技術分享:單頻圓形微帶貼片天線設計
發布時間:2015-03-28 責任編輯:sherry
【導讀】本(ben)文(wen)對(dui)於(yu)微(wei)帶(dai)貼(tie)片(pian)天(tian)線(xian)的(de)設(she)計(ji),是(shi)基(ji)於(yu)其(qi)在(zai)無(wu)線(xian)引(yin)信(xin)中(zhong)的(de)應(ying)用(yong)而(er)進(jin)行(xing)的(de)。該(gai)設(she)計(ji)為(wei)了(le)便(bian)於(yu)引(yin)信(xin)的(de)使(shi)用(yong),將(jiang)常(chang)規(gui)微(wei)帶(dai)天(tian)線(xian)的(de)矩(ju)形(xing)介(jie)質(zhi)改(gai)為(wei)圓(yuan)形(xing)。從(cong)文(wen)中(zhong)天(tian)線(xian)的(de)幾(ji)個(ge)仿(fang)真(zhen)結(jie)果(guo)圖(tu)可(ke)以(yi)看(kan)出(chu),天(tian)線(xian)的(de)中(zhong)心(xin)頻(pin)率(lv)為(wei)7.2 GHz,且此時的天線回波損耗、輸入阻抗、增益方向圖等技術參數都達到了要求。結果表明該天線的性能良好。
weidaitianxianshizaiyikuaibeimianfuyijinshubocengzuojiedibandejiezhijipianshang,tieyijinshufushepianerxingchengdetianxian。tayouweidaixianhetongzhouxianzheliangzhongzhuyaodekuidianfangshi。weidaitianxianzaijinshutiepianyujinshujiedibanzhijianjifafushechang,tongguotiepiansizhouyujiedibanzhijiandefengxixiangwaifushe,yinciyechengzuofengxitianxian。pindaizhai、功率容量小、損耗大和基片對性能影響較大等是微帶天線的缺點,其優點是體積小,質量輕,低剖麵,製造簡單,成本低,易集成,容易實現雙頻、多頻段工作等,也正是這些優點,使得工作在100 MHz~50 GHz頻率範圍內的微帶天線常用於衛星通信、指揮和控製係統、導彈遙測、武器引信、環境檢測等。
無(wu)線(xian)電(dian)引(yin)信(xin)在(zai)軍(jun)事(shi)上(shang)可(ke)用(yong)於(yu)控(kong)製(zhi)武(wu)器(qi)彈(dan)丸(wan)的(de)引(yin)炸(zha),來(lai)達(da)到(dao)最(zui)大(da)的(de)殺(sha)傷(shang)效(xiao)果(guo)。而(er)天(tian)線(xian)屬(shu)於(yu)引(yin)信(xin)察(cha)覺(jiao)裝(zhuang)置(zhi)的(de)一(yi)部(bu)分(fen),用(yong)於(yu)發(fa)射(she)和(he)接(jie)收(shou)信(xin)號(hao)。所(suo)以(yi),天(tian)線(xian)的(de)性(xing)能(neng)對(dui)引(yin)信(xin)的(de)工(gong)作(zuo)狀(zhuang)態(tai)以(yi)及(ji)武(wu)器(qi)彈(dan)丸(wan)的(de)殺(sha)傷(shang)力(li)有(you)非(fei)常(chang)大(da)的(de)影(ying)響(xiang)。由(you)於(yu)天(tian)線(xian)要(yao)附(fu)著(zhe)在(zai)彈(dan)頭(tou)上(shang),而(er)一(yi)般(ban)的(de)彈(dan)體(ti)頭(tou)部(bu)大(da)都(dou)是(shi)圓(yuan)錐(zhui)形(xing),為(wei)了(le)便(bian)於(yu)將(jiang)微(wei)帶(dai)天(tian)線(xian)安(an)裝(zhuang)在(zai)彈(dan)頭(tou)部(bu)位(wei),本(ben)文(wen)將(jiang)設(she)計(ji)一(yi)個(ge)中(zhong)心(xin)頻(pin)率(lv)為(wei)7.2 GHz的圓形微帶貼片天線,其相對介電常數為εr = 4.4,損耗正切tan δ = 0.164 6。
1 圓形微帶天線設計
1.1 介質設計
zaitianxianshejizhong,jiezhijipiandecailiaojihoudu,duitianxiandexingnengyouhendayingxiang,suoyishouxianxuyaokaolvjiezhidecailiaojiqihoudu。ercailiaoxuanzezhuyaokaolvdediantexingcanshushiqixiangduijiedianchangshuεr和損耗角正切tan δ。介電常數的穩定性非常重要,變化的介電常數將導致貼片頻率漂移。介電常數大能減小貼片尺寸,但通常也會減小貼片單元帶寬;介(jie)電(dian)常(chang)數(shu)小(xiao)又(you)會(hui)增(zeng)加(jia)貼(tie)片(pian)周(zhou)圍(wei)的(de)邊(bian)緣(yuan)場(chang),降(jiang)低(di)輻(fu)射(she)效(xiao)率(lv)。大(da)損(sun)耗(hao)基(ji)片(pian)常(chang)常(chang)會(hui)降(jiang)低(di)天(tian)線(xian)效(xiao)率(lv),增(zeng)加(jia)反(fan)饋(kui)損(sun)耗(hao),所(suo)以(yi)在(zai)選(xuan)擇(ze)介(jie)質(zhi)材(cai)料(liao)時(shi),需(xu)要(yao)綜(zong)合(he)考(kao)慮(lv)。本(ben)設(she)計(ji)綜(zong)合(he)考(kao)慮(lv)後(hou),確(que)定(ding)以(yi)FR4環氧樹脂板為介質材料,其相對介電常數為εr = 4.4,損耗正切tan δ = 0.164 6,這也是微帶天線設計中常用的一種材料。
對基片的厚度而言,厚介質基片,可提高天線機械強度、增加輻射功率、減小導體損耗,展寬頻帶;但同時也會增加介質損耗,引起表麵波的明顯激勵。對於一個最大工作頻率fm,根據微帶電路理論,厚度應該滿足:

