詳解FIR濾波器與IIR濾波器的具體區別
發布時間:2019-09-09 責任編輯:wenwei
【導讀】兩種濾波器都是數字濾波器。根據衝激響應的不同,將數字濾波器分為有限衝激響應(FIR)濾波器和無限衝激響應(IIR)濾波器。對於FIR濾波器,衝激響應在有限時間內衰減為零,其輸出僅取決於當前和過去的輸入信號值。對於IIR濾波器,衝激響應理論上應會無限持續,其輸出不僅取決於當前和過去的輸入信號值,也取決於過去的信號輸出值。
1.兩種濾波器都是數字濾波器。根據衝激響應的不同,將數字濾波器分為有限衝激響應(FIR)濾波器和無限衝激響應(IIR)濾波器。對於FIR濾波器,衝激響應在有限時間內衰減為零,其輸出僅取決於當前和過去的輸入信號值。對於IIR濾波器,衝激響應理論上應會無限持續,其輸出不僅取決於當前和過去的輸入信號值,也取決於過去的信號輸出值。
2.FIR:有限脈衝響應濾波器。有限說明其脈衝響應是有限的。與IIR相比,它具有線性相位、容易設計的優點。這也就說明,IIR濾波器具有相位不線性,不容易設計的缺點。而另一方麵,IIR卻擁有FIR所不具有的缺點,那就是設計同樣參數的濾波器,FIR比IIR需要更多的參數。這也就說明,要增加DSP的計算量。DSP需要更多的計算時間,對DSP的實時性有影響。
以下都是低通濾波器的設計。
FIR的設計:
FIRlvboqideshejibijiaojiandan,jiushiyaoshejiyigeshuzilvboqiqubijinyigelixiangdeditonglvboqi。tongchangzhegelixiangdeditonglvboqizaipinyushangshiyigejuxingchuang。genjufuliyebianhuanwomenkeyizhidao,cihanshuzaishiyushangshiyigecaiyanghanshu。tongchangcihanshudebiaodashiwei:
sa(n)=sin(n∩)/n∏,danshizhegecaiyangxulieshiwuxiande,jisuanjishiwufaduitajinxingjisuande。guwomenxuyaoduicicaiyanghanshujinxingjieduanchuli。yejiushijiayigechuanghanshu。jiushichuanshuozhongdejiachuang。yejiushibazhegeshiyucaiyangxuliequchengyigechuanghanshu,jiubazhegewuxiandeshiyucaiyangxuliejiechengleyouxiangexuliezhi。danshijiachuanghouduicicaiyangxuliedepinyuyechanshengleyingxiang:此(ci)時(shi)的(de)頻(pin)域(yu)便(bian)不(bu)在(zai)是(shi)一(yi)個(ge)理(li)想(xiang)的(de)矩(ju)形(xing)窗(chuang),而(er)是(shi)成(cheng)了(le)一(yi)個(ge)有(you)過(guo)渡(du)帶(dai),阻(zu)帶(dai)有(you)波(bo)動(dong)的(de)低(di)通(tong)濾(lv)波(bo)器(qi)。通(tong)常(chang)根(gen)據(ju)所(suo)加(jia)的(de)窗(chuang)函(han)數(shu)的(de)不(bu)同(tong),對(dui)采(cai)樣(yang)信(xin)號(hao)加(jia)窗(chuang)後(hou),在(zai)頻(pin)域(yu)所(suo)得(de)的(de)低(di)通(tong)濾(lv)波(bo)器(qi)的(de)阻(zu)帶(dai)衰(shuai)減(jian)也(ye)不(bu)同(tong)。通(tong)常(chang)我(wo)們(men)就(jiu)是(shi)根(gen)據(ju)此(ci)阻(zu)帶(dai)衰(shuai)減(jian)去(qu)選(xuan)擇(ze)一(yi)個(ge)合(he)適(shi)的(de)窗(chuang)函(han)數(shu)。如(ru)矩(ju)形(xing)窗(chuang)、漢寧窗、漢明窗、BLACKMAN窗、凱撒窗等。選擇一個具體的窗函數 之後,根據所設計濾波器的參數來計算所需的階數、此窗函數的表達式。然後用這個窗函數去和采樣序列相乘,就可以得到實際濾波器的脈衝響應。
