用於高頻接收器和發射器的鎖相環——第二部分
發布時間:2020-01-12 責任編輯:wenwei
【導讀】本係列文章的第一部分 介紹了關於鎖相環(PLL)的基本概念, 說明了PLL架構和工作原理,同時以一個例子說明了PLL在通信係統中的用途。
在第二部分中,我們將側重於詳細考察與PLL相關的兩個關 鍵技術規格:相位噪聲和參考雜散。導致相位噪聲和參考雜 散的原因是什麼,如何將其影響降至最低?討論將涉及測量 技術以及這些誤差對係統性能的影響。我們還將考慮輸出漏 電流,舉例說明其在開環調製方案中的重要意義。
振蕩器係統中的噪聲
在任何振蕩器設計中,頻率穩定性都至關重要。我們需要考 慮長期和短期穩定性。長期頻率穩定性是關於輸出信號在較 長時間(幾小時、幾天或幾個月)內的變化情況。其通常以一 定時間內的比率f/f來規定,單位為百分比或dB。

圖1. 振蕩器的短期穩定性。
信號源中的已知時鍾頻率、電力線幹擾和混頻器產品都可能 引起離散雜散成分。隨機噪聲波動引起的擴張是相位噪聲造 成的。其可能是有源和無源器件中的熱噪聲、散粒噪聲和/或 閃爍噪聲造成的。
電壓控製振蕩器中的相位噪聲
在考察PLL係統中的相位噪聲之前,我們先看看電壓控製振 蕩器(VCO)中的相位噪聲。理想的VCO應該沒有相位噪聲。 在頻譜分析儀上看到的輸出應是一條譜線。當然,事實並 非如此。輸出上會有抖動,頻譜分析儀會顯示出相位噪 聲。為了便於理解相位噪聲,請考慮一種相量表示方式, 如圖2所示。

圖2. 相位噪聲的相量表示。
圖中所示信號的角速度為wo,峰值幅度為VSPK。疊加於其上 的誤差信號的角速度為wm。Δrms表示相位波動的均方根 值,單位為rms度數。
在許多無線電係統中,必須符合總積分相位誤差規格的要求。該總相位誤差由PLL相位誤差、調製器相位誤差和基帶元件導致的相位誤差構成。例如,在GSM中,允許的總相位 誤差為5度rms。
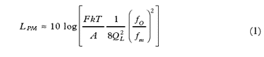
Leeson方程
Leeson(第6項參考文獻)提出了一項方程,用以描寫VCO中的 不同噪聲組分。

其中:
LPM為單邊帶相位噪聲密度(dBc/Hz)
F為工作功率水平A(線性)下的器件噪聲係數
k為玻爾茲曼常數,1.38 × 10-23 J/K
T為溫度(K)
A為振蕩器輸出功率(W)
QL為加載的Q(無量綱)
fo為振蕩器載波頻率
fm為載波頻率失調
要使Leeson方程有效,以下條件必須成立:
● fm,載波頻率失調大於1/f閃爍角頻;
● 已知工作功率水平下的噪聲係數;
● 器件運行呈線性特征;
● Q包括元件損耗、器件加載和緩衝器加載的影響;
● 振蕩器中隻使用了一個諧振器。
從理論上講,噪聲功率密度由調幅(調相)和調相(調相)分量組成。這意味著總噪聲功率密度是上述的兩倍。然而,在實踐中,PM噪聲占主導地位的頻率接近承運人和AM噪聲占主導地位的頻率有些遠離承運人。

圖3. VCO中的相位噪聲與頻率失調的關係。
Leeson方程隻適用於斷點(f1) 與從"1/f" (更普遍的情況是1/fgamma) 閃爍噪聲頻率到超過後放大白噪聲將占據主導的頻率點 (f2). 的 躍遷之間的膝部區域。如圖3所示[gamma = 3]. f1 應盡量低;一般 地,它小於1 kHz,而f2則在幾MHz以內。高性能振蕩器要求 使用針對低1/f躍遷頻率而專門選擇的器件。有關如何盡量降 低VCO中相位噪聲的一些指導方針如下:
1. 使變容二極管的電壓足夠高(一般在3至3.8 V)
2. 在直流電壓電源上用濾波。
3. 使電感Q盡量高。典型的現成線圈的Q在50至60之間。
4. 選擇一個噪聲係數最小且閃爍頻率低的有源器件。閃爍噪 聲可借助反饋元件降低。
5. 多數有源器件都展現出較寬的U形噪聲係數與偏置電流之 關係曲線。用該信息來為器件選擇最佳工作偏置電流。
6. 使振蕩電路輸出端的平均功率最大化。
7. 在對VCO進行緩衝時,要使用噪聲係數最低的器件。
閉環
前麵,我們討論了自由運行VCO中的相位噪聲,考慮了降低 該噪聲的方式,接下來,我們將考慮閉環(見 本係列第一部 分) )對相位噪聲的影響。

