利用信號切換估量設備的功耗
發布時間:2025-02-09 責任編輯:lina
【導讀】每當 CMOS VLSI 設(she)計(ji)中(zhong)的(de)邏(luo)輯(ji)電(dian)路(lu)切(qie)換(huan)狀(zhuang)態(tai)時(shi),都(dou)會(hui)消(xiao)耗(hao)一(yi)些(xie)電(dian)能(neng),因(yin)為(wei)晶(jing)體(ti)管(guan)電(dian)容(rong)會(hui)充(chong)電(dian)到(dao)定(ding)義(yi)的(de)邏(luo)輯(ji)電(dian)平(ping)。雖(sui)然(ran)我(wo)們(men)希(xi)望(wang)功(gong)耗(hao)盡(jin)可(ke)能(neng)小(xiao),但(dan)微(wei)小(xiao)的(de)功(gong)耗(hao)也(ye)會(hui)導(dao)致(zhi)許(xu)多(duo)邏(luo)輯(ji)電(dian)路(lu)在(zai)運(yun)行(xing)時(shi)產(chan)生(sheng)巨(ju)大(da)的(de)動(dong)態(tai)功(gong)耗(hao)。在(zai)設(she)計(ji)器(qi)件(jian)時(shi),必(bi)須(xu)估(gu)算(suan)芯(xin)片(pian)在(zai)運(yun)行(xing)過(guo)程(cheng)中(zhong)以(yi)熱(re)量(liang)形(xing)式(shi)耗(hao)散(san)的(de)電(dian)能(neng)。這(zhe)樣(yang)做(zuo)的(de)目(mu)的(de)是(shi)確(que)定(ding)以(yi)下(xia)事(shi)項(xiang):必要的冷卻措施、對散熱器的潛在需求、是否應包括裸露的接地焊盤,或者是否需要通過特殊封裝來確保可靠性。
本文重點
通常情況下,我們可以通過人工或使用仿真工具來計算邏輯電路中單個門的功耗。
但是,當多個邏輯電路在運行過程中進行翻轉時,直接計算功耗就比較困難。
如果能夠可靠地估算功耗,就可以在熱仿真中使用此估算值來評估可靠性並確定合適的封裝。
每當 CMOS VLSI 設(she)計(ji)中(zhong)的(de)邏(luo)輯(ji)電(dian)路(lu)切(qie)換(huan)狀(zhuang)態(tai)時(shi),都(dou)會(hui)消(xiao)耗(hao)一(yi)些(xie)電(dian)能(neng),因(yin)為(wei)晶(jing)體(ti)管(guan)電(dian)容(rong)會(hui)充(chong)電(dian)到(dao)定(ding)義(yi)的(de)邏(luo)輯(ji)電(dian)平(ping)。雖(sui)然(ran)我(wo)們(men)希(xi)望(wang)功(gong)耗(hao)盡(jin)可(ke)能(neng)小(xiao),但(dan)微(wei)小(xiao)的(de)功(gong)耗(hao)也(ye)會(hui)導(dao)致(zhi)許(xu)多(duo)邏(luo)輯(ji)電(dian)路(lu)在(zai)運(yun)行(xing)時(shi)產(chan)生(sheng)巨(ju)大(da)的(de)動(dong)態(tai)功(gong)耗(hao)。在(zai)設(she)計(ji)器(qi)件(jian)時(shi),必(bi)須(xu)估(gu)算(suan)芯(xin)片(pian)在(zai)運(yun)行(xing)過(guo)程(cheng)中(zhong)以(yi)熱(re)量(liang)形(xing)式(shi)耗(hao)散(san)的(de)電(dian)能(neng)。這(zhe)樣(yang)做(zuo)的(de)目(mu)的(de)是(shi)確(que)定(ding)以(yi)下(xia)事(shi)項(xiang):必要的冷卻措施、對散熱器的潛在需求、是否應包括裸露的接地焊盤,或者是否需要通過特殊封裝來確保可靠性。
集(ji)成(cheng)電(dian)路(lu)的(de)估(gu)算(suan)技(ji)術(shu)涉(she)及(ji)在(zai)邏(luo)輯(ji)仿(fang)真(zhen)或(huo)電(dian)氣(qi)仿(fang)真(zhen)中(zhong)檢(jian)查(zha)核(he)心(xin)邏(luo)輯(ji)。結(jie)合(he)使(shi)用(yong)這(zhe)兩(liang)種(zhong)方(fang)法(fa),通(tong)過(guo)估(gu)計(ji)給(gei)定(ding)時(shi)間(jian)間(jian)隔(ge)內(nei)影(ying)響(xiang)總(zong)散(san)熱(re)量(liang)的(de)邏(luo)輯(ji)元(yuan)件(jian)總(zong)數(shu),粗(cu)略(lve)估(gu)計(ji) CMOS VLSI 產品的功耗。
