基於RFID技術的人機互動定位係統設計方案
發布時間:2012-01-10
中心議題:
- 基於RFID技術的人機互動定位係統原理和功能
- 結合RFID 定位技術的人機互動遊戲應用方案
解決方案:
- 人機互動的遊戲部分設計
- 輔助人機互動的區域定位部分
本文基於博物館的實際應用環境, 結合RFID 定位技術設計了一種人機互動的定位係統, 主要包括人機互動的遊戲部分和輔助人機互動的區域定位部分。同時提出了一種結合RFID 定位技術的人機互動遊戲應用方案, 並將該方案成功應用到博物館中。
1 係統原理和功能
1.1 係統原理
RFID 是一種利用射頻信號自動識別目標對象並獲取相關信息的技術。RFID 技術可以分為有源係列和無源係列。有源和無源RFID 的性能對比如表1 所示。

表1 有源和無源RFID 對比
由表1 可知, 有源RFID 具有更長的識別距離和更強的移動追蹤能力。本文需要對博物館中人員進行室內定位追蹤, 故采用有源RFID 設備。
係統主要包括三個部分: 標簽、讀寫器和信息處理係統。標簽和讀卡器構成RFID 網絡, 感知遊客的各種情景信息,並遠程傳輸給信息處理係統集中處理。
博物館的場館簡易平麵分布圖如圖1 所示。

RFID 的博物館人機互動定位係統主要包含人機互動的遊戲部分和人員區域定位部分。人機互動的遊戲部分主要利用圖1 中互動遊戲場館內編號為a 、b 、c 的讀寫器實現室內精確的二維定位, 便於與遊戲地圖進行比較, 從而完成移動人員的定位與追蹤。人員區域定位部分主要利用圖1 中場館通道間的讀寫器(編號為0 、1 、2、3、4 、5 、6) 實現, 遊客在通過場館通道時, 讀寫器會自動讀取遊客門票中的標簽信息,完成區域定位的功能。
標簽的ID 號是唯一的, 用於遊客身份的識別。讀寫器接收到的數據包含有標簽ID 號信息、數據發送時刻信息等,PC 上位機接收到的數據包含有源標簽ID 號信息、數據發送時刻信息和轉發數據包的讀寫器編號信息等,PC 上位機集中處理這些由讀卡器轉發而來的數據包。係統原理框圖如圖2 所示。

[page]
1.2 係統功能
1.2.1 遊戲場館內人員移動軌跡的追蹤
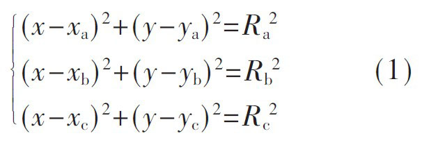
如圖3 所示, 在遊戲場館C 區內, 設編號分別為a 、b 、c 的三個有源讀寫器的位置為(xa,ya) , (xb,yb) , (xc,yc) ,遊客的位置坐標(x,y), 三個讀卡器到遊客的距離分別為Ra、Rb、Rc, 由時間信息定位方法(TOA) 可得式(1) , 即可求解遊客的位置坐標(x,y)。


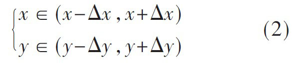
由於電磁波信號在室內傳播呈現多徑效應幹擾衰弱與遮蔽效應, 預估的傳播距離將產生誤差, 所以定位的位置不會交於一點, 而是一定麵積大小的區域。
為了不失一般性以及方便定位需要, 可設遊客的位置坐標落在由點(x-△x ,y-△y) 、(x-△x ,y+△y) 、(x+△x ,y -△y) 和(x +△x ,y +△y) 構成的長方形區域內, 其中長方形的長、寬分別為△x、△y, 即遊客的位置坐標(x,y) 滿足式(2)。

如某遊客進行人機互動遊戲時,設其初始位置為Ini,目標位置為Des , 遊戲地圖由小長方形區域組成, 如圖3中灰色區域所示, 遊客根據灰色的遊戲地圖進行移動,與此同時, 係統實時地將解算出的遊客位置與遊戲設定的地圖相匹配, 進而完成互動遊戲。
1.2.2 遊客的實時區域定位
當遊客在圖1 中入口處的0 號讀寫器刷卡後, 即可授權進入博物館參觀, 遊客門票中的標簽ID 號信息被送往PC 上位機實時處理, 建立遊客文檔INFO.遊客文檔包括進入各場館的時間、離開各場館的時間、在各場館參觀的時間、當前所在的場館區域及遊客頭像等信息,INFO 的結構體表達式如下:

[page]
其中結構TOURTIME 定義為:

在遊客通過場館間的通道時, 讀寫器會自動識別遊客門票中的標簽信息, 實時判斷遊客進入某場館( 或離開某場館) , 同步更新遊客文檔信息INFO。
2 係統設計和實現
2.1 係統硬件
硬件設備采用了RFID 組件, 主要包括PC、有源標簽、有源讀寫器、攝像頭以及相關設備連接線等。博物館的環境比較複雜, 繁多的多媒體設備帶來的中低頻幹擾較大, 為了適應博物館這種獨特的環境, 需要采用微波段的RFID 設備。現階段的微波段RFID 主要集中在工作頻率為2.4 GHz~5.8 GHz , 其中以2.4 GHz 有源RFID 係統較為成熟。博物館采用的RFID 各設備型號如表2所示。

