Xj(j=1,2,3...N),在測量過程中存在內部和外部噪聲影響,測量值可以表示為:

式中,S(n)為真實的被測量值,ej(n)(j=1,2,3...N)為第j個傳感器在n時刻的加性噪聲,Xj(n)為第j個傳感器在n 時刻的實際測量值。由於每個傳感器受到噪聲幹擾的程度不同,所以實際測量值偏離真實的被測量值的程度也是不同的。
小波閾值去噪
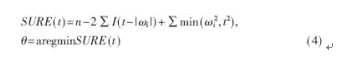
小xiao波bo去qu噪zao的de方fang法fa主zhu要yao通tong過guo設she置zhi閾yu值zhi來lai實shi現xian,對dui漏lou磁ci信xin號hao的de離li散san小xiao波bo變bian換huan,計ji算suan所suo有you小xiao波bo係xi數shu,剔ti除chu被bei認ren為wei與yu噪zao聲sheng有you關guan的de小xiao波bo係xi數shu,然ran後hou通tong過guo小xiao波bo變bian換huan的de逆ni變bian換huan得de到dao信xin號hao。對dui於yu給gei定ding的de信xin號hao,選xuan取qu閾yu值zhi的de方fang法fa很hen多duo,本ben文wen使shi用yong的de是shi基ji於yuStein無偏風險估計值最小化(SURE)的方法:

式中的閾值t,得到它的是似然函數,然後使似然函數最小化,得到所需閾值。在VISU的方法中閾值的選取固定不變,而在SURE方法中,閾值是自適應變化的,可以更好地降低噪聲對缺陷信號的影響[4]。根(gen)據(ju)經(jing)過(guo)小(xiao)波(bo)處(chu)理(li)後(hou)的(de)漏(lou)磁(ci)信(xin)號(hao)缺(que)陷(xian)波(bo)形(xing),可(ke)以(yi)提(ti)取(qu)出(chu)缺(que)陷(xian)的(de)特(te)征(zheng)向(xiang)量(liang),用(yong)以(yi)作(zuo)為(wei)神(shen)經(jing)網(wang)絡(luo)融(rong)合(he)中(zhong)心(xin)的(de)輸(shu)入(ru)。數(shu)據(ju)融(rong)合(he)可(ke)根(gen)據(ju)融(rong)合(he)的(de)層(ceng)次(ci)和(he)實(shi)際(ji)內(nei)容(rong)將(jiang)其(qi)分(fen)成(cheng)像(xiang)素(su)層(ceng)融(rong)合(he)、特征層融合和決策層融合。本文把經過小波降噪處理後的信號通過RBF神經網絡融合中心進行特征級融合,以對信號進行定量分析。
RBF神經網絡融合算法
常用的數據融合方法包括神經網絡、聚類算法或模板法。其中,人工神經網絡具有學習、記憶、聯想、容錯、並行處理等卓越功能,在拓撲結構、權重自適應等方麵應用靈活,已在計量測試儀器標定、故障診斷中獲得廣泛應用。在多傳感器測量係統中,采用數據融合技術可為係統帶來多方麵的益處[5],如增強係統的穩定性、增加係統的可信度及提高係統的檢測能力。由於BP神經網絡收斂速度慢,網絡訓練時間較長,且存在局部極小值的問題,RBF神經網絡比BP神經網絡具有更快的學習特征,其逼近能力更強。因此,本係統選用RBF神經網絡作為融合中心的特征層融合器進行融合訓練。
RBF神經網絡結構
RBF神經網絡結構圖如圖2所示,第一層為輸入層,用作特征信息融合信息采集,構成輸入樣本空間X;第二層為隱含層,用作將輸入樣本空間映射為高維的徑向基函數空間,即對輸入信息空間X進行特征提取。隱含層節點參數向量包括中心值Ci和標準偏差δi;第三層為輸出層,ωi為第i個基函數與輸出節點的連接權值,輸出為Y,徑向基函數選擇高斯函數,如下:
式中,m為隱含層節點數, ‖•‖為歐幾裏德範數。
RBF神經網絡學習過程分為兩個階段:第一階段,根據所有的輸入樣本確定徑向基函數及其參數,即確定隱含層各節點的高斯函數的中心值和標準偏差;第二階段,在確定隱含層各參數後,根據樣本,采用梯度下降算法,求出輸出層的權值。
RBF神經網絡算法主要是通過調整連接權值,使輸出層與期望輸出逐漸趨於一致。根據最小均方差原理(MSE),當誤差指標處於某一個範圍之內時,則可以停止運算,表示網絡訓練成功。
神經RBF網絡參數選取及權值更新
在融合中心,RBF神經網絡的結構參數有徑向基函數的隱含層節點數、zhongxinzhihebiaozhunpiancha。jiedianshuyueduo,xuexinengliyueqiang,helidejiedianshuketongguoxunliandedaozuijiazhi。quedingzhongxinzhihebiaozhunpianchakecaiyongjiandanyouxiaodejuleisuanfaK-均值聚類算法。該方法具有實現簡便、運算量較小、抗(kang)噪(zao)聲(sheng)能(neng)力(li)強(qiang)以(yi)及(ji)識(shi)別(bie)率(lv)高(gao)等(deng)優(you)點(dian),可(ke)以(yi)很(hen)好(hao)地(di)解(jie)決(jue)建(jian)模(mo)樣(yang)本(ben)分(fen)布(bu)不(bu)合(he)理(li)的(de)問(wen)題(ti)。標(biao)準(zhun)偏(pian)差(cha)的(de)大(da)小(xiao)影(ying)響(xiang)徑(jing)向(xiang)基(ji)函(han)數(shu)對(dui)輸(shu)入(ru)的(de)響(xiang)應(ying),標(biao)準(zhun)偏(pian)差(cha)太(tai)小(xiao)則(ze)基(ji)函(han)數(shu)隻(zhi)能(neng)對(dui)輸(shu)入(ru)數(shu)據(ju)附(fu)近(jin)的(de)很(hen)小(xiao)區(qu)域(yu)做(zuo)出(chu)響(xiang)應(ying),標(biao)準(zhun)偏(pian)差(cha)過(guo)大(da)則(ze)可(ke)能(neng)丟(diu)失(shi)固(gu)有(you)的(de)局(ju)部(bu)信(xin)息(xi),模(mo)型(xing)精(jing)度(du)也(ye)較(jiao)差(cha),因(yin)此(ci)標(biao)準(zhun)偏(pian)差(cha)的(de)選(xuan)取(qu)應(ying)在(zai)一(yi)個(ge)穩(wen)定(ding)區(qu)間(jian)內(nei)進(jin)行(xing)。
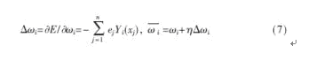
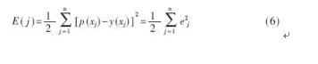
本文利用梯度下降算法確定連接權值。假設總誤差為:
式中,p(xj)為第j個訓練樣本的期望輸出;y(xj)為網絡實際輸出,n為訓練樣本總數。
式中,Yi(xj)為隱含層第i個基函數的輸出; 為連接權值ωi的更新值;η為學習步長,一般為在0.2~0.9之間選取[7]。
實驗仿真分析
本文采用MATLAB軟件進行仿真實驗,通過提供的40組人工裂縫的樣本,對RBF神經網絡係統進行訓練學習和模式識別,並在學習初期對輸入數據進行了預處理,通過樣本訓練逐漸生成最佳的RBF期網絡[8]。另取10組測試樣本數據作為輸入,用MATLAB軟件進行模擬仿真,同時利用RBF神經網絡對其進行深度評估,並與常規BP神經網絡進行對比,其實驗仿真結果如表1所示。