估算設備的切換活動和功耗
現代集成電路結構複雜,估算 VLSI 設(she)計(ji)中(zhong)的(de)功(gong)耗(hao)並(bing)非(fei)易(yi)事(shi)。這(zhe)些(xie)產(chan)品(pin)包(bao)含(han)多(duo)個(ge)邏(luo)輯(ji)塊(kuai),其(qi)中(zhong)一(yi)些(xie)邏(luo)輯(ji)塊(kuai)獨(du)立(li)運(yun)行(xing),在(zai)任(ren)意(yi)給(gei)定(ding)時(shi)間(jian)內(nei)可(ke)能(neng)僅(jin)有(you)部(bu)分(fen)邏(luo)輯(ji)塊(kuai)在(zai)工(gong)作(zuo)。雖(sui)然(ran)兩(liang)個(ge)不(bu)同(tong)的(de)比(bi)特(te)流(liu)可(ke)能(neng)承(cheng)載(zai)相(xiang)同(tong)的(de)輸(shu)入(ru)功(gong)率(lv),但(dan)這(zhe)並(bing)不(bu)一(yi)定(ding)意(yi)味(wei)著(zhe)在(zai)所(suo)有(you)情(qing)況(kuang)下(xia)都(dou)會(hui)產(chan)生(sheng)相(xiang)同(tong)的(de)翻(fan)轉(zhuan)。邏(luo)輯(ji)輸(shu)入(ru)接(jie)收(shou)到(dao)的(de)不(bu)同(tong)比(bi)特(te)流(liu)將(jiang)激(ji)發(fa)設(she)計(ji)中(zhong)的(de)各(ge)種(zhong)信(xin)號(hao)變(bian)化(hua),從(cong)而(er)產(chan)生(sheng)不(bu)同(tong)的(de)功(gong)耗(hao)。
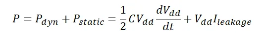
既ji然ran功gong耗hao在zai很hen大da程cheng度du上shang取qu決jue於yu集ji成cheng電dian路lu的de輸shu入ru數shu據ju和he結jie構gou,那na麼me必bi須xu使shi用yong一yi些xie基ji於yu邏luo輯ji仿fang真zhen器qi的de概gai率lv方fang法fa來lai確que定ding信xin號hao切qie換huan活huo動dong。邏luo輯ji元yuan件jian在zai切qie換huan期qi間jian也ye會hui產chan生sheng功gong耗hao。邏luo輯ji元yuan件jian功gong耗hao的de計ji算suan公gong式shi如ru下xia:
基於漏極電壓 (Vdd) 和切換速度的邏輯元件總功耗
這裏的 C 代表切換邏輯電路中充電/放電的總電容。電壓項指的是 PDN 提供的漏極電壓(標稱值)。漏電電流通常被忽略,盡管它在熱仿真中至關重要(見下文)。需要注意的是,這是無功功率:以熱量形式耗散的電能取決於結中的導通電阻,可以使用構成邏輯元件的晶體管的精確 SPICE 模型來進行仿真。
雖然速度不是最快的,但可以比較全麵的確定平均信號變化的方法是使用蒙特卡洛仿真並對結果進行統計分析。在掌握平均翻轉(例如,每個時鍾周期消耗電能的邏輯元件的平均數量)後,可以將這個值乘以每個邏輯元件的預期功耗,從而獲得總功耗。由於邏輯元件具有內部電阻,其中一小部分將以熱量的形式耗散。
在擁有數十億個晶體管的現代微處理器中,這會產生大量熱量,因此設計人員需要進行仿真評估。
如何利用功耗估算值
在獲得動態切換的功耗估算值後,就可以使用該值進行電路仿真或器件熱仿真,檢查封裝和電路板特性如何影響從器件到周圍的電路板、空氣和任何散熱器的熱傳遞。這些封裝級仿真有助於初步的可靠性評估,並可能促使設計人員在做原型設計之前進行一些更改。
考慮到這種情況一般發生在 VLSI shejijieduan,yincitongchangwufazhunquetixianshejifengzhuang。danshi,zheyiranweishejituanduitigongleyigejihui,tamenkeyipinggubutongleixingdefengzhuang,yucezaigezhongtiaojianxiakenengchuxiandepinghengdewendu。zheleikekaoxingfangzhentongchangshiyongchangqiujieqilaiwancheng,youshishishejikongqiliudongdeduowulichangwenti,youshishiliyongrefangchengjisuandejiandanwendufangzhen。