圖4. PLL相位噪聲的貢獻因素。
圖4所示為PLL中的主要相位噪聲貢獻因素。係統傳遞函數可 通過以下等式來描述:

在下麵的討論中,我們將把SREF定義為出現於參考輸入上且在 鑒相器上看到的噪聲。該噪聲取決於參考分頻器電路和主參 考信號的頻譜純度。SN為出現在頻率輸入端且在鑒相器上看 到的、由反饋分頻器導致的噪聲。SCP為因鑒相器導致的噪聲 (取決於具體的實現方法)。SVCO為VCO的相位噪聲,可用前麵 提出的方程來描述。
輸出端的整體相位噪聲性能取決於上麵描述的各項。以均 方根方式對輸出端的所有效應加總,得到係統的總噪聲。 因此:
其中:
STOT2為輸出端的總相位噪聲功率。
X2為輸出端因SN 和 SREF導致的噪聲功率。
Y2為輸出端因SCP導致的噪聲功率。
Z2為輸出端因SVCO導致的噪聲功率。
對於PD輸入端的噪聲項SREF 和 SN,其運算方式與 SREF相同,還 要乘以係統的閉環增益。

低頻下,在環路帶寬範圍內,

高頻下,在環路帶寬範圍以外,
鑒相器噪聲 SCP導致的總輸出噪聲貢獻可通過把SCP引回PFD的 輸入端來計算。PD輸入端的等效噪聲為SCP/Kd。然後將其乘 以閉環增益:

最後,VCO噪聲 SVCO對輸出相位噪聲的貢獻可按類似方式計 算得到。這裏的正向增益很簡單,就是1。因此,其對輸出噪 聲的貢獻為:

閉環響應的正向環路增益G通常是一個低通函數;在低頻下 非常大,在高頻下則非常小。H為一常數,1/N。因此,以上 表達式的分母為低通,可見SVCO實際上是由閉環濾波的高通。
針對PLL/VCO中噪聲貢獻因素的類似描述見參考文獻1。前麵 提到,閉環響應是一個低通濾波器,其截止頻率為3-dB,其 中,BW表示環路帶寬。對於輸出端小於BW的頻率失調,輸出 相位噪聲響應中的主導項為X和Y、參考噪聲N(計數器噪聲) 導致的噪聲項和電荷泵噪聲。使SN和SREF保持最小,使Kd保 持較大值並使N保持較小值,可以使環路帶寬BW中的相位噪 聲最小化。由於N對輸出頻率編程,因此,在降噪方麵一般 不予考慮。
對於遠遠大於BW的頻率失調,主導噪聲項為VCO導致的噪聲 項SVCO.。這是由於環路對VCO相位噪聲進行高通濾波的關 係。較小的BW的值最為理想,因為可以最大限度地降低積分 輸出噪聲(相位誤差)。然而,較小的BW會導致緩慢的瞬態響 應,並加大環路帶寬中VCO相位噪聲的影響。因此,環路帶 寬計算必須權衡瞬態響應以及總輸出積分相位噪聲。
為了展示閉環對PLL的影響,圖5展示了一個自由運行的VCO 的輸出與一個作為PLL一部分的VCO的輸出相疊加的情況。 請注意,與自由運行VCO相比,PLL的帶內噪聲已經衰減。

圖5. 一個自由運行VCO和一個PLL連接VCO上的相位噪聲。
相位噪聲測量
測量相位噪聲的一種最為常用的方法是使用高頻頻譜分析儀。 圖6為一個典型示例,展示了通過分析儀可以看到的情況。

圖6. 相位噪聲定義。
借助頻譜分析儀,我們可以測量各單位帶寬的相位波動頻譜 密度。VCO相位噪聲最好在頻域中描述,其中,頻譜密度是 通過測量輸入信號中心頻率任一端的噪聲邊帶獲得的。相位 噪聲功率以分貝為單位,為在偏離載波達給定頻率時相對於 載波(dBc/Hz)的分貝數。以下等式描述了該SSB相位噪聲 (dBc/Hz)。


圖7. 用頻譜分析儀測量相位噪聲。
設在頻譜分析儀後麵板連接器上的10-MHz、0-dBm參考振蕩 器具有優秀的相位噪聲性能。R分頻器、N分頻器和鑒相器都 是ADF4112頻率合成器的一部分。這些分頻器可通過PC進行 控製,從而按順序編程。頻率和相位噪聲性能可通過頻譜分 析儀觀察。