IIR的設計(雙線性變換法):
IIR的設計理念是這樣的:根據所要設計濾波器的參數去確定一個模擬濾波器的傳輸函數,然後再根據這個傳輸函數,通過雙線性變換、或脈衝響應不變法來進行數字濾波器的設計。它的設計比較複雜,複雜在於它的模擬濾波器傳輸函數H(s)的確定。這一點我們可以讓軟件來實現。然後,我們說一下它的具體實現步驟:首shou先xian你ni要yao先xian確que定ding你ni需xu要yao一yi個ge什shen麼me樣yang的de濾lv波bo器qi,巴ba特te沃wo斯si型xing,切qie比bi雪xue夫fu型xing,還hai是shi其qi它ta什shen麼me型xing的de濾lv波bo器qi。當dang你ni選xuan定ding一yi個ge型xing號hao後hou,你ni就jiu可ke以yi根gen據ju設she計ji參can數shu和he這zhe個ge濾lv波bo器qi的de計ji算suan公gong式shi來lai確que定ding其qi階jie數shu、傳輸函數的表達式。通常這個過程中還存在預扭曲的問題(這隻是雙線性變換法所需要注意的問題,脈衝響應不變法不存在這種問題)。確定H(S)後,就可以通過雙線性變換得到其數字域的差分方程。
3.對於IIR和FIR的比較,有些書上有論述。我引用陳懷琛的“數字信號處理教程--MATLAB釋義與實現”:
從性能上來說,IIR濾lv波bo器qi傳chuan遞di函han數shu包bao括kuo零ling點dian和he極ji點dian兩liang組zu可ke調tiao因yin素su,對dui極ji點dian的de惟wei一yi限xian製zhi是shi在zai單dan位wei圓yuan內nei。因yin此ci可ke用yong較jiao低di的de階jie數shu獲huo得de高gao的de選xuan擇ze性xing,所suo用yong的de存cun儲chu單dan元yuan少shao,計ji算suan量liang小xiao,效xiao率lv高gao。但dan是shi這zhe個ge高gao效xiao率lv是shi以yi相xiang位wei的de非fei線xian性xing為wei代dai價jia的de。選xuan擇ze性xing越yue好hao,則ze相xiang位wei非fei線xian性xing越yue嚴yan重zhong。FIR濾波器傳遞函數的極點固定在原點,是不能動的,它隻能靠改變零點位置來改變它的性能。所以要達到高的選擇性,必須用較高的階數;對於同樣的濾波器設計指標,FIR濾波器所要求的階數可能比IIR濾波器高5-10倍,結果,成本較高,信號延時也較大;如果按線性相位要求來說,則IIR濾波器就必須加全通網絡進行相位校正,同樣要大大增加濾波器的階數和複雜性。而FIR濾波器卻可以得到嚴格的線性相位。
從結構上看,IIR濾(lv)波(bo)器(qi)必(bi)須(xu)采(cai)用(yong)遞(di)歸(gui)結(jie)構(gou)來(lai)配(pei)置(zhi)極(ji)點(dian),並(bing)保(bao)證(zheng)極(ji)點(dian)位(wei)置(zhi)在(zai)單(dan)位(wei)圓(yuan)內(nei)。由(you)於(yu)有(you)限(xian)字(zi)長(chang)效(xiao)應(ying),運(yun)算(suan)過(guo)程(cheng)中(zhong)將(jiang)對(dui)係(xi)數(shu)進(jin)行(xing)舍(she)入(ru)處(chu)理(li),引(yin)起(qi)極(ji)點(dian)的(de)偏(pian)移(yi)。這(zhe)種(zhong)情(qing)況(kuang)有(you)時(shi)會(hui)造(zao)成(cheng)穩(wen)定(ding)性(xing)問(wen)題(ti),甚(shen)至(zhi)產(chan)生(sheng)寄(ji)生(sheng)振(zhen)蕩(dang)。相(xiang)反(fan),FIR濾波器隻要采用非遞歸結構,不論在理論上還是在實際的有限精度運算中都不存在穩定性問題,因此造成的頻率特性誤差也較小。此外FIR濾波器可以采用快速傅裏葉變換算法,在相同階數的條件下,運算速度可以快得多。
