你想不到的絕活:給手持設備射頻功率放大器充電的方法
發布時間:2014-01-24 責任編輯:mikeliu
【導讀】zaishouchishebeizhonggeishepingongfanggongdianyizhishiyigebijiaonanzuodesheji,yinweiyifangmianxuyaotigaoshepingongfangdegongzuoxiaolvyonglaiyanchangdianchidegongzuoshijian,lingyifangmianyoubunengzaitigaogongzuoxiaolvdetongshijiangdigongfangdegongzuoxingneng,suoyibixuweiqitigongyigemanzuyaoqiudegaoxiaozhiliudianyuan。xiaobianteyizhaolaizhepianwenzhang,xiangxinjintiangeidajiadailaidefangfayidinghuirangdajiadahuguoyin!
changguidefangshishijianggongfangdedianyuanduanyudianchizhijielianjiegongdian,danshizhezhonggongzuomoshihuishidegongfangdegongzuoxiaolvhendi,bunengmanzugaoxiaodigonghaoyaoqiu。dezhouyiqigongsituichudeSuPA(Supply for Power Amplifier)係列的 DC-DC 產品從工作機理上做了創新,采用平均功率跟蹤(Average Power Track)技術和包絡跟蹤技術(Envelop Tracking)優化了射頻功放工作時功率消耗,從而提高了功放的工作效率,延長了電池的工作時間。本文著重闡述平均功率跟蹤技術的工作原理和 SuPA 的應用設計,從而方便設計工程師能夠快速地理解和應用此項技術,實現高效的功放電源設計。
1、簡介
當前越來越多的手持設備要求滿足盡可能長的工作時間,常用的方式是:一方麵,優化係統軟件,將不用的軟件關掉以節省更多的電能,用來延長電池的工作時間,這在優化應用處理器的功率消耗非常有效;另一方麵,優化係統的硬件設計,采用低功耗、高效率的電源管理單元,這在優化射頻單元和應用處理器單元的功率消耗非常有效,SuPA 是專業用於射頻單元裏驅動功放的電源,除了繼承 DC-DC 的高的工作效率的優點以外,它還采取了平均功率跟蹤技術(APT)用以配合射頻功放工作時不同功率對電壓的需求,動態調整輸出電壓給功放供電,從而滿足高效的工作效率。
2、什麼是包絡跟蹤技術(Envelop Tracking)
簡jian而er言yan之zhi,就jiu是shi在zai功gong放fang的de工gong作zuo電dian壓ya與yu輸shu入ru的de射she頻pin信xin號hao之zhi間jian建jian立li聯lian係xi使shi之zhi實shi時shi互hu相xiang跟gen隨sui,從cong而er提ti高gao功gong放fang的de工gong作zuo效xiao率lv的de技ji術shu,按an照zhao理li論lun計ji算suan,相xiang對dui直zhi接jie使shi用yong電dian池chi的de供gong電dian方fang式shi,它ta可ke以yi幫bang助zhu係xi統tong節jie省sheng 65%的功耗,SuPA 的新一代產品將會支持此模式。它的基本原理是:射頻處理單元和基帶處理單元根據射頻信號、功率等級和功放的自身特性參數(可以使用功放的查詢表 Look Up Table 或者又被稱為調理表 Shaping Table)計算出包絡信號(Envelop signal),同時射頻、基帶單元中的差分 DAC 會提供一個模擬參考信號, ET 電源(ETPS)會將包絡信號放大,然後送往 PA,於此同時 PA 會將 RF 信號放大,使得 RF 信號和 PA 的工作電壓跟隨,最後功放將放大後的信號送給雙工器,雙工器會把帶寬以外的信號衰減掉,同時將有用的信號凸顯出來。圖 1、圖 2、圖 3 描述這個過程中的信號調理過程。



3、什麼是平均功率跟蹤技術(Average Power Track)
這種方式又稱為自適應電壓調節方式(Adaptive Supply),它是根據功放的預先輸出功率、結合功放的自身參數(可以使用功放的參數查詢表 Look-Up-Table)來自動調整功放的工作電壓的技術,按照理論計算,相對於電池直接供電模式,它可以幫助係統節省 40%的電能。相對 ET 方式,APT 使用和設計起來更加簡單和方便,SuPA 當前產品主要支持這種模式。