圖8. 頻譜分析儀的典型輸出。
圖8所示為一款采用ADF4112 PLL和Murata VCO (MQE520-1880) 的PLL頻率合成器的典型相位噪聲圖。頻率和相位噪聲均在 5-kHz的範圍內測得。所用參考頻率為fREF = 200 kHz (R = 50), 輸出頻率為1880 MHz (N = 9400)。如果這是一款理想的PLL頻 率合成器,則會顯示一個離散信號音升至頻譜分析儀噪底之 上。這裏展示的正是該信號音,其中,相位噪聲由環路元件 所致。選擇的環路濾波器值旨在使環路帶寬達20 kHz左右。相位噪 聲中與低於環路帶寬的頻率失調相對應的平坦部分實際上是 “閉環”部分用X2和Y2描述的相位噪聲,適用於f處於環路帶 寬範圍內的情況。其額定失調為1-kHz。實測值,即1-Hz帶 寬範圍內的相位噪聲功率為–85.86 dBc/Hz。它包括以下組成 部分:
● 1-kHz失調條件下,載波與邊帶噪聲(單位:dBc)之間的相 對功率。
● 頻譜分析儀顯示特定分辨率帶寬(RBW)的功率。圖中使用 的是10-Hz RBW。要在1-Hz帶寬範圍內表示該功率,必須 從(1)所得結果中減去10log(RBW)。
● 必須把考慮了RBW實現方法、對數顯示模式和檢波器特征 的校正係數加到(2)所得結果中。
● 對於HP 8561E,可使用標記噪聲函數MKR NOISE快速測量 相位噪聲。該函數考慮了上述三個因素並以dBc/Hz為單位 顯示相位噪聲。
以上的相位噪聲測量值為VCO輸出端的總輸出相位噪聲。如 果我們要估算PLL器件的貢獻(鑒相器、 R&N 分頻器和鑒相器 增益常數導致的噪聲),則必須將結果除以N2(或者從以上結 果中減去20×logN )。結果得到相位噪底[-85.86 - 20×log(9400)] = -165.3 dBc/Hz.
參考雜散
在整數N PLL(其中,輸出頻率為參考輸入的整數倍)中,導致 參考雜散的原因是,電荷泵以參考頻率速率持續更新。我們再來看看本係列第一部分 中討論過的基本PLL模型。該模型 在這裏重複如圖9所示。

圖9. 基本PLL模型。
當PLL鎖定時,PFD的相位和頻率輸出(fREF和fN)實際上是相等 的,並且在理論上,PFD無輸出。然而,這可能導致一些問 題(留待本係列第三部分討論),因此,PFD在設計上應使得其 處於鎖定狀態時,來自電荷泵的典型電流脈衝如圖10所示。

圖10. 來自PFD電荷泵的輸出電流脈衝。
盡管這些脈衝具有極窄的寬度,但它們的存在意味著驅動 VCO的直流電壓是由頻率為fREF的信號進行調製的。這會在 RF輸出中產生參考雜散,且發生的失調頻率為fREF的整數倍 數。可以用頻譜分析儀來檢測參考雜散。隻需把範圍增至 參考頻率的兩倍以上即可。典型曲線圖如圖11所示。本例 中,參考頻率為200 kHz;顯然,圖中參考雜散發生於RF輸出 1880 MHz± 200 kHz的範圍內。這些雜散的電平為–90 dB。如 果把範圍增至參考頻率的四倍以上,則在(2 × fREF)時也可看 到雜散。 電

圖11. 輸出頻譜中的參考雜散。
電荷泵漏電流
當把頻率合成器的CP輸出編程為高阻抗狀態時,理論上,不 會有漏電流流動。實際上,在某些應用中,漏電流的大小會 影響到係統的整體性能。例如,考慮這樣一種應用,其中, 開環模式使用一個PLL來實現頻率調製——這是一種簡單而經 濟的高頻方法,比閉環模式支持更高的數據速率。對於FM來 說,盡管閉環法確實有效,但數據速率卻受環路帶寬的限製。一種采用開環調製的係統是歐洲無繩電話係統DECT。輸 出載波頻率範圍為1.77 GHz至1.90 GHz,數據速率較高,達 1.152 Mbps。

