雷達發射機的調製器電路設計
發布時間:2010-11-23
中心議題:
調製器是雷達發射機中的一個比較重要的組成部分,其主要作用是給雷達發射機的行波管提供正負偏電壓、燈絲電壓以及調製脈衝。由於本調製器是懸浮在-30kV電位上的,在打火或其他一些異常情況下比較容易損壞。所以,更深入理解調製器的電路,在排除故障的過程中顯得非常重要。
1調製器的主要性能指標
本調製器是由電源和脈衝形成等兩部分組成。其中電源部分的作用是把220V/400Hz電源變換成符合要求的直流電源。脈衝形成部分的作用是提供電壓、功率、脈衝寬度及脈衝波形等參數都滿足要求的視頻脈衝。
1.1電源指標
該係統的電源部分由三路電源組成,分別是燈絲電壓、負偏電壓和正偏電壓。其中燈絲電源的輸出電壓值為+9~+12V,電壓穩定度為5×10-2;負偏電源的輸出電壓值為-380~-440V,電壓穩定度為5×10-2;正偏電源的輸出電壓值為+360~+420V,電壓穩定度為5×10-2。
1.2輸出脈衝指標
本調製器的調製脈衝寬度在遠距時為1.5±0.2μs,而在近距時為1.0±0.1μs;而在調製脈衝的前後沿,其脈衝上升時間為O.1μs,脈衝下降時間為0.3μs。
2電路分析
2.1電源電路分析
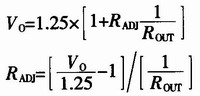
本調製器的電源使用的是LMll7和LMl38兩種三端可調整穩壓集成電路,其電路圖如圖l所示。而其輸出電壓Vo和調整電阻的計算公式如下:


需要說明的是,圖1中的穩壓器管腳電壓差Vo-Vi應在3-35V範圍內,超出範圍將不穩壓;LMll7K的額定電流為1.5A,LMl38K的額定電流為5A;這兩個器件的兩者管腳定義相同;為保證穩壓器正常工作,設計時可選用0.25W電阻ROUT,其值可選120Ω~240Ω。
2.2調製波形成電路分析
本調製器的組成原理框圖如圖2所示。圖中,當定時脈衝輸入到來時,經過緩衝器驅動後,該脈衝將分成兩路,分別提供給調製脈衝前沿開啟和後沿截止MOS管。其中前沿開啟脈衝經緩衝器驅動和三極管放大後,加到隔離升壓變壓器,以保證高速開啟管正常開啟;而後沿截止脈衝則使用後沿觸發的單穩態觸發電路形成,以保證形成的調製脈衝的寬度與定時脈衝的寬度一致。

本調製器的調製脈衝前後沿形成使用的是BUZ50B,當Ui2使得V2導通時,負偏電壓將使V1迅速截止。這樣形成的調製脈衝就能夠具有非常良好的後沿波形。其電路圖如圖3所示。

3故障檢修
3.1電源故障檢修
對於燈絲電源電路不穩壓,電壓值高於額定值的情況。其原因通常是穩壓器LMl38K損(sun)壞(huai)。而(er)造(zao)成(cheng)穩(wen)壓(ya)器(qi)損(sun)壞(huai)是(shi)因(yin)為(wei)燈(deng)絲(si)電(dian)源(yuan)正(zheng)向(xiang)輸(shu)出(chu)端(duan)對(dui)地(di)打(da)火(huo),瞬(shun)間(jian)產(chan)生(sheng)的(de)大(da)電(dian)流(liu)通(tong)過(guo)穩(wen)壓(ya)器(qi)內(nei)部(bu),從(cong)而(er)造(zao)成(cheng)其(qi)損(sun)壞(huai)。筆(bi)者(zhe)更(geng)換(huan)新(xin)的(de)穩(wen)壓(ya)器(qi)LMl38K,即恢複正常。
3.2脈衝形成電路故障檢修
脈衝形成電路常見故障是無脈衝輸出。其原因一般是前後沿脈衝形成電路中的CC404l或MOS管BUZ50B損壞。筆者在更換新的器件後,隨之恢複正常。
通過本文的分析,目的是使雷達維修人員能夠更快速準確地找到並排除雷達調製器的常見故障。
- 雷達發射機中調製器的主要性能指標
- 調製器的電路分析
- 調製器的故障檢修
- 電源故障檢修
- 脈衝形成電路故障檢修
調製器是雷達發射機中的一個比較重要的組成部分,其主要作用是給雷達發射機的行波管提供正負偏電壓、燈絲電壓以及調製脈衝。由於本調製器是懸浮在-30kV電位上的,在打火或其他一些異常情況下比較容易損壞。所以,更深入理解調製器的電路,在排除故障的過程中顯得非常重要。
1調製器的主要性能指標
本調製器是由電源和脈衝形成等兩部分組成。其中電源部分的作用是把220V/400Hz電源變換成符合要求的直流電源。脈衝形成部分的作用是提供電壓、功率、脈衝寬度及脈衝波形等參數都滿足要求的視頻脈衝。
1.1電源指標
該係統的電源部分由三路電源組成,分別是燈絲電壓、負偏電壓和正偏電壓。其中燈絲電源的輸出電壓值為+9~+12V,電壓穩定度為5×10-2;負偏電源的輸出電壓值為-380~-440V,電壓穩定度為5×10-2;正偏電源的輸出電壓值為+360~+420V,電壓穩定度為5×10-2。
1.2輸出脈衝指標
本調製器的調製脈衝寬度在遠距時為1.5±0.2μs,而在近距時為1.0±0.1μs;而在調製脈衝的前後沿,其脈衝上升時間為O.1μs,脈衝下降時間為0.3μs。
2電路分析
2.1電源電路分析
本調製器的電源使用的是LMll7和LMl38兩種三端可調整穩壓集成電路,其電路圖如圖l所示。而其輸出電壓Vo和調整電阻的計算公式如下:


