分析電子設備雷擊浪湧抗擾
發布時間:2020-03-31 責任編輯:lina
【導讀】電子設備雷擊浪湧抗擾度試驗的國家標準為 GB/T17626.5(等同於國際標準 IEC61000-4-5 )。
1、電子設備雷擊浪湧抗擾度試驗標準
電子設備雷擊浪湧抗擾度試驗的國家標準為 GB/T17626.5(等同於國際標準 IEC61000-4-5 )。
標準主要是模擬間接雷擊產生的各種情況:
(1)雷電擊中外部線路,有大量電流流入外部線路或接地電阻,因而產生的幹擾電壓。
(2)間接雷擊(如雲層間或雲層內的雷擊)在外部線路上感應出電壓和電流。
(3)雷電擊中線路鄰近物體,在其周圍建立的強大電磁場,在外部線路上感應出電壓。
(4)雷電擊中鄰近地麵,地電流通過公共接地係統時所引進的幹擾。

標準除了模擬雷擊外,還模擬變電所等場合,因開關動作而引進的幹擾(開關切換時引起電壓瞬變),如:
(1)主電源係統切換時產生的幹擾(如電容器組的切換)。
(2)同一電網,在靠近設備附近的一些較小開關跳動時的幹擾。
(3)切換伴有諧振線路的晶閘管設備。
(4)各種係統性的故障,如設備接地網絡或接地係統間的短路和飛弧故障。
標準描述了兩種不同的波形發生器:一種是雷擊在電源線上感應生產的波形;另一種是在通信線路上感應產生的波形。
這兩種線路都屬於空架線,但線路的阻抗各不相同:在電源線上感應產生的浪湧波形比較窄一些(50uS),前沿要陡一些(1.2uS);而er在zai通tong信xin線xian上shang感gan應ying產chan生sheng的de浪lang湧yong波bo形xing比bi較jiao寬kuan一yi些xie,但dan前qian沿yan要yao緩huan一yi些xie。後hou麵mian我wo們men主zhu要yao以yi雷lei擊ji在zai電dian源yuan線xian上shang感gan應ying生sheng產chan的de波bo形xing來lai對dui電dian路lu進jin行xing分fen析xi,同tong時shi也ye對dui通tong信xin線xian路lu的de防fang雷lei技ji術shu進jin行xing簡jian單dan介jie紹shao。
2、模擬雷擊浪湧脈衝生成電路的工作原理

上shang圖tu是shi模mo擬ni雷lei電dian擊ji到dao配pei電dian設she備bei時shi,在zai輸shu電dian線xian路lu中zhong感gan應ying產chan生sheng的de浪lang湧yong電dian壓ya,或huo雷lei電dian落luo地di後hou雷lei電dian流liu通tong過guo公gong共gong地di電dian阻zu產chan生sheng的de反fan擊ji高gao壓ya的de脈mai衝chong產chan生sheng電dian路lu。4kV 時的單脈衝能量為 100 焦耳。
圖中 Cs 是儲能電容(大約為 10uF,相當於雷雲電容);Us 為高壓電源;Rc 為充電電阻;Rs 為脈衝持續時間形成電阻(放電曲線形成電阻);Rm 為阻抗匹配電阻 Ls 為電流上升形成電感。
雷擊浪湧抗擾度試驗對不同產品有不同的參數要求,上圖中的參數可根據產品標準要求不同,稍有改動。
基本參數要求:
(1)開路輸出電壓:0.5~6kV,分 5 等級輸出,最後一級由用戶與製造商協商確定;
(2)短路輸出電流:0.25~2kA,供不同等級試驗用;
(3)內阻:2 歐姆,附加電阻 10、12、40、42 歐姆,供其它不同等級試驗用;
(4)浪湧輸出極性:正 / 負;浪湧輸出與電源同步時,移相 0~360 度;
(5)重複頻率:至少每分鍾一次。

雷擊浪湧抗擾度試驗的嚴酷等級分為 5 級:
1 級:較好保護的環境;
2 級:有一定保護的環境;
3 級:普通的電磁騷擾環境、對設備未規定特殊安裝要求,如工業性的工作場所;
4 級:受嚴重騷擾的環境,如民用空架線、未加保護的高壓變電所。
X 級:由用戶與製造商協商確定。