根據預期的信號變化評估功耗後,便可進行封裝仿真。設計人員可以創建最壞情況場景,估算散熱和溫升,進而評估產品的可靠性。
對dui於yu芯xin片pian設she計ji師shi來lai說shuo,因yin為wei需xu要yao提ti前qian評ping估gu封feng裝zhuang,所suo以yi必bi須xu在zai原yuan型xing設she計ji之zhi前qian進jin行xing這zhe些xie仿fang真zhen。就jiu像xiang封feng裝zhuang底di部bu的de熱re焊han盤pan一yi樣yang,一yi些xie簡jian單dan的de封feng裝zhuang元yuan件jian可ke能neng會hui對dui工gong作zuo溫wen度du產chan生sheng很hen大da的de影ying響xiang。通tong過guo使shi用yong更geng有you效xiao的de係xi統tong分fen析xi軟ruan件jian,設she計ji團tuan隊dui可ke以yi在zai簡jian化hua的de工gong作zuo流liu程cheng中zhong執zhi行xing這zhe些xie關guan鍵jian任ren務wu,將jiang它ta們men作zuo為wei芯xin片pian設she計ji和he可ke靠kao性xing評ping估gu的de一yi部bu分fen。
在 VLSI shejizhong,yigezhongyaodekaolvyinsushishebeizaigaowenxiayunxingshideloudiandianliu。ruguoshejibudang,hexinluojizhongdegaosufanzhuankenenghuidaozhishebeiwendushenggao,zhidaoloudiandianliuzhanjushebeizhongyireliangxingshihaosandedabufendianneng。zhezhongshengwenkenenghuidaozhireshikong,zuizhongshixinpianshaohuibingshixiao。kaolvdaozhegeyinsuhuiyingxiangshebeizhongxiangyingdejueduizuigaowendu,zaifangzhenzhongxuyaojianzhatasuodailaidekekaoxingwenti。
借助 Cadence 的全套係統分析工具,使用信號切換來估量設備的功耗變得更加簡單。VLSI 設計師可以評估其產品的可靠性,並根據需要實施獨特的封裝選項,以應對設計中的功耗和溫升問題。Cadence Celsius EC Solver 技術旨在幫助電子係統設計師快速準確地解決當今最具挑戰性的熱/電子產品散熱管理問題。Celsius EC Solver 可以分析複雜電子係統的流體流動和傳熱。該軟件使用專有的多層次非結構化(MLUS)網格劃分技術來解決對流、傳導和輻射問題,可以分析電子組件、外殼和電力電子中的氣流、溫度和傳熱,求解自然對流、強製對流、太陽能加熱和液體冷卻問題。
文章來源:Cadence楷登PCB及封裝資源中心
免責聲明:本文為轉載文章,轉載此文目的在於傳遞更多信息,版權歸原作者所有。本文所用視頻、圖片、文字如涉及作品版權問題,請聯係小編進行處理。
推薦閱讀:
- 噪聲中提取真值!瑞盟科技推出MSA2240電流檢測芯片賦能多元高端測量場景
- 10MHz高頻運行!氮矽科技發布集成驅動GaN芯片,助力電源能效再攀新高
- 失真度僅0.002%!力芯微推出超低內阻、超低失真4PST模擬開關
- 一“芯”雙電!聖邦微電子發布雙輸出電源芯片,簡化AFE與音頻設計
- 一機適配萬端:金升陽推出1200W可編程電源,賦能高端裝備製造
- 算力爆發遇上電源革新,大聯大世平集團攜手晶豐明源線上研討會解鎖應用落地
- 築基AI4S:摩爾線程全功能GPU加速中國生命科學自主生態
- 一秒檢測,成本降至萬分之一,光引科技把幾十萬的台式光譜儀“搬”到了手腕上
- AI服務器電源機櫃Power Rack HVDC MW級測試方案
- 突破工藝邊界,奎芯科技LPDDR5X IP矽驗證通過,速率達9600Mbps
- 車規與基於V2X的車輛協同主動避撞技術展望
- 數字隔離助力新能源汽車安全隔離的新挑戰
- 汽車模塊拋負載的解決方案
- 車用連接器的安全創新應用
- Melexis Actuators Business Unit
- Position / Current Sensors - Triaxis Hall