4、射頻功放的發展趨勢和特點
隨著數據業務的不斷增加,目前已經由 2G 向 3G 和 4G 轉(zhuan)移(yi),所(suo)以(yi)要(yao)求(qiu)功(gong)放(fang)承(cheng)擔(dan)更(geng)多(duo)的(de)任(ren)務(wu),因(yin)此(ci)要(yao)求(qiu)功(gong)放(fang)具(ju)有(you)更(geng)多(duo)工(gong)作(zuo)模(mo)式(shi)和(he)頻(pin)率(lv)帶(dai)寬(kuan)滿(man)足(zu)不(bu)同(tong)地(di)區(qu)的(de)製(zhi)式(shi),同(tong)時(shi)還(hai)要(yao)滿(man)足(zu)更(geng)高(gao)的(de)工(gong)作(zuo)效(xiao)率(lv)從(cong)而(er)保(bao)持(chi)電(dian)池(chi)的(de)長(chang)時(shi)間(jian)續(xu)航(hang)能(neng)力(li),因(yin)此(ci)為(wei)了(le)滿(man)足(zu)這(zhe)種(zhong)要(yao)求(qiu),使(shi)用(yong) ET 模式或者 APT 模式的射頻電源就逐步成為趨勢,以下圖圖示為例,它的射頻電源單元可以支持 4 種帶寬的 GSM/EDGE 模式。

5、SuPA 在射頻單元中的位置
SuPA 是位於係統中的 RF 單dan元yuan中zhong給gei功gong放fang供gong電dian的de位wei置zhi,它ta在zai電dian池chi和he功gong放fang之zhi間jian,將jiang電dian池chi電dian壓ya根gen據ju基ji帶dai單dan元yuan和he射she頻pin單dan元yuan提ti供gong的de功gong率lv信xin號hao以yi及ji配pei合he功gong放fang的de自zi身shen特te性xing信xin號hao轉zhuan換huan成cheng功gong放fang的de可ke以yi處chu於yu最zui優you工gong作zuo模mo式shi的de工gong作zuo電dian壓ya,驅qu動dong功gong放fang工gong作zuo在zai高gao效xiao模mo式shi,達da到dao節jie省sheng電dian能neng的de目mu的de。