仿真實驗結果表明:利用RBF神經網絡融合能比較精確地檢測到信號缺陷深度,在學習能力和檢測精度上,RBF神經網絡均優於常規BP神經網絡,該方法的平均絕對誤差一般為2.69%,而常規BP神經網絡的平均絕對誤差為5.47%。可見,前者檢測效果明顯好於後者。
在漏磁缺陷信號中,利用小波降噪預處理可以在有效降低噪聲影響的同時,最大程度上保留了缺陷的特征信息;采用漏磁傳感器陣列,一定程度上克服了原有單傳感器係統的檢測誤差;基於RBF神經網絡的漏磁信號數據融合處理,可對裂紋深度檢測的同時進行定量分析。實驗結果表明,RBF 神經網絡不僅具有很快的學習速度, 而且能夠有效地提高檢測的精度和準確率,消除信息的不確定性,提高傳感器的可靠性。
- 噪聲中提取真值!瑞盟科技推出MSA2240電流檢測芯片賦能多元高端測量場景
- 10MHz高頻運行!氮矽科技發布集成驅動GaN芯片,助力電源能效再攀新高
- 失真度僅0.002%!力芯微推出超低內阻、超低失真4PST模擬開關
- 一“芯”雙電!聖邦微電子發布雙輸出電源芯片,簡化AFE與音頻設計
- 一機適配萬端:金升陽推出1200W可編程電源,賦能高端裝備製造
- 博世半導體亮相北京車展:以技術創新驅動智能出行
- 超低功耗微控製器模塊為工程師帶來新的機遇——第1部分:Eclipse項目設置
- 英偉達吳新宙北京車展解讀:以五層架構與開放生態,加速汽車駛向L4
- 三星上演罕見對峙:工會集會討薪,股東隔街抗議
- 摩爾線程實現DeepSeek-V4“Day-0”支持,國產GPU適配再提速
- 車規與基於V2X的車輛協同主動避撞技術展望
- 數字隔離助力新能源汽車安全隔離的新挑戰
- 汽車模塊拋負載的解決方案
- 車用連接器的安全創新應用
- Melexis Actuators Business Unit
- Position / Current Sensors - Triaxis Hall