表2 RFID 硬件設備
2.2 係統軟件
RFID 係統軟件采用了Delphi7、MYSQL 和ODBC 等進行人機界麵開發。軟件係統主要可劃分為遊客INFO 文檔的建立、區域定位、遊戲場館內人員移動軌跡的追蹤。
2.2.1 文檔的建立
PC 上位機根據安裝在入口處的0 號讀寫器讀取的數據信息, 實時存儲刷卡人門票中的標簽ID 號信息,實時構建一個以ID 號為標識的信息文檔INFO, 並同步截取刷卡人的照片並保存到對應的文檔下, 具體流程如圖4 所示。

2.2.2 區域定位
PC 上位機根據0 ~6 號讀寫器提供的數據包中的讀寫器編號來判斷遊客即將進入的場館區域; 根據標簽ID 號信息來區分遊客;根據數據發送時刻來記錄遊客在各場館的參觀時間, 並將這些信息實時更新到遊客的INFO 文檔中, 具體流程如圖5 所示。

[page]
2.2.3 遊戲場館C 區內人員移動軌跡的追蹤
遊戲場館C 區編號為a、b、c 的讀寫器可以完成C 區內人員移動追蹤。遊戲軌跡地圖由一組二維坐標構成, 設i 時刻的遊戲地圖為map [i] ,遊客的二維坐標為pos[i].互動遊戲開始後, 將遊客坐標pos[i]與遊戲地圖map[i]相比較。
如果在各個時刻兩者都相一致, 則根據從信息包中提取出來的ID 號查找數據庫, 從該ID 號碼對應的信息文檔提取照片, 將照片保存到指定的(winner ) 文檔路徑下, 指示該遊客為人機互動遊戲的勝利者並返回。
如果某一時刻遊客的坐標pos[i] 與遊戲地圖map [i]不相一致, 則返回並指示遊客遊戲失敗。人機互動遊戲的數據處理具體流程如圖6 所示。

遊戲地圖可以根據不同的需要來設定遊戲軌跡的長度、難度以及布置障礙物等, 豐富遊戲場景, 同時也可以設置多人模式進行人機互動遊戲。
3 係統測試結果
3.1 遊戲場館內的定位誤差測試
遊戲場館C 區為14 m×20 m 的長方形區域, 測試長方形遊戲場館C 區內每個點的坐標位置, 並與實際標準位置做比較, 所得的誤差曲線如圖7 所示。所以可將式(2) 中的△x、△y 設置為△x=△y=0.8 m, 即地圖的小區域為0.8 m×0.8 m 的正方形區域, 這樣足可以保證對人員移動軌跡追蹤的準確度。

3.2 遊客的INFO 信息測試
采用上述硬件設備和相應開發軟件進行係統開發,5 位遊客分別選取了5 張有源卡(ID 號分別為0x33、0x62、0x76、0x0F、0x58)進行係統測試,部分係統測試結果如下:
建立的以ID 號標識的遊客文檔如圖8 所示。

[page]
ID=0x33 的遊客INFO 詳細信息, 如圖9 所示。由圖可知ID=0x33 的遊客在A 場館內參觀了20 min, 在B 場館參觀了27 min , 當前所在位置為C 場館, 還沒有進入D場館。

3.3 人機互動遊戲的測試
上述5 位遊客參與人機互動遊戲, 其中ID 號為0x62 、0x0F 的兩位遊客最終完成了互動遊戲, 其他3 位遊客遊戲失敗, 係統測試結果如圖10 所示。

根據上述互動遊戲結果圖中的ID 號, 提出頭像照片, 保存到(winner)文檔路徑下, 並顯示互動遊戲勝利者的照片, 同時指示為互動遊戲的勝利者, 如圖11所示。

4 結論
本文提出了一種基於RFID 室內定位技術的人機互動遊戲方案, 利用RFID 定位技術實現對遊客移動軌跡的追蹤, 並將其應用於遊戲互動的識別。本文提出的設計已成功應用於福建某數字博物館, 在博物館的控製中心可以通過人機互動界麵查看各個場館內的遊客流量、遊客當前所在場館、在各個場館的參觀時間及遊客參與人機互動遊戲的情況, 同時該係統還可以連接到地區的物聯示範網, 提高經濟效益, 大大節約成本。
基於RFID 的數字博物館為遊客提供了更加自由和人性化服務的同時, 也提高了管理人員的工作效率。對博物館緊急事故的處理帶來了便利, 保證了遊客的人身安全, 為博物館帶來更多的經濟效益, 推動RFID產業快速發展。
- 噪聲中提取真值!瑞盟科技推出MSA2240電流檢測芯片賦能多元高端測量場景
- 10MHz高頻運行!氮矽科技發布集成驅動GaN芯片,助力電源能效再攀新高
- 失真度僅0.002%!力芯微推出超低內阻、超低失真4PST模擬開關
- 一“芯”雙電!聖邦微電子發布雙輸出電源芯片,簡化AFE與音頻設計
- 一機適配萬端:金升陽推出1200W可編程電源,賦能高端裝備製造
- 邊緣AI的發展為更智能、更可持續的技術鋪平道路
- IAR作為Qt Group獨立BU攜兩項重磅汽車電子應用開發方案首秀北京車展
- 數字化的線性穩壓器
- 安森美:用全光譜“智慧之眼”定義下一代工業機器人
- 貿澤EIT係列新一期,探索AI如何重塑日常科技與用戶體驗
- 車規與基於V2X的車輛協同主動避撞技術展望
- 數字隔離助力新能源汽車安全隔離的新挑戰
- 汽車模塊拋負載的解決方案
- 車用連接器的安全創新應用
- Melexis Actuators Business Unit
- Position / Current Sensors - Triaxis Hall