圖中 18uF 電容,可根據嚴酷等級不同,選擇數值也可不同,但大到一定值之後,基本上就沒有太大意義。
10 歐姆電阻以及 9uF 電容,可根據嚴酷等級不同,選擇數值也不同,電阻最小值可選為 0 歐姆(美國標準就是這樣), 9uF 電容也可以選得很大,但大到一定值之後,基本上就沒有太大意義。
3、共模浪湧抑製電路
防(fang)浪(lang)湧(yong)設(she)計(ji)時(shi),假(jia)定(ding)共(gong)模(mo)與(yu)差(cha)模(mo)這(zhe)兩(liang)部(bu)分(fen)是(shi)彼(bi)此(ci)獨(du)立(li)的(de)。然(ran)而(er),這(zhe)兩(liang)部(bu)分(fen)並(bing)非(fei)真(zhen)正(zheng)獨(du)立(li),因(yin)為(wei)共(gong)模(mo)扼(e)流(liu)圈(quan)可(ke)以(yi)提(ti)供(gong)相(xiang)當(dang)大(da)的(de)差(cha)模(mo)電(dian)感(gan)。這(zhe)部(bu)分(fen)差(cha)模(mo)電(dian)感(gan)可(ke)由(you)分(fen)立(li)的(de)差(cha)模(mo)電(dian)感(gan)來(lai)模(mo)擬(ni)。
為(wei)了(le)利(li)用(yong)差(cha)模(mo)電(dian)感(gan),在(zai)設(she)計(ji)過(guo)程(cheng)中(zhong),共(gong)模(mo)與(yu)差(cha)模(mo)不(bu)應(ying)同(tong)時(shi)進(jin)行(xing),而(er)應(ying)該(gai)按(an)照(zhao)一(yi)定(ding)的(de)順(shun)序(xu)來(lai)做(zuo)。首(shou)先(xian),應(ying)該(gai)測(ce)量(liang)共(gong)模(mo)噪(zao)聲(sheng)並(bing)將(jiang)其(qi)濾(lv)除(chu)掉(diao)。采(cai)用(yong)差(cha)模(mo)抑(yi)製(zhi)網(wang)絡(luo)(Differential Mode Rejection Network),可以將差模成分消除,因此就可以直接測量共模噪聲了。
ruguoshejidegongmolvboqiyaotongshishichamozaoshengbuchaoguoyunxufanwei,namejiuyingcelianggongmoyuchamodehunhezaosheng。yinweiyizhigongmochengfenzaizaoshengrongxianyixia,yincichaobiaodejinshichamochengfen,keyonggongmolvboqidechamolouganlaishuaijian。duiyudigonglvdianyuanxitong,gongmoeliuquandechamodianganzuyijiejuechamofushewenti,yinweichamofushedeyuanzukangjiaoxiao,yincizhiyoujishaoliangdedianganshiyouxiaode。