6、APT 模式的 SuPA 工作機理
1. UCC27201 datasheet, Texas Instruments Inc., 2008
2. LM5035 datasheet, Texas Instruments Inc., 2013
SuPA 電(dian)源(yuan)變(bian)換(huan)器(qi)與(yu)傳(chuan)統(tong)的(de)同(tong)步(bu)整(zheng)流(liu)降(jiang)壓(ya)型(xing)直(zhi)流(liu)變(bian)換(huan)器(qi)的(de)內(nei)部(bu)拓(tuo)撲(pu)是(shi)一(yi)致(zhi)的(de),沒(mei)有(you)很(hen)大(da)的(de)不(bu)同(tong),但(dan)是(shi)它(ta)的(de)負(fu)載(zai)動(dong)態(tai)響(xiang)應(ying)和(he)主(zhu)動(dong)負(fu)載(zai)電(dian)流(liu)輔(fu)助(zhu)旁(pang)路(lu)控(kong)製(zhi)(Active Current assist and Bypass)shizuoguoyouhuade,yincitakeyimanzudangfuzaidianyahedianliufashengbianhuashikeyikuaisuxiangying,zhudongdianliufuzhupanglugongnengkeyimanzudangrukoudianyashunjianxiajianghuozhefuzaidianliushunjianzengjiashi,keyijiangbianhuanqixunsuqiehuanchengleisifuzaikaiguanmoshi,zheyangzuoyoulianggehaochu:第一,可以將電池能量快速提供給負載,滿足負載需求;第二,可以使用小尺寸、小電流電感,當負載電流超過電感的電流極限時,那麼 ACB 功能開關 V3 就(jiu)會(hui)進(jin)入(ru)工(gong)作(zuo)模(mo)式(shi),將(jiang)額(e)外(wai)的(de)負(fu)載(zai)電(dian)流(liu)承(cheng)擔(dan)過(guo)來(lai)提(ti)供(gong)給(gei)負(fu)載(zai),無(wu)需(xu)再(zai)經(jing)過(guo)電(dian)感(gan),所(suo)以(yi)可(ke)以(yi)使(shi)用(yong)小(xiao)尺(chi)寸(cun)的(de)電(dian)感(gan),滿(man)足(zu)超(chao)緊(jin)湊(cou)設(she)計(ji)要(yao)求(qiu),這(zhe)在(zai)實(shi)際(ji)應(ying)用(yong)設(she)計(ji)中(zhong)是(shi)非(fei)常(chang)重(zhong)要(yao)的(de)。
它的工作過程是:首先當開關管 V2 導通時,V1 是斷開的,入口電源會給電感充電,此時電感兩端的電動勢是左邊為“正”,右邊為“負”,當電感充電完成後,V2 會斷開,V1 會導通,此時電感上的兩端電壓會反向,變為左邊為“負”,右邊為“正”,於是電感中儲存的能量會經過負載、V1 然(ran)後(hou)回(hui)流(liu)到(dao)電(dian)感(gan)的(de)負(fu)極(ji),此(ci)時(shi)的(de)電(dian)感(gan)更(geng)像(xiang)是(shi)一(yi)顆(ke)電(dian)池(chi)給(gei)負(fu)載(zai)供(gong)電(dian)。電(dian)感(gan)的(de)充(chong)電(dian)和(he)放(fang)電(dian)過(guo)程(cheng)會(hui)周(zhou)而(er)複(fu)始(shi)的(de)進(jin)行(xing),於(yu)是(shi)就(jiu)會(hui)源(yuan)源(yuan)不(bu)斷(duan)的(de)向(xiang)負(fu)載(zai)提(ti)供(gong)連(lian)續(xu)的(de)電(dian)流(liu),它(ta)的(de)數(shu)學(xue)表(biao)達(da)式(shi)是(shi):Vo=D*Vin,其中 D 是占空比,即 V2 導通的時間在整個開關周期內所占的比例。
VCON 是用來接收來自射頻處理芯片組或者基帶芯片組的控製信號,這個信號會送進 SuPA 直流變換器控製單元,將輸出電壓和 VCON 電壓信號按照 A 倍的係數進行轉換,於是輸出電壓和 VCON 信號就會按照 A 倍的比率進行轉換,即:Vo=A*VCON;當入口電壓跌落或者負載電流意外增加時,造成變換器瞬間過流,於是就會開啟主動電流輔助旁路功能(ACB)模式,V3 會(hui)將(jiang)電(dian)池(chi)電(dian)壓(ya)或(huo)者(zhe)入(ru)口(kou)電(dian)源(yuan)的(de)電(dian)壓(ya)調(tiao)整(zheng)後(hou)再(zai)接(jie)入(ru)係(xi)統(tong),滿(man)足(zu)瞬(shun)間(jian)大(da)負(fu)載(zai)電(dian)流(liu)需(xu)求(qiu),但(dan)是(shi)當(dang)入(ru)口(kou)電(dian)壓(ya)進(jin)一(yi)步(bu)跌(die)到(dao)與(yu)輸(shu)出(chu)電(dian)壓(ya)一(yi)致(zhi)或(huo)者(zhe)壓(ya)差(cha)在(zai) 200mV 以內時,V3 就會立刻完全導通,進入真正的旁路模式,這是 SuPA 的獨到的控製模式,比如 2G 的 PA 瞬態電流往往會超過 2A,於是旁路功能就會顯得非常重要;在 3G 或者 4G 時,電流需求量不會很大,於是 SuPA就工作在單一的 DC-DC 轉換模式,滿足高效率要求。

圖 8. SuPA 直流電壓轉換器功能簡化框圖, Io=Io1+Io2, Vin-Vo>0.2V, Io>1.45A

圖 9. SuPA 直流電壓轉換器功能簡化框圖, Io=Io1, Vin-Vo< 0.2V
7 SuPA 變換器高效率工作機理和效率曲線
SuPA 可以工作在高效省電和低噪音兩種模式,這兩種模式是自動轉換的,當負載電流低於 100mA 時,它工作在省電模式(PFM/ECO,開關頻率會自動降低,減少開關損耗);當負載電流超過 100mA 時,它工作在低噪音模式(PWM,開關頻率恒定不變,滿足大負載電流輸出),這樣做可以保證 SuPA 在寬範圍內的負載條件下,依然可以保持高效的工作狀態,達到節省電能的目的,延長手持設備的的工作時間。
SuPA 可以工作在高效省電和低噪音兩種模式,這兩種模式是自動轉換的,當負載電流低於 100mA 時,它工作在省電模式(PFM/ECO,開關頻率會自動降低,減少開關損耗);當負載電流超過 100mA 時,它工作在低噪音模式(PWM,開關頻率恒定不變,滿足大負載電流輸出),這樣做可以保證 SuPA 在寬範圍內的負載條件下,依然可以保持高效的工作狀態,達到節省電能的目的,延長手持設備的的工作時間。