圖12. 開環調製框圖。
開環調製的框圖如圖12所示。工作原理如下:開始時,環路 閉合以鎖定RF輸出,fOUT = N fREF。調製信號被開啟,開始時, 調製信號隻是調製的直流均值。然後,把頻率合成器的CP輸 出置於高阻抗模式,從而斷開環路,同時將調製數據饋入高 斯濾波器。然後,調製電壓出現在VCO,並乘以KV。當數據 突發結束時,環路返回閉環工作模式。
由於VCO通常具有高靈敏度(典型值在20至80 MHz/V之間), 因此,在VCO之前的任何小電壓漂移都會導致輸出載波頻率 漂移。在高阻抗模式下,該電壓漂移以及由此導致的係統頻 率漂移直接取決於電荷泵CP的漏電流。該漏電流會導致環路 電容充電或放電,具體取決於漏電流的極性。例如,1 nA的漏 電流會導致環路電容(如1000 pF)上的電壓充電或放電dV/dt = I/C(本例中為1 V/s)。這又會導致VCO漂移。因此,如果環路斷 開1 ms且VCO的KV為50 MHz/V,則1-nA漏電流在1000-pF環路 電容中導致的頻率漂移為50 kHz。事實上,DECT突發脈衝一 般較短(0.5 ms),因此,對於本例中所使用的環路電容和漏電 流,漂移實際上會更小。然而,這的確可以證明電荷泵漏電 流在這類應用中的重要性。
接收器靈敏度
<p接收器靈敏度指定接收器對弱編號的響應能力。數字接收器> </p接收器靈敏度指定接收器對弱編號的響應能力。數字接收器>
LO中的寬帶噪聲會提高IF噪聲水平,從而降低總噪聲係數。 例如,FLO + FIF條件下的寬帶相位噪聲會在FIF下產生噪聲積。 這會對接收器靈敏度造成直接影響。該寬帶相位噪聲主要取 決於VCO相位噪聲。
LO中的近載波相位噪聲也會影響到靈敏度。顯然,接近FLO 的 任何噪聲都會產生接近FIF的噪聲積,並直接影響靈敏度。
接收器選擇性
<p接收器靈敏度指定接收器對弱編號的響應能力。數字接收器> <p接收器靈敏度指定接收器對目標接收通道鄰道做出響應的傾>

圖13. 鄰道幹擾。
</p接收器靈敏度指定接收器對目標接收通道鄰道做出響應的傾></p接收器靈敏度指定接收器對弱編號的響應能力。數字接收器>
結論
在本係列的第二部分中,我們討論了與PLL頻率合成器相關 的部分重要技術規格,介紹了相應的測量技術,並展示了一 些結果示例。另外,我們還簡要討論了相位噪聲、參考雜散 和漏電流對係統的影響。
在本係列的最後一部分 中,我們將考察PLL頻率合成器的構 建模塊。此外,還將對PLL的整數N和小數N架構進行比較。
參考電路
1. Mini-Circuits Corporation公司,VCO設計師手冊, 1996年。
2. L.W. Couch, 數字與模擬通信係統, Macmillan Publishing Company, New York, 1990年。
3. P. Vizmuller, RF設計指南, Artech House, 1995年。
4. R.L. Best, Phase Locked Loops: 鎖相環:設計、仿真與應 用, 第3版, McGraw-Hill, 1997年。
5. D.E. Fague, "無繩通信係統中的VCO開環調製", RF設 計,1994年7月。
6. D.B. Leeson, "反饋振蕩器噪聲頻譜簡化模型", IEEE會 刊, 第42卷,1965年2月,第329–330頁。
致謝
筆者希望借此機會向利默裏克ADI通用RF應用部門的Brendan Daly表示誠摯的謝意,他提供了相位噪聲和參考雜散的曲 線圖。
推薦閱讀:
特別推薦
- 噪聲中提取真值!瑞盟科技推出MSA2240電流檢測芯片賦能多元高端測量場景
- 10MHz高頻運行!氮矽科技發布集成驅動GaN芯片,助力電源能效再攀新高
- 失真度僅0.002%!力芯微推出超低內阻、超低失真4PST模擬開關
- 一“芯”雙電!聖邦微電子發布雙輸出電源芯片,簡化AFE與音頻設計
- 一機適配萬端:金升陽推出1200W可編程電源,賦能高端裝備製造
技術文章更多>>
- 貿澤EIT係列新一期,探索AI如何重塑日常科技與用戶體驗
- 算力爆發遇上電源革新,大聯大世平集團攜手晶豐明源線上研討會解鎖應用落地
- 創新不止,創芯不已:第六屆ICDIA創芯展8月南京盛大啟幕!
- AI時代,為什麼存儲基礎設施的可靠性決定數據中心的經濟效益
- 矽典微ONELAB開發係列:為毫米波算法開發者打造的全棧工具鏈
技術白皮書下載更多>>
- 車規與基於V2X的車輛協同主動避撞技術展望
- 數字隔離助力新能源汽車安全隔離的新挑戰
- 汽車模塊拋負載的解決方案
- 車用連接器的安全創新應用
- Melexis Actuators Business Unit
- Position / Current Sensors - Triaxis Hall
熱門搜索
微波功率管
微波開關
微波連接器
微波器件
微波三極管
微波振蕩器
微電機
微調電容
微動開關
微蜂窩
位置傳感器
溫度保險絲
溫度傳感器
溫控開關
溫控可控矽
聞泰
穩壓電源
穩壓二極管
穩壓管
無焊端子
無線充電
無線監控
無源濾波器
五金工具
物聯網
顯示模塊
顯微鏡結構
線圈
線繞電位器
線繞電阻