對 4000Vp 以下的浪湧電壓進行抑製,一般隻需采用 LC 電路進行限流和平滑濾波,把脈衝信號盡量壓低到 2~3 倍脈衝信號平均值的水平即可。電感很容易飽和,因此,L1、L2 一般都采用一種漏感很大的共模電感。
用在交流,直流的都有,通常我們在電源 EMI 濾波器,開關電源中常見到,而直流側少見,在汽車電子中能夠看到用在直流側。
加入共模電感是為了消除並行線路上的共模幹擾(有兩線的,也有多線的)。由於電路上兩線阻抗的不平衡,共模幹擾最終體現在差模上。用差模濾波方法很難濾除。
共gong模mo電dian感gan到dao底di需xu要yao用yong在zai哪na。共gong模mo幹gan擾rao通tong常chang是shi電dian磁ci輻fu射she,空kong間jian耦ou合he過guo來lai的de,那na麼me無wu論lun是shi交jiao流liu還hai是shi直zhi流liu,你ni有you長chang線xian傳chuan輸shu,就jiu涉she及ji到dao共gong模mo濾lv波bo就jiu得de加jia共gong模mo電dian感gan。例li如ru:USB 線好多就在線上加磁環。 開(kai)關(guan)電(dian)源(yuan)入(ru)口(kou),交(jiao)流(liu)電(dian)是(shi)遠(yuan)距(ju)離(li)傳(chuan)輸(shu)過(guo)來(lai)的(de)就(jiu)需(xu)要(yao)加(jia)。通(tong)常(chang)直(zhi)流(liu)側(ce)不(bu)需(xu)要(yao)遠(yuan)傳(chuan)就(jiu)不(bu)需(xu)要(yao)加(jia)了(le)。沒(mei)有(you)共(gong)模(mo)幹(gan)擾(rao),加(jia)了(le)就(jiu)是(shi)浪(lang)費(fei),對(dui)電(dian)路(lu)沒(mei)有(you)增(zeng)益(yi)。
電dian源yuan濾lv波bo器qi的de設she計ji通tong常chang可ke從cong共gong模mo和he差cha模mo兩liang方fang麵mian來lai考kao慮lv。共gong模mo濾lv波bo器qi最zui重zhong要yao的de部bu分fen就jiu是shi共gong模mo扼e流liu圈quan,與yu差cha模mo扼e流liu圈quan相xiang比bi,共gong模mo扼e流liu圈quan的de一yi個ge顯xian著zhu優you點dian在zai於yu它ta的de電dian感gan值zhi極ji高gao,而er且qie體ti積ji又you小xiao,設she計ji共gong模mo扼e流liu圈quan時shi要yao考kao慮lv的de一yi個ge重zhong要yao問wen題ti是shi它ta的de漏lou感gan,也ye就jiu是shi差cha模mo電dian感gan。通tong常chang,計ji算suan漏lou感gan的de辦ban法fa是shi假jia定ding它ta為wei共gong模mo電dian感gan的de 1%,實際上漏感為共模電感的 0.5% ~4%之間。在設計最優性能的扼流圈時,這個誤差的影響可能是不容忽視的。
漏感的重要性
漏感是如何形成的呢?緊密繞製,且繞滿一周的環形線圈,即使沒有磁芯,其所有磁通都集中在線圈“芯”nei。danshi,ruguohuanxingxianquanmeiyouraomanyizhou,huozheraozhibujinmi,namecitongjiuhuicongxinzhongxielouchulai。zhezhongxiaoyingyuxianzajiandexiangduijuliheluoxuanguanxintidecidaolvchengzhengbi。
共模扼流圈有兩個繞組,這兩個繞組被設計成使它們所流過的電流沿線圈芯傳導時方向相反,從而使磁場為 0。如果為了安全起見,芯體上的線圈不是雙線繞製,這樣兩個繞組之間就有相當大的間隙,自然就引起磁通“泄漏”,這即是說,磁場在所關心的各個點上並非真正為 0。共gong模mo扼e流liu圈quan的de漏lou感gan是shi差cha模mo電dian感gan。事shi實shi上shang,與yu差cha模mo有you關guan的de磁ci通tong必bi須xu在zai某mou點dian上shang離li開kai芯xin體ti,換huan句ju話hua說shuo,磁ci通tong在zai芯xin體ti外wai部bu形xing成cheng閉bi合he回hui路lu,而er不bu僅jin僅jin隻zhi局ju限xian在zai環huan形xing芯xin體ti內nei。
一般 CX 電容可承受 4000Vp 的差模浪湧電壓衝擊,CY 電容可承受 5000Vp 的共模電壓衝擊。正確選擇 L1、L2 和 CX2、CY 參數的大小,就可以抑製 4000Vp 以下的共模和差模浪湧電壓。但如果兩個 CY 電容是安裝在整機線路之中,其總容量不能超過 5000P,如要抑製浪湧電壓超過 4000Vp,還需選用耐壓更高的電容器,以及帶限幅功能的浪湧抑製電路。
所suo謂wei抑yi製zhi,隻zhi不bu過guo是shi把ba尖jian峰feng脈mai衝chong的de幅fu度du降jiang低di了le一yi些xie,然ran後hou把ba其qi轉zhuan換huan成cheng另ling一yi個ge脈mai衝chong寬kuan度du相xiang對dui比bi較jiao寬kuan,幅fu度du較jiao為wei平ping坦tan的de波bo形xing輸shu出chu,但dan其qi能neng量liang基ji本ben沒mei有you改gai變bian。
兩個 CY 電容的容量一般都很小,存儲的能量有限,其對共模抑製的作用並不很大,因此,對共模浪湧抑製主要靠電感 L1 和 L2,但由於 L1、L2 的電感量也受到體積和成本的限製,一般也難以做得很大,所以上麵電路對雷電共模浪湧電壓抑製作用很有限。