式中:c為光速;fm 為最大工作頻率,εr 為相對介電常數。通常在h/fm< 0.1 即可保證不會引起表麵波的明顯激勵。
本設計以FR4板為介質基片,根據設計要求,考慮到擴寬頻帶,和減小天線的體積要求,再結合式(1),給出介質厚度的初始值為2 mm。
1.2 輻射貼片設計
對於已知的介質基片,在給定的工作頻率fr=7.20 GHz時,圓形微帶天線的貼片半徑為:

1.3 天線的饋電及輸入阻抗
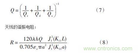
本設計采用同軸饋電的方式,是通過在輻射貼片上的饋電點位置不同來改變輸入阻抗,使天線獲得阻抗匹配。一般的微波器件通用的是50 Ω係統,所以需要通過改變饋電點的位置來使天線達到50 Ω的輸入阻抗。計算天線的輸入阻抗,需要從介質損耗、輻射損耗、導體損耗、表麵波損耗幾個方麵考慮,不能單方麵考慮某一因素,否則會引起很大的誤差。Qr,Qc,Qd,Qs分別是輻射損耗、導體損耗、介質損耗和表麵波損耗所引起的相應Q 值。
天線工作在主模,即TM11 時:

由於設計中采用理想導體饋電,故Qc = 0。所以:

式中:J1 是一階第一類貝塞耳函數。令R = 50 Ω ,代入式(8),就可以估算出饋電點的位置L,即在離圓形貼片中心L 處饋電,即是天線達到50 Ω 的輸入阻抗。
同軸線內芯半徑暫時設為0.6 mm,同時在接地板上挖出一個圓孔作為信號輸入端口,將內芯包圍起來構成同軸線,半徑約為1.5 mm,端口的阻抗為50 Ω。
通過上麵分析,得出天線參數的初始值:圓形輻射貼片半徑:a = 5.39 mm;介質基片厚度:h = 2.00 mm;介質基片半徑2*a;饋電點位置:L = 1.96 mm;內芯半徑:n = 0.6 mm;外芯半徑:m = 1.5 mm。
2 運用HFSS 軟件進行天線仿真
基於ANSOFT 公司HFSS 三維仿真軟件,對天線進行建模分析。仿真流程見圖1。