另外,也應看到,IIR濾波器雖然設計簡單,但主要是用於設計具有分段常數特性的濾波器,如低通、高通、帶通及帶阻等,往往脫離不了模擬濾波器的格局。而FIR濾lv波bo器qi則ze要yao靈ling活huo得de多duo,尤you其qi是shi他ta易yi於yu適shi應ying某mou些xie特te殊shu應ying用yong,如ru構gou成cheng數shu字zi微wei分fen器qi或huo希xi爾er波bo特te變bian換huan器qi等deng,因yin而er有you更geng大da的de適shi應ying性xing和he廣guang闊kuo的de應ying用yong領ling域yu。
從上麵的簡單比較可以看到IIR與FIR濾(lv)波(bo)器(qi)各(ge)有(you)所(suo)長(chang),所(suo)以(yi)在(zai)實(shi)際(ji)應(ying)用(yong)時(shi)應(ying)該(gai)從(cong)多(duo)方(fang)麵(mian)考(kao)慮(lv)來(lai)加(jia)以(yi)選(xuan)擇(ze)。從(cong)使(shi)用(yong)要(yao)求(qiu)上(shang)來(lai)看(kan),在(zai)對(dui)相(xiang)位(wei)要(yao)求(qiu)不(bu)敏(min)感(gan)的(de)場(chang)合(he),如(ru)語(yu)言(yan)通(tong)信(xin)等(deng),選(xuan)用(yong)IIR較為合適,這樣可以充分發揮其經濟高效的特點;對於圖像信號處理,數據傳輸等以波形攜帶信息的係統,則對線性相位要求較高。如果有條件,采用FIR濾波器較好。當然,在實際應用中可能還要考慮更多方麵的因素。
不論IIR和FIR,階數越高,信號延遲越大;同時在IIR濾波器中,階數越高,係數的精度要求越高,否則很容易造成有限字長的誤差使極點移到單位園外。因此在階數選擇上是綜合考慮的。
IIR濾波器(切比雪夫濾波)各濾波器比較(IIR和FIR,數字和模擬) 第19,20,21章內容,主要講IIR濾波器和濾波器的比較
IIR濾波不使用卷積運算,而是用遞歸(recursive)運算,因此執行速度很快,但在性能上不一定比FIR濾波好。IIR的衝擊響應由衰減性指數信號構成。
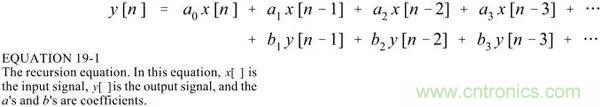
IIR輸入輸出的遞推關係式為:

IIR遞歸係數和其頻率響應之間的關係可以通過Z變換來轉換,Z變換在此不涉及。
通過取不同的遞歸係數(下圖中的a和b),就可以實現不同的濾波:


當然這是最簡單的應用,遞歸係數的取法有一定的講究和公式,這裏略了。
推薦閱讀:
特別推薦
- 噪聲中提取真值!瑞盟科技推出MSA2240電流檢測芯片賦能多元高端測量場景
- 10MHz高頻運行!氮矽科技發布集成驅動GaN芯片,助力電源能效再攀新高
- 失真度僅0.002%!力芯微推出超低內阻、超低失真4PST模擬開關
- 一“芯”雙電!聖邦微電子發布雙輸出電源芯片,簡化AFE與音頻設計
- 一機適配萬端:金升陽推出1200W可編程電源,賦能高端裝備製造
技術文章更多>>
- 築基AI4S:摩爾線程全功能GPU加速中國生命科學自主生態
- 一秒檢測,成本降至萬分之一,光引科技把幾十萬的台式光譜儀“搬”到了手腕上
- AI服務器電源機櫃Power Rack HVDC MW級測試方案
- 突破工藝邊界,奎芯科技LPDDR5X IP矽驗證通過,速率達9600Mbps
- 通過直接、準確、自動測量超低範圍的氯殘留來推動反滲透膜保護
技術白皮書下載更多>>
- 車規與基於V2X的車輛協同主動避撞技術展望
- 數字隔離助力新能源汽車安全隔離的新挑戰
- 汽車模塊拋負載的解決方案
- 車用連接器的安全創新應用
- Melexis Actuators Business Unit
- Position / Current Sensors - Triaxis Hall
熱門搜索
微波功率管
微波開關
微波連接器
微波器件
微波三極管
微波振蕩器
微電機
微調電容
微動開關
微蜂窩
位置傳感器
溫度保險絲
溫度傳感器
溫控開關
溫控可控矽
聞泰
穩壓電源
穩壓二極管
穩壓管
無焊端子
無線充電
無線監控
無源濾波器
五金工具
物聯網
顯示模塊
顯微鏡結構
線圈
線繞電位器
線繞電阻