圖(a)中 L1 與 CY1、 L2 與 CY2,分別對兩路共模浪湧電壓進行抑製,計算時隻需計算其中一路即可。Ø對 L1 進行精確計算,須要求解一組 2 階微分方程,結果表明:電容充電是按正弦曲線進行,放電是按餘弦曲線進行。但此計算方法比較複雜,這裏采用比較簡單的方法。
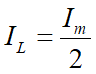
共模信號是一個幅度為 Up、寬度為τ的方波,以及 CY 電容兩端的電壓為 Uc,測流過電感的電流為一寬度等於 2τ的鋸齒波:

流過電感的電流為:

流過電感的最大電流為:

在 2τ期間流過電感的平均電流為:

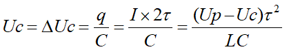
由此可以求得 CY 電容在 2τ期間的電壓變化量為:

上麵公式是計算共模浪湧抑製電路中電感 L 和電容 CY 參數的計算公式,式中,Uc 為 CY 電容兩端的電壓,也是浪湧抑製電路的輸出電壓,∆Uc 為 CY 電容兩端的電壓變化量,但由於雷電脈衝的周期很長,占空比很小,可以認為 Uc = ∆Uc,Up 為共模浪湧脈衝的峰值,q 為 CY 電容存儲的電荷,τ為共模浪湧脈衝的寬度,L 為電感,C 為電容。
根據上麵公式,假設浪湧峰值電壓 Up=4000Vp,電容 C=2500p,浪湧抑製電路的輸出電壓 Uc=2000Vp,則需要電感 L 的數值為 1H。顯然這個數值非常大,在實際中很難實現,所以上麵電路對雷電共模抑製的能力很有限,此電路還需進一步改進。
差模浪湧電壓抑製,主要是靠圖中的濾波電感 L1、L2 ,和濾波電容 CX ,L1、L2 濾波電感和 CX 濾波電容等參數的選擇,同樣可以用下麵公式來進行計算。

但上式中的 L 應該等於 L1 和 L2 兩個濾波電感之和,C=CX,Uc 等於差模抑製輸出電壓。一般,差模抑製輸出電壓應不大於 600Vp,因為很多半導體器件和電容的最大耐壓都在此電壓附近,並且,經過 L1 和 L2 兩個濾波電感以及 CX 電(dian)容(rong)濾(lv)波(bo)之(zhi)後(hou),雷(lei)電(dian)差(cha)模(mo)浪(lang)湧(yong)電(dian)壓(ya)的(de)幅(fu)度(du)雖(sui)然(ran)降(jiang)低(di)了(le),但(dan)能(neng)量(liang)基(ji)本(ben)上(shang)沒(mei)有(you)降(jiang)低(di),因(yin)為(wei)經(jing)過(guo)濾(lv)波(bo)之(zhi)後(hou),脈(mai)衝(chong)寬(kuan)度(du)會(hui)增(zeng)加(jia),一(yi)旦(dan)器(qi)件(jian)被(bei)擊(ji)穿(chuan),大(da)部(bu)分(fen)都(dou)無(wu)法(fa)恢(hui)複(fu)到(dao)原(yuan)來(lai)的(de)狀(zhuang)態(tai)。
根據上麵公式,假設浪湧峰值電壓 Up=4000Vp,脈衝寬度為 50uS,差模浪湧抑製電路的輸出電壓 Uc=600Vp,則需要 LC 的數值為 14mH×uF。顯xian然ran,這zhe個ge數shu值zhi對dui於yu一yi般ban電dian子zi產chan品pin的de浪lang湧yong抑yi製zhi電dian路lu來lai說shuo還hai是shi比bi較jiao大da的de,相xiang比bi之zhi下xia,增zeng加jia電dian感gan量liang要yao比bi增zeng加jia電dian容rong量liang更geng有you利li,因yin此ci最zui好hao選xuan用yong一yi種zhong有you 3 個窗口、用矽鋼片作鐵芯,電感量相對較大(大於 20mH)的電感作為浪湧電感,這種電感共模和差模電感量都很大,並且不容易飽和。 順便指出,整流電路後麵的電解濾波電容,同樣也具有抑製浪湧脈衝的功能,如果把此功能也算上,其輸出電壓 Uc 就不能選 600Vp,而隻能選為電容器的最高耐壓 Ur(400Vp)。
4、雷擊浪湧脈衝電壓抑製常用器件

