單線激光雷達原理揭秘:三角測距 VS ToF測距
發布時間:2021-04-15 責任編輯:lina
【導讀】當研發人員對機器人搭載的激光雷達進行技術選型時,往往會發現同樣是機械式單線雷達,不同廠家的不同型號在外觀、性能參數和價格區間上差別巨大,容易產生疑惑,不確定哪種更適合自己的使用場景。
當研發人員對機器人搭載的激光雷達進行技術選型時,往往會發現同樣是機械式單線雷達,不同廠家的不同型號在外觀、性能參數和價格區間上差別巨大,容易產生疑惑,不確定哪種更適合自己的使用場景。
這主要是由於目前市場上機械式激光雷達使用了不同的測距原理,主要可分為三角測距和ToF測距兩類,使得雷達整體設計在尺寸、性能和成本上有較大差異。
接jie下xia來lai將jiang為wei大da家jia詳xiang細xi介jie紹shao兩liang類lei測ce距ju方fang式shi的de技ji術shu原yuan理li,幫bang助zhu研yan發fa人ren員yuan加jia深shen理li解jie,從cong而er選xuan擇ze更geng適shi合he自zi身shen場chang景jing的de激ji光guang雷lei達da方fang案an。首shou先xian來lai看kan三san角jiao測ce距ju激ji光guang雷lei達da。
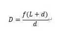
這種測距方式的基本原理如圖1所示。雷達測距模塊向外發射紅外激光,入射到被測物體上之後,部分散射光經接收透鏡彙聚到線陣圖像傳感器(CCD/CMOS)上成像。
由圖中的幾何關係可知,位於不同距離的物體,出射激光形成的光斑在線陣上成像的位置亦不相同;另一方麵,測距模塊的內部結構固定不變,接收透鏡的焦距f,以及發射光路光軸與接收透鏡主光軸之間的偏移(即基線距離)L這兩項參數都是已知的。根據三角形的相似關係,即可計算出物體的距離D如下:


圖1 三角測距基本原理
yishangyuanlijieshaoweizuijianhuadeqingkuang。zaishijiyingyongzhong,weiletigaojulifenbianlv,yijichongfenliyongxianzhentuxiangchuanganqidexiangsuziyuan,tongchangjiangfasheguangluguangzhouyujieshoutoujingzhuguangzhoubuzhiweichengyidingxiejiao(而非圖示中的平行關係),但相似三角形的基本原理並無變化。
三角測距的原理決定了使用這種測距方式的激光雷達的一些技術特點。
首shou先xian來lai看kan測ce量liang距ju離li,對dui於yu三san角jiao測ce距ju激ji光guang雷lei達da來lai說shuo,這zhe個ge參can數shu和he距ju離li分fen辨bian率lv是shi緊jin密mi聯lian係xi的de。所suo謂wei距ju離li分fen辨bian率lv,就jiu是shi對dui不bu同tong距ju離li目mu標biao的de區qu分fen能neng力li;huanjuhuashuo,dangmubiaodejulifashengbianhuashi,bianhualiangdadaoduodacainengshileidashuchudejulizhifashengbianhua,xiangdangyuyongchiziliangchangdushi,shiyongdechizidezuixiaokedushiduoshao,sanjiaocejudeyidatedianshizheba“尺子”的刻度是不均勻的。
由圖1易知,對於比較近的距離區間,目標距離的變化會引起成像點位置的顯著變化;而(er)當(dang)目(mu)標(biao)位(wei)於(yu)遠(yuan)處(chu)時(shi),即(ji)便(bian)距(ju)離(li)發(fa)生(sheng)很(hen)大(da)的(de)變(bian)化(hua),體(ti)現(xian)到(dao)成(cheng)像(xiang)點(dian)上(shang)隻(zhi)會(hui)產(chan)生(sheng)一(yi)點(dian)點(dian)移(yi)動(dong),也(ye)就(jiu)是(shi)說(shuo),三(san)角(jiao)測(ce)距(ju)的(de)距(ju)離(li)分(fen)辨(bian)率(lv)會(hui)隨(sui)著(zhe)距(ju)離(li)的(de)變(bian)遠(yuan)而(er)急(ji)速(su)下(xia)降(jiang)。這(zhe)就(jiu)限(xian)製(zhi)了(le)三(san)角(jiao)測(ce)距(ju)的(de)最(zui)大(da)實(shi)用(yong)測(ce)量(liang)距(ju)離(li),超(chao)出(chu)了(le)這(zhe)個(ge)距(ju)離(li)後(hou),分(fen)辨(bian)率(lv)的(de)下(xia)降(jiang)將(jiang)使(shi)得(de)測(ce)量(liang)結(jie)果(guo)失(shi)去(qu)意(yi)義(yi)。