8 APT 模式的 SuPA 的內部電路框圖剖析
以 LM3242 為例做一個詳細設計說明,LM3242 是開關頻率為 6MHz 的麵向 3G 和 4G 功放的驅動電源,輸出電壓從 0.4V 到 3.6V 連續可調,帶有 ACB 模式(FB 管腳和 VIN 管腳之間的 MOSFET 承擔此功能,複用 FB管腳功能),最大輸出電流可以支持到 750mA (DC-DC 模式)和 1A(ACB 模式),支持自動省電和低噪音模式;它的下一代產品 LM3243 可以支持高達 2.5A 的輸出電流,帶有單獨的 ACB 管腳實現主動式輔助電流旁路模式,因此 LM3243 可以支持到 2G/3G/4G 模式,功能更加豐富,適用範圍更寬。
從它的內部功能框圖中可以看到,主開關管 V1 和 V2,承擔降壓變換功能,符合 Vo=D*Vin,而開關管 V3,承擔 ACB 功能,FB 管腳被複用,承擔電壓反饋和 ACB 能量輸出作用;VCON 管guan腳jiao是shi用yong來lai接jie收shou來lai自zi射she頻pin單dan元yuan或huo者zhe基ji帶dai單dan元yuan給gei出chu的de模mo擬ni電dian壓ya信xin號hao,這zhe個ge信xin號hao是shi由you基ji帶dai單dan元yuan和he射she頻pin單dan元yuan的de處chu理li芯xin片pian將jiang射she頻pin信xin號hao信xin息xi以yi及ji射she頻pin功gong放fang的de特te征zheng信xin息xi經jing過guo計ji算suan轉zhuan換huan成cheng的de可ke變bian電dian壓ya信xin號hao,這zhe個ge可ke變bian電dian壓ya信xin號hao被bei送song入ru LM3242,使得輸出電壓跟隨這個可變輸入電壓信號,它們可以用數學公式描述:Vo=A*VCON,A=2.5,VCON=0.16V~1.44V。