避雷器件主要有陶瓷氣體放電管、氧化鋅壓敏電阻、半導體閘流管(TVS)、浪湧抑製電感線圈、X 類浪湧抑製電容等,各種器件要組合使用。
氣體放電管的種類很多,放電電流一般都很大,可達數十 kA,放電電壓比較高,放電管從點火到放電需要一定的時間,並且存在殘存電壓,性能不太穩定;氧化鋅壓敏電阻伏安特性比較好,但受功率的限製,電流相對比放電管小,多次被雷電過流擊穿後,擊穿電壓值會下降,甚至會失效;
半導體 TVS 管伏安特性最好,但功率一般都很小,成本比較高;浪湧抑製線圈是最基本的防雷器件,為防流過電網交流電飽和,必須選用三窗口鐵芯;X 電容也是必須的,要選用容許紋波電流較大的電容。
氣體放電管

qitifangdianguanzhizuoguodianyabaohuyongdebileiguanhuotianxiankaiguanguanyilei,guanneiyouergehuoduogedianji,chongyouyidingliangdeduoxingqiti。qitifangdianguanshiyizhongjianxishidefangleibaohuyuanjian,tayongzaitongxinxitongdefangleibaohu。
放電管的工作原理是氣體間隙放電 i 當放電管兩極之間施加一定電壓時,便在極間產生不均勻電場:在(zai)此(ci)電(dian)場(chang)作(zuo)用(yong)下(xia),管(guan)內(nei)氣(qi)體(ti)開(kai)始(shi)遊(you)離(li),當(dang)外(wai)加(jia)電(dian)壓(ya)增(zeng)大(da)到(dao)使(shi)極(ji)間(jian)場(chang)強(qiang)超(chao)過(guo)氣(qi)體(ti)的(de)絕(jue)緣(yuan)強(qiang)度(du)時(shi),兩(liang)極(ji)之(zhi)間(jian)的(de)間(jian)隙(xi)將(jiang)放(fang)電(dian)擊(ji)穿(chuan),由(you)原(yuan)來(lai)的(de)絕(jue)緣(yuan)狀(zhuang)態(tai)轉(zhuan)化(hua)為(wei)導(dao)電(dian)狀(zhuang)態(tai),導(dao)通(tong)後(hou)放(fang)電(dian)管(guan)兩(liang)極(ji)之(zhi)間(jian)的(de)電(dian)壓(ya)維(wei)持(chi)在(zai)放(fang)電(dian)弧(hu)道(dao)所(suo)決(jue)定(ding)的(de)殘(can)壓(ya)水(shui)平(ping),這(zhe)種(zhong)殘(can)壓(ya)一(yi)般(ban)很(hen)低(di),從(cong)而(er)使(shi)得(de)與(yu)放(fang)電(dian)管(guan)並(bing)聯(lian)的(de)電(dian)子(zi)設(she)備(bei)免(mian)受(shou)過(guo)電(dian)壓(ya)的(de)損(sun)壞(huai)。
氣體放電管有的是以玻璃作為管子的封裝外殼.也有的用陶瓷作為封裝外殼,放電管內充入電氣性能穩定的惰性氣體(如氬氣和氖氣等),常用放電管的放電電極一般為兩個、三個,電極之間由惰性氣體隔開。按電極個數的設置來劃分,放電管可分為二極、三極放電管。
陶瓷二極放電管由純鐵電極、鎳鉻鈷合金帽、銀銅焊帽和陶瓷管體等主要部件構成。管內放電電極上塗覆有放射性氧化物,管體內壁也塗覆有放射性元素,用於改善放電特性。
放(fang)電(dian)電(dian)極(ji)主(zhu)要(yao)有(you)杆(gan)形(xing)和(he)杯(bei)形(xing)兩(liang)種(zhong)結(jie)構(gou),在(zai)杆(gan)形(xing)電(dian)極(ji)的(de)放(fang)電(dian)管(guan)中(zhong),電(dian)極(ji)與(yu)管(guan)體(ti)壁(bi)之(zhi)間(jian)還(hai)要(yao)加(jia)裝(zhuang)一(yi)個(ge)圓(yuan)筒(tong)熱(re)屏(ping),該(gai)熱(re)屏(ping)可(ke)以(yi)使(shi)陶(tao)瓷(ci)管(guan)體(ti)受(shou)熱(re)趨(qu)於(yu)均(jun)勻(yun),不(bu)致(zhi)出(chu)現(xian)局(ju)部(bu)過(guo)熱(re)而(er)引(yin)起(qi)管(guan)斷(duan)裂(lie)。熱(re)屏(ping)內(nei)也(ye)塗(tu)覆(fu)放(fang)射(she)性(xing)氧(yang)化(hua)物(wu),以(yi)進(jin)一(yi)步(bu)減(jian)小(xiao)放(fang)電(dian)分(fen)散(san)性(xing)。在(zai)杯(bei)形(xing)電(dian)極(ji)的(de)放(fang)電(dian)管(guan)中(zhong),杯(bei)口(kou)處(chu)裝(zhuang)有(you)鉬(mu)網(wang),杯(bei)內(nei)裝(zhuang)有(you)銫(se)元(yuan)素(su),其(qi)作(zuo)用(yong)也(ye)是(shi)減(jian)小(xiao)放(fang)電(dian)分(fen)散(san)性(xing)。
三極放電管也是由純鐵電極、鎳鉻鈷合金帽、銀銅焊帽和陶瓷管體等部件構成。與二極放電管不同,在三極放電管中增加了鎳鉻鈷合金圓筒,作為第三極,即接地電極。