其qi次ci是shi測ce量liang速su率lv。機ji械xie式shi單dan線xian激ji光guang雷lei達da在zai旋xuan轉zhuan掃sao描miao的de同tong時shi對dui不bu同tong方fang向xiang上shang的de目mu標biao進jin行xing測ce距ju,因yin此ci測ce量liang速su率lv直zhi接jie決jue定ding了le雷lei達da能neng否fou以yi更geng快kuai的de速su率lv掃sao描miao(對應更高的幀率),以及在完成一周掃描時能否輸出更多的測量點(對應更高的角度分辨率)。
weiledadaoyidingdejulifenbianlv,sanjiaocejujiguangleidawangwangdouhuishiyongjiaogaofenbianlvdexianzhentuxiangchuanganqi,tongchangjuyoushuqiangexiangsudian,meicicejushixuyaojiangzhexiexiangsudiandehuiduzhiduchubingjiaogeiDSP處理,整個讀出和處理的過程需要耗費一定時間,從而限製了三角測距激光雷達的數據速率。
說完三角測距之後,接著再看ToF測距。ToF是Time of Flight的縮寫,也即飛行時間測距法,其基本原理如圖2所示:
開始測距時,脈衝驅動電路驅動激光器發射一個持續時間極短但瞬時功率非常高的光脈衝,同時計時單元啟動計時;
光guang脈mai衝chong經jing發fa射she光guang路lu出chu射she後hou,到dao達da被bei測ce物wu體ti的de表biao麵mian並bing向xiang各ge方fang向xiang散san射she。測ce距ju模mo塊kuai的de接jie收shou光guang路lu收shou到dao部bu分fen散san射she光guang能neng量liang,通tong過guo光guang電dian器qi件jian轉zhuan化hua為wei光guang電dian流liu,輸shu送song給gei回hui波bo信xin號hao處chu理li電dian路lu;
回hui波bo信xin號hao處chu理li電dian路lu將jiang光guang電dian流liu轉zhuan化hua為wei電dian壓ya信xin號hao,經jing過guo一yi級ji或huo數shu級ji放fang大da並bing調tiao理li後hou,得de到dao一yi個ge回hui波bo信xin號hao對dui應ying的de電dian脈mai衝chong,用yong於yu觸chu發fa計ji時shi單dan元yuan停ting止zhi計ji時shi;
此時,計時單元記錄的時間間隔就代表了激光脈衝從發射到返回的全程所用的時間,使用這個時間值乘以光速並除以2,即可得到測距單元與被測目標之間的距離值。

圖2 ToF測距基本原理
ToF測距的原理很容易理解,但具體工程實現時有不少技術難點需要解決,這主要是由於ToF測距的工作條件比較極端,非常大(脈衝發射峰值)、非常弱(脈衝回波)和非常快(納秒/皮秒級別)的信號,這就對整個電路的驅動能力、帶寬和噪聲抑製水平提出了很高的要求。但它的優勢在於,隻要解決了上述這些問題,整個測距係統可以實現非常高的性能。
從測量距離來看,由於ToF測(ce)距(ju)發(fa)射(she)的(de)是(shi)持(chi)續(xu)時(shi)間(jian)極(ji)短(duan)的(de)激(ji)光(guang)脈(mai)衝(chong),因(yin)此(ci)在(zai)符(fu)合(he)人(ren)眼(yan)安(an)全(quan)要(yao)求(qiu)的(de)前(qian)提(ti)下(xia),可(ke)以(yi)把(ba)光(guang)脈(mai)衝(chong)的(de)瞬(shun)時(shi)功(gong)率(lv)提(ti)到(dao)很(hen)高(gao)的(de)水(shui)平(ping),從(cong)而(er)能(neng)夠(gou)探(tan)測(ce)到(dao)更(geng)遠(yuan)距(ju)離(li)的(de)目(mu)標(biao)。
不同於三角測距基於幾何相似關係的測量原理,ToF通過測量光脈衝的飛行時間來計算目標距離,而計時的精度不會因距離變遠而發生改變,這樣在整個量程內,ToF測距的距離分辨率都不會有實質性的變化。最後,ToF測距處理的都是高速脈衝信號,由此而來的好處是整個測量過程耗時極短,可以很輕鬆地做到非常高的測量頻率。
說完三角測距和ToFcejudegongzuoyuanlihou,jiexialaihenzirandeyigewentishi,nazhongleixingdedanxianjiguangleidagengjuyoushi?daanshiyaogenjumeizhongleidadetedian,jiehejutideshiyongchangjinglaikan。