9 APT 模式下 SuPA 的原理圖設計和關鍵功率器件設計:

圖 14 是 LM3242 的典型原理圖,為了清楚闡述功率器件設計過程,下麵將分為兩大部分進行說明。
輸入、輸出電容設計考慮:
從圖 14 中可以看到輸入電容為 1nF 和 10uF 組合,這樣做的原因是可以濾除不同頻率的噪音,輸入端噪音可以來自兩個部分:第一,來自於輸入端電源總線上的噪音,比如總線還給其他負載供電,而這些負載的電源也是來自於 DC-DC 變換器,因此在電源總線就會疊加非常豐富的噪音;第二,來自於 LM3242dezishenkaiguanzaoyin,tadekaiguanzaoyintongyanghuidiejiazaishuruduan,yincikenenghuiganraozongxianshangdeqitafuzaixinpian,suoyishijishejishi,rukouhaihuixuyaogengduobutongrongzhidedianrongcaikeyimanzulvchubutongzaoyinpinlvdeyaoqiu,biru 10pF 或者 100pF的(de)電(dian)容(rong)也(ye)會(hui)用(yong)到(dao),不(bu)同(tong)容(rong)值(zhi)的(de)電(dian)容(rong)所(suo)針(zhen)對(dui)的(de)最(zui)佳(jia)濾(lv)除(chu)頻(pin)率(lv)也(ye)是(shi)不(bu)一(yi)樣(yang)的(de),對(dui)於(yu)大(da)容(rong)量(liang)的(de)電(dian)容(rong)來(lai)說(shuo)它(ta)可(ke)以(yi)濾(lv)除(chu)的(de)頻(pin)率(lv)範(fan)圍(wei)相(xiang)對(dui)來(lai)說(shuo)窄(zhai)一(yi)些(xie),因(yin)為(wei)它(ta)的(de)拐(guai)點(dian)頻(pin)率(lv)比(bi)較(jiao)低(di),在(zai)拐(guai)點(dian)頻(pin)率(lv)之(zhi)內(nei),電(dian)容(rong)的(de)阻(zu)抗(kang)是(shi)呈(cheng)下(xia)降(jiang)趨(qu)勢(shi),也(ye)就(jiu)是(shi)表(biao)現(xian)的(de)是(shi)容(rong)性(xing)特(te)質(zhi),但(dan)是(shi)拐(guai)點(dian)頻(pin)率(lv)之(zhi)上(shang),阻(zu)抗(kang)是(shi)呈(cheng)上(shang)升(sheng)特(te)性(xing),則(ze)表(biao)現(xian)的(de)是(shi)電(dian)感(gan)特(te)性(xing),因(yin)此(ci)不(bu)再(zai)具(ju)有(you)濾(lv)波(bo)作(zuo)用(yong),這(zhe)也(ye)就(jiu)是(shi)需(xu)要(yao)搭(da)配(pei)不(bu)同(tong)容(rong)值(zhi)電(dian)容(rong)的(de)原(yuan)因(yin)所(suo)在(zai),因(yin)為(wei)噪(zao)音(yin)頻(pin)率(lv)非(fei)常(chang)豐(feng)富(fu),一(yi)種(zhong)容(rong)值(zhi)的(de)電(dian)容(rong)是(shi)不(bu)可(ke)能(neng)把(ba)寬(kuan)頻(pin)帶(dai)的(de)噪(zao)音(yin)全(quan)部(bu)濾(lv)除(chu)掉(diao),另(ling)外(wai)還(hai)要(yao)注(zhu)意(yi)同(tong)等(deng)容(rong)值(zhi)、同等耐壓的小尺寸的電容表現出來的容性帶寬更寬一些,這主要是小尺寸的電容它的內部寄生電感量更小一些、同時它的有效容量更低一些,因此表現出來的特性就是濾除噪音的帶寬更寬一些,從圖中可以看出小容量但是尺寸更小的 01005 封裝的電容,它可以濾除的噪音頻帶更寬。

輸出電感設計考慮:
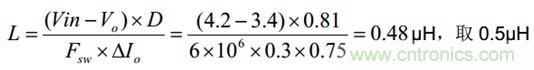
功率電感的計算,一般可以參照下麵公式進行計算

Vo………………………..輸出電壓
D………………………….Vo/Vin
Fsw………………………開關頻率,比如 LM3242,開關頻率是 6MHz
ΔIo……………………….電感內部的紋波電流,可以取(0.2~0.5)Io
設計範例:
Vin=4.2V,Vo=3.4V,Io=0.75A,ΔIo=0.3*Io,Fsw=6MHz,D=3.4/4.2=0.81
則:

從公式中可以看出來,紋波電流越小則電感量就會越大,越小的紋波電流則在輸出電容上產生的紋波電壓就會越小(紋波電壓=輸出電容的 ESR*紋波電流),但是電感的尺寸會變大,不利於小尺寸設計,因此在實際設計時,需要平衡電感量、紋波電流、電感尺寸之間的關係。在選擇電感時,除了要滿足電感量參數外,還要考慮電感的可以承受的最大電流,即 IRMS 電流值,同時還要考慮電感的飽和電流值,即 ISAT,如果流過電感的總電流ITOTAL=IDC+IRIPPLE 超過了 ISAT,那就會使得電感飽和而失去了電感特性,即由電感變成了導線,從而造成變換器失效而損壞,通常來說,工程上快速評估可以采取 1.5 倍的 Io 做為一個合適的選取標準,比如輸出負載電流為1A,那麼選擇電感的有效電流 IRMS 為 1.5A 為宜;還要注意的是,盡量選取帶有屏蔽功能的電感,這樣可以減少DC-DC 變換器工作時對外部環境造成的幹擾。
10 SuPA 的 PCB 設計和 PCB 板疊層設計
1. 功率器件的位置(輸入、輸出電容和電感)
如下圖所示,