主要參數:
(1)直流擊穿電壓。此值由施加一個低上升速率(dv/dt=100V/s)的電壓值來決定。
(2)衝擊(或浪湧)擊穿電壓。它代表放電管的動態特性,常用上升速率為 dv/dt=1kV/us 的電壓值來決定。
(3)標稱衝擊放電電流。8/20us 波形(前沿 8us,半峰持續時間 20us)的額定放電電流,通常放電 10 次。
(4)標準放電電流。通過 50Hz 交流電流的額定有效值,規定每次放電的時間為 1s,放電 10 次。
(5)最大單次衝擊放電電流。對 8/20us 電流波的單次最大放電電流。
(6)耐工頻電流值。對 8/20us 電流波的單次最大放電電流。對 50Hz 交流電,能經受連續 9 個周波的最大電流的有效值。
(7)絕緣電阻。對 8/20us 電流波的單次最大放電電流。對 50Hz 交流電,能經受連續 9 個周波的最大電流的有效值。
(8)電容。放電管電極間的電容,一般在 2~10pF 之間,是所有瞬變幹擾吸收器件中最小的。

金屬氧化物壓敏電阻



壓敏電阻一般都是以氧化鋅為主要成分,另加少量的其它金屬氧化物(顆粒),如:鈷、猛、鉍等壓製而成。由於兩種不同性質的物體組合在一起,相當於一個 PN 結(二極管),因此,壓敏電阻相當於眾多的 PN 結串、並聯組成。
5、超高浪湧電壓抑製電路
實例 1

上圖是一個可抗擊較強雷電浪湧脈衝電壓的電原理圖,圖中:G1、G2 為氣體放電管,主要用於對高壓共模浪湧脈衝抑製,對高壓差模浪湧脈衝也同樣具有抑製能力;VR 為壓敏電阻,主要用於對高壓差模浪湧脈衝抑製。經過 G1、G2 和 VR 抑製後,共模和差模浪湧脈衝的幅度和能量均大幅度降低。
G1、G2 的擊穿電壓可選 1000Vp~3000Vp,VR 的壓敏電壓一般取工頻電壓最大值的 1.7 倍。
G1、G2 擊穿後會產生後續電流,一定要加保險絲以防後續電流過大使線路短路。
實例 2