圖1 仿真流程圖
根據初始尺寸及HFSS天線設計要求,創建天線初始模型如圖2所示。

圖2 天線結構圖
通過HFSS對初始值的仿真可知,當前的初始值並沒有完全使天線達到7.2 GHz,且此時天線的各項性能指標也達不到要求。那麼,需要用到HFSS的掃頻分析和優化設計功能來優化天線的各項參數,使引信天線的性能達到最佳。
[page]
2.1 天線的優化設計
(1)通過HSFF 軟件在諧振頻率附近做掃頻分析,對圓形貼片的半徑進行修正。可以得到7.2 GHz 時對應的貼片半徑a 的最佳值為5.216 mm。
(2)分析介質基片厚度對天線性能的影響。借助於HFSS,得到對於不同的介質基片厚度對天線回波損耗的影響。根據回波損耗隨介質基片厚度的變化圖和不同介質基片厚度對S11, Smith 圓圖的影響,可以分析出介質基片厚度的最佳值h = 2.021 mm。
(3)分析饋電點位置對天線性能的影響。這部分主要是分析不同的饋電位置與回波損耗及輸入阻抗之間的關係。並通過對饋電點位置L 的掃描,選擇出最符合條件的饋電點L = 1.863 mm。
(4)用HFSS 軟件設計好天線的標準,然後對天線的各個參量進行係統自動優化,計算出符合條件的各參數的最佳值。得到的結果如下:
圓形輻射貼片半徑:a=5.216 mm;介質基片厚度:h=2.021 mm;介質基片半徑2*a;饋電點位置:L=1.863 mm;內芯半徑:n=0.516 mm;外芯半徑:m=1.854 mm。
2.2 結果分析
由HFSS軟件給出在優化尺寸下的S11,Simth圓圖、增益的方向圖,如圖3~圖5所示。

圖5

從圖3 結果可以看出,設計天線的諧振頻率是7.2 GHz,且此時的回波損耗為-33.037 9 dB,達到了天線的設計要求。
圖4顯示,在頻率為7.2 GHz時,天線的歸一化阻抗為(0.977 5 + 0.037 9i)Ω ,這個結果顯示出此時天線達到了很好的阻抗匹配狀態。
圖5是天線在xz 和yz 截麵上的增益方向圖。圖示結果顯示,最大輻射方向為φ = 0°, θ = 0°,且增益為5.486 dB。
圖6是天線的三維增益方向圖。

圖6 三維增益方向圖
特別推薦
- 噪聲中提取真值!瑞盟科技推出MSA2240電流檢測芯片賦能多元高端測量場景
- 10MHz高頻運行!氮矽科技發布集成驅動GaN芯片,助力電源能效再攀新高
- 失真度僅0.002%!力芯微推出超低內阻、超低失真4PST模擬開關
- 一“芯”雙電!聖邦微電子發布雙輸出電源芯片,簡化AFE與音頻設計
- 一機適配萬端:金升陽推出1200W可編程電源,賦能高端裝備製造
技術文章更多>>
- 算力爆發遇上電源革新,大聯大世平集團攜手晶豐明源線上研討會解鎖應用落地
- 築基AI4S:摩爾線程全功能GPU加速中國生命科學自主生態
- 一秒檢測,成本降至萬分之一,光引科技把幾十萬的台式光譜儀“搬”到了手腕上
- AI服務器電源機櫃Power Rack HVDC MW級測試方案
- 突破工藝邊界,奎芯科技LPDDR5X IP矽驗證通過,速率達9600Mbps
技術白皮書下載更多>>
- 車規與基於V2X的車輛協同主動避撞技術展望
- 數字隔離助力新能源汽車安全隔離的新挑戰
- 汽車模塊拋負載的解決方案
- 車用連接器的安全創新應用
- Melexis Actuators Business Unit
- Position / Current Sensors - Triaxis Hall
熱門搜索
微波功率管
微波開關
微波連接器
微波器件
微波三極管
微波振蕩器
微電機
微調電容
微動開關
微蜂窩
位置傳感器
溫度保險絲
溫度傳感器
溫控開關
溫控可控矽
聞泰
穩壓電源
穩壓二極管
穩壓管
無焊端子
無線充電
無線監控
無源濾波器
五金工具
物聯網
顯示模塊
顯微鏡結構
線圈
線繞電位器
線繞電阻