三(san)角(jiao)測(ce)距(ju)激(ji)光(guang)雷(lei)達(da)的(de)優(you)勢(shi)主(zhu)要(yao)體(ti)現(xian)在(zai)成(cheng)本(ben)上(shang),因(yin)其(qi)設(she)計(ji)方(fang)案(an)成(cheng)熟(shu),批(pi)量(liang)生(sheng)產(chan)時(shi)成(cheng)本(ben)可(ke)以(yi)降(jiang)到(dao)很(hen)低(di)的(de)水(shui)平(ping),但(dan)由(you)於(yu)其(qi)在(zai)實(shi)際(ji)使(shi)用(yong)過(guo)程(cheng)中(zhong)並(bing)不(bu)穩(wen)定(ding),導(dao)致(zhi)其(qi)在(zai)工(gong)業(ye)領(ling)域(yu)的(de)應(ying)用(yong)受(shou)到(dao)很(hen)大(da)限(xian)製(zhi)。
此外,因為三角測距使用並列布置的平行軸光路,雷達的外觀可以做得比較低矮,能夠用於機體高度受限的場合;zhexieyoushi,jiehesanjiaocejujinjuliceliangjingdujiaogaodetedian,shidesanjiaocejujiguangleidafeichangshiheyuxiaofeijichanpinshangshiyong,jinnianlaizhujianpujidesaodijiqirenjiushiyigehenhaodelizi,zhiyaoshijubeidaohanggongnengdexinghao,jihuqingyisedishiyonglesanjiaocejujiguangleidazuoweizhuchuanganqifangan。duiyufuwujiqirenleidechanpin,danghuodongchangjingbuda,huozhexuyaozaijinjulibumangbizhangshi,sanjiaocejujiguangleidayiyouyingyonganli。
ToFcejujiguangleidadexitongsheji,xiangbisanjiaocejuleidagengfuza,yincichengbenhuigaoyixie,danyoucidailaidexingnengtishengyeshixianeryijiande,muqianyoubushaotuanduidezaiyanToF方案,可在保持ToF測距工業級穩定性和高性能的基礎上,將整機成本降到較低的水平,從而有潛力替代三角測距激光雷達在消費領域的應用。
市麵上ToF單線激光雷達的主流產品,其最大測量距離(針對70%反射率目標)通常10米起步,數據速率達到15 KHz或更高,掃描頻率從15 Hz到40 Hz不等,且不少型號都可以在室外使用,因此環境適應性更好,非常適合於活動空間大、移動速度高、需要在較強環境光(例如室外)工作的移動平台。目前,ToF測距激光雷達在服務機器人、AGV/AMR、低速物流車都有普遍的應用。此外,在一些靜態安裝的場合,例如工業安全防護、大屏互動、安防監控等領域,也常常能看到ToF測距激光雷達的使用。
免責聲明:本文為轉載文章,轉載此文目的在於傳遞更多信息,版權歸原作者所有。本文所用視頻、圖片、文字如涉及作品版權問題,請電話或者郵箱聯係小編進行侵刪。
特別推薦
- 噪聲中提取真值!瑞盟科技推出MSA2240電流檢測芯片賦能多元高端測量場景
- 10MHz高頻運行!氮矽科技發布集成驅動GaN芯片,助力電源能效再攀新高
- 失真度僅0.002%!力芯微推出超低內阻、超低失真4PST模擬開關
- 一“芯”雙電!聖邦微電子發布雙輸出電源芯片,簡化AFE與音頻設計
- 一機適配萬端:金升陽推出1200W可編程電源,賦能高端裝備製造
技術文章更多>>
- 貿澤EIT係列新一期,探索AI如何重塑日常科技與用戶體驗
- 算力爆發遇上電源革新,大聯大世平集團攜手晶豐明源線上研討會解鎖應用落地
- 創新不止,創芯不已:第六屆ICDIA創芯展8月南京盛大啟幕!
- AI時代,為什麼存儲基礎設施的可靠性決定數據中心的經濟效益
- 矽典微ONELAB開發係列:為毫米波算法開發者打造的全棧工具鏈
技術白皮書下載更多>>
- 車規與基於V2X的車輛協同主動避撞技術展望
- 數字隔離助力新能源汽車安全隔離的新挑戰
- 汽車模塊拋負載的解決方案
- 車用連接器的安全創新應用
- Melexis Actuators Business Unit
- Position / Current Sensors - Triaxis Hall
熱門搜索
微波功率管
微波開關
微波連接器
微波器件
微波三極管
微波振蕩器
微電機
微調電容
微動開關
微蜂窩
位置傳感器
溫度保險絲
溫度傳感器
溫控開關
溫控可控矽
聞泰
穩壓電源
穩壓二極管
穩壓管
無焊端子
無線充電
無線監控
無源濾波器
五金工具
物聯網
顯示模塊
顯微鏡結構
線圈
線繞電位器
線繞電阻



