信號與噪聲的邊界:電阻熱噪聲對精密電路的終極挑戰
發布時間:2025-03-24 來源:DigiKey 責任編輯:lina
【導讀】電阻的熱噪聲(或約翰遜噪聲,或奈奎斯特噪聲,或約翰遜-奈奎斯特噪聲)是由構成電阻的原子內部和原子之間的電荷載流子的自 然隨機運動產生的。
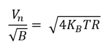
電阻的熱噪聲(或約翰遜噪聲,或奈奎斯特噪聲,或約翰遜-奈奎斯特噪聲)是由構成電阻的原子內部和原子之間的電荷載流子的自 然隨機運動產生的。無論組成如何,它在所有電阻中都是相等的,並且其均方根振幅由以下等式描述:

Vn = 均方根噪聲電壓 KB=玻爾茲曼常數=1.38 x 10-23 T=絕對溫度(°K) R=電阻值(Ω) B=測量噪聲的帶寬(Hz)

該gai數shu字zi表biao示shi直zhi流liu電dian壓ya的de值zhi,該gai電dian壓ya將jiang向xiang電dian阻zu負fu載zai提ti供gong與yu所suo討tao論lun的de噪zao聲sheng信xin號hao相xiang同tong的de功gong率lv。電dian阻zu上shang出chu現xian的de最zui大da瞬shun時shi噪zao聲sheng電dian壓ya幅fu值zhi在zai嚴yan格ge意yi義yi上shang不bu受shou限xian製zhi,因yin為wei它ta是shi由you隨sui機ji過guo程cheng驅qu動dong的de,但dan觀guan察cha到dao峰feng值zhi振zhen幅fu超chao過guo某mou個ge值zhi的de可ke能neng性xing隨sui著zhe閾yu值zhi的de增zeng加jia而er降jiang低di。通tong常chang使shi用yong6.6倍均方根值的係數來估算峰間熱噪聲值;熱噪聲的瞬時值應等於或低於99.9%(時間)均方根值的6.6倍。

各種封裝形式的通孔電阻(不按比例)

各種封裝形式的表麵安裝電阻(不按比例)

結果通常以納伏每平方根赫茲的單位表示,然後可以針對估計的工作溫度(通常約300°K)進行計算,並用作與電路中其他噪聲源(例如運算放大器的輸入電壓噪聲)進行比較的基礎。
文章來源:DigiKey
免責聲明:本文為轉載文章,轉載此文目的在於傳遞更多信息,版權歸原作者所有。本文所用視頻、圖片、文字如涉及作品版權問題,請聯係小編進行處理。
推薦閱讀:
- 噪聲中提取真值!瑞盟科技推出MSA2240電流檢測芯片賦能多元高端測量場景
- 10MHz高頻運行!氮矽科技發布集成驅動GaN芯片,助力電源能效再攀新高
- 失真度僅0.002%!力芯微推出超低內阻、超低失真4PST模擬開關
- 一“芯”雙電!聖邦微電子發布雙輸出電源芯片,簡化AFE與音頻設計
- 一機適配萬端:金升陽推出1200W可編程電源,賦能高端裝備製造
- 貿澤EIT係列新一期,探索AI如何重塑日常科技與用戶體驗
- 算力爆發遇上電源革新,大聯大世平集團攜手晶豐明源線上研討會解鎖應用落地
- 創新不止,創芯不已:第六屆ICDIA創芯展8月南京盛大啟幕!
- AI時代,為什麼存儲基礎設施的可靠性決定數據中心的經濟效益
- 矽典微ONELAB開發係列:為毫米波算法開發者打造的全棧工具鏈
- 車規與基於V2X的車輛協同主動避撞技術展望
- 數字隔離助力新能源汽車安全隔離的新挑戰
- 汽車模塊拋負載的解決方案
- 車用連接器的安全創新應用
- Melexis Actuators Business Unit
- Position / Current Sensors - Triaxis Hall