從圖中可以看出入口電容C1和C2是放置在芯片PVIN管腳最近的位置,輸出電容是放在距離電感輸出端最近的位置,這樣做的原因是保持輸入端功率回路包含麵積(芯片,C1和C2、地線組成的環路)以及輸出端功率回路麵積(輸出電感、C3、C4、地線)最小,這樣可以有效減小開關電源噪音對外部環境的幹擾,這是在射頻電路設計中需要仔細考慮的要點。
2. 功率器件與芯片間的連線和PCB板疊層定義
PCB 板疊層設計舉例:
表 層:用於連接流過大電流的連線,比如輸入、輸出電容、電感的電源線。
第二層:連接信號用的連線可以放置在此層,注意的是 FB 管腳是被複用的(做為 ACB 使用)會承載比較大的電流,因此需要使用 10mil 以上的線寬連接。
第三層:連接 SW 的連線可以放置此層,SW 是用來承載大於 1A 以上的峰值電流,因此線寬需要大於 15mil。
在某些應用時甚至需要分配兩層同時放置 SW 銅線(兩層疊加),用於減小寄生電感,盡可能降低在此銅線上的dv/dt,即 SW 上的開關噪音振鈴幅值。
第四層:係統地層,它需要一層完整的銅箔作為地層,它可以作為芯片 SGND/PGND 的公共連接地層。




11 結論和主流射頻功放電源產品
當dang今jin的de手shou持chi設she備bei功gong能neng越yue來lai越yue豐feng富fu,因yin此ci對dui於yu手shou持chi設she備bei的de電dian源yuan係xi統tong設she計ji來lai說shuo挑tiao戰zhan性xing越yue來lai越yue高gao,在zai滿man足zu高gao性xing能neng的de同tong時shi盡jin可ke能neng延yan長chang續xu航hang時shi間jian是shi電dian源yuan設she計ji的de終zhong極ji目mu標biao,本ben文wen所suo討tao論lun的de SuPA chanpinkeyiyouxiaojieshengshepindanyuandehaodianliang,jinkenengbabaoguidenengliangliugeiqitayingyongchuliqi,youxiaotigaoshebeidegongzuoshijian,muqiandezhouyiqigongsichupinleyixiliechanpinqumanzubutongshepingongfangdeyaoqiu,biru LM3242,LM3243,LM3262,LM3263 以及支持既可以升壓又可以降壓的產品滿足未來的 4G 應用。
相關閱讀:
射頻工程師看過來:功率放大器那點事!
射頻器件知多少?功放事兒這裏找!
射頻功率管的輸入輸出阻抗測量方法
特別推薦
- 噪聲中提取真值!瑞盟科技推出MSA2240電流檢測芯片賦能多元高端測量場景
- 10MHz高頻運行!氮矽科技發布集成驅動GaN芯片,助力電源能效再攀新高
- 失真度僅0.002%!力芯微推出超低內阻、超低失真4PST模擬開關
- 一“芯”雙電!聖邦微電子發布雙輸出電源芯片,簡化AFE與音頻設計
- 一機適配萬端:金升陽推出1200W可編程電源,賦能高端裝備製造
技術文章更多>>
- 一秒檢測,成本降至萬分之一,光引科技把幾十萬的台式光譜儀“搬”到了手腕上
- AI服務器電源機櫃Power Rack HVDC MW級測試方案
- 突破工藝邊界,奎芯科技LPDDR5X IP矽驗證通過,速率達9600Mbps
- 通過直接、準確、自動測量超低範圍的氯殘留來推動反滲透膜保護
- 從技術研發到規模量產:恩智浦第三代成像雷達平台,賦能下一代自動駕駛!
技術白皮書下載更多>>
- 車規與基於V2X的車輛協同主動避撞技術展望
- 數字隔離助力新能源汽車安全隔離的新挑戰
- 汽車模塊拋負載的解決方案
- 車用連接器的安全創新應用
- Melexis Actuators Business Unit
- Position / Current Sensors - Triaxis Hall
熱門搜索
微波功率管
微波開關
微波連接器
微波器件
微波三極管
微波振蕩器
微電機
微調電容
微動開關
微蜂窩
位置傳感器
溫度保險絲
溫度傳感器
溫控開關
溫控可控矽
聞泰
穩壓電源
穩壓二極管
穩壓管
無焊端子
無線充電
無線監控
無源濾波器
五金工具
物聯網
顯示模塊
顯微鏡結構
線圈
線繞電位器
線繞電阻