增加了兩個壓敏電阻 VR1、VR2 和一個放電管 G3,主要目的是加強對共模浪湧電壓的抑製,由於壓敏電阻有漏電流,而一般電子產品都對漏電流要求很嚴格(小於 0.7mAp),所以圖中加了一個放電管 G3,使平時電路對地的漏電流等於 0。G3 的擊穿電壓要遠小於 G1、G2 的擊穿電壓,采用 G3 對漏電隔離後,壓敏電阻 VR1 或 VR2 的擊穿電壓可相應選得比較低,VR1、VR2 對差模浪湧電壓也有很強的抑製作用。
實例 3

G1 是一個三端放電管,它相當於把兩個二端放電管安裝在一個殼體中,用它可以代替上麵兩個實例中的 G1、G2 放電管。除了二端、三端放電管之外,放電管還有四端、五端的,各放電管的用途也不完全相同。
實例 4

增加了兩個壓敏電阻(VR1、VR2),主要目的是為了隔斷 G1 擊穿後產生的後續電流,以防後續電流過大使輸入電路短路,但由於 VR1、VR2 的最大峰值電流一般隻有 G1 的幾十分之一,所以,本實例對超高浪湧電壓的抑製能力相對實例 3 要的抑製能力差很多。
實例 5 直接在 PCB 板上製作避雷裝置

在 PCB banshangzhijiezhizuofangdianbileizhuangzhi,keyidaitifangleifangdianguan,keyiyizhishuwanfugongmohuochamolangyongdianyachongji,bileizhuangzhidianjizhijianjuliyibanyaoqiubijiaoyange,shurudianyawei AC110V 時,電極之間距離可選 4.5mm,輸入電壓為 AC220V 時,可選 6mm;避雷裝置的中間電極一定要接到三端電源線與 PCB 板連接的端口上。
實例 6 PCB 板氣隙放電裝置代替放電管

在 PCB 板上直接製作氣隙放電裝置,正常放電電壓為每毫米 1000~1500V,4.5mm 爬電距離的放電電壓大約為 4500~6800Vp,6mm 爬電距離的放電電壓大約為 6000~9000Vp。
6、各種防雷器件的連接
避雷器件的安裝順序不能搞錯,放電管必須在最前麵,其次是浪湧抑製電感和壓敏電阻(或放電管),再其次才是半導體 TVS 閘流管或 X 類電容及 Y 類電容。


免責聲明:本文為轉載文章,轉載此文目的在於傳遞更多信息,版權歸原作者所有。本文所用視頻、圖片、文字如涉及作品版權問題,請聯係小編進行處理。
特別推薦
- 噪聲中提取真值!瑞盟科技推出MSA2240電流檢測芯片賦能多元高端測量場景
- 10MHz高頻運行!氮矽科技發布集成驅動GaN芯片,助力電源能效再攀新高
- 失真度僅0.002%!力芯微推出超低內阻、超低失真4PST模擬開關
- 一“芯”雙電!聖邦微電子發布雙輸出電源芯片,簡化AFE與音頻設計
- 一機適配萬端:金升陽推出1200W可編程電源,賦能高端裝備製造
技術文章更多>>
- 算力爆發遇上電源革新,大聯大世平集團攜手晶豐明源線上研討會解鎖應用落地
- 築基AI4S:摩爾線程全功能GPU加速中國生命科學自主生態
- 一秒檢測,成本降至萬分之一,光引科技把幾十萬的台式光譜儀“搬”到了手腕上
- AI服務器電源機櫃Power Rack HVDC MW級測試方案
- 突破工藝邊界,奎芯科技LPDDR5X IP矽驗證通過,速率達9600Mbps
技術白皮書下載更多>>
- 車規與基於V2X的車輛協同主動避撞技術展望
- 數字隔離助力新能源汽車安全隔離的新挑戰
- 汽車模塊拋負載的解決方案
- 車用連接器的安全創新應用
- Melexis Actuators Business Unit
- Position / Current Sensors - Triaxis Hall
熱門搜索