需要說明的是,圖1中的穩壓器管腳電壓差Vo-Vi應在3-35V範圍內,超出範圍將不穩壓;LMll7K的額定電流為1.5A,LMl38K的額定電流為5A;這兩個器件的兩者管腳定義相同;為保證穩壓器正常工作,設計時可選用0.25W電阻ROUT,其值可選120Ω~240Ω。
2.2調製波形成電路分析
本調製器的組成原理框圖如圖2所示。圖中,當定時脈衝輸入到來時,經過緩衝器驅動後,該脈衝將分成兩路,分別提供給調製脈衝前沿開啟和後沿截止MOS管。其中前沿開啟脈衝經緩衝器驅動和三極管放大後,加到隔離升壓變壓器,以保證高速開啟管正常開啟;而後沿截止脈衝則使用後沿觸發的單穩態觸發電路形成,以保證形成的調製脈衝的寬度與定時脈衝的寬度一致。

本調製器的調製脈衝前後沿形成使用的是BUZ50B,當Ui2使得V2導通時,負偏電壓將使V1迅速截止。這樣形成的調製脈衝就能夠具有非常良好的後沿波形。其電路圖如圖3所示。

3故障檢修
3.1電源故障檢修
對於燈絲電源電路不穩壓,電壓值高於額定值的情況。其原因通常是穩壓器LMl38K損(sun)壞(huai)。而(er)造(zao)成(cheng)穩(wen)壓(ya)器(qi)損(sun)壞(huai)是(shi)因(yin)為(wei)燈(deng)絲(si)電(dian)源(yuan)正(zheng)向(xiang)輸(shu)出(chu)端(duan)對(dui)地(di)打(da)火(huo),瞬(shun)間(jian)產(chan)生(sheng)的(de)大(da)電(dian)流(liu)通(tong)過(guo)穩(wen)壓(ya)器(qi)內(nei)部(bu),從(cong)而(er)造(zao)成(cheng)其(qi)損(sun)壞(huai)。筆(bi)者(zhe)更(geng)換(huan)新(xin)的(de)穩(wen)壓(ya)器(qi)LMl38K,即恢複正常。
3.2脈衝形成電路故障檢修
脈衝形成電路常見故障是無脈衝輸出。其原因一般是前後沿脈衝形成電路中的CC404l或MOS管BUZ50B損壞。筆者在更換新的器件後,隨之恢複正常。
通過本文的分析,目的是使雷達維修人員能夠更快速準確地找到並排除雷達調製器的常見故障。
特別推薦
- 噪聲中提取真值!瑞盟科技推出MSA2240電流檢測芯片賦能多元高端測量場景
- 10MHz高頻運行!氮矽科技發布集成驅動GaN芯片,助力電源能效再攀新高
- 失真度僅0.002%!力芯微推出超低內阻、超低失真4PST模擬開關
- 一“芯”雙電!聖邦微電子發布雙輸出電源芯片,簡化AFE與音頻設計
- 一機適配萬端:金升陽推出1200W可編程電源,賦能高端裝備製造
技術文章更多>>
- 貿澤EIT係列新一期,探索AI如何重塑日常科技與用戶體驗
- 算力爆發遇上電源革新,大聯大世平集團攜手晶豐明源線上研討會解鎖應用落地
- 創新不止,創芯不已:第六屆ICDIA創芯展8月南京盛大啟幕!
- AI時代,為什麼存儲基礎設施的可靠性決定數據中心的經濟效益
- 矽典微ONELAB開發係列:為毫米波算法開發者打造的全棧工具鏈
技術白皮書下載更多>>
- 車規與基於V2X的車輛協同主動避撞技術展望
- 數字隔離助力新能源汽車安全隔離的新挑戰
- 汽車模塊拋負載的解決方案
- 車用連接器的安全創新應用
- Melexis Actuators Business Unit
- Position / Current Sensors - Triaxis Hall
熱門搜索



