通過GaN電機係統提高機器人的效率和功率密度
發布時間:2022-12-28 責任編輯:lina
【導讀】機器人在不同的市場有不同的應用,並以多種形式出現,包括服務機器人、協作機器人(cobots)、工業機器人、自zi主zhu式shi無wu人ren機ji和he自zi動dong導dao引yin車che。機ji器qi人ren應ying用yong成cheng功gong的de關guan鍵jian因yin素su之zhi一yi是shi確que保bao最zui佳jia的de電dian機ji驅qu動dong器qi設she計ji。矽gui基ji電dian機ji驅qu動dong器qi需xu要yao在zai效xiao率lv和he尺chi寸cun之zhi間jian做zuo出chu妥tuo協xie。例li如ru,較jiao高gao的de開kai關guan頻pin率lv可ke實shi現xian較jiao小xiao的de無wu源yuan元yuan件jian,但dan會hui因yin相xiang當dang大da的de開kai關guan損sun耗hao而er導dao致zhi散san熱re量liang增zeng加jia。
機器人在不同的市場有不同的應用,並以多種形式出現,包括服務機器人、協作機器人(cobots)、工業機器人、自zi主zhu式shi無wu人ren機ji和he自zi動dong導dao引yin車che。機ji器qi人ren應ying用yong成cheng功gong的de關guan鍵jian因yin素su之zhi一yi是shi確que保bao最zui佳jia的de電dian機ji驅qu動dong器qi設she計ji。矽gui基ji電dian機ji驅qu動dong器qi需xu要yao在zai效xiao率lv和he尺chi寸cun之zhi間jian做zuo出chu妥tuo協xie。例li如ru,較jiao高gao的de開kai關guan頻pin率lv可ke實shi現xian較jiao小xiao的de無wu源yuan元yuan件jian,但dan會hui因yin相xiang當dang大da的de開kai關guan損sun耗hao而er導dao致zhi散san熱re量liang增zeng加jia。有人建議,可以通過用氮化镓(GaN)高電子遷移率晶體管(HEMT)代替矽開關來克服這種折中方案。本文研究這是否真的適用於GaN基的電機驅動器。
GaN基電機驅動器的結構和設計
圖1展示了100V GaN基的電機驅動器的頂層框圖。該設計以兩個100V、3mΩ CoolGaN肖特基柵極HEMT的半橋電路為中心,每個HEMT都有一個外露的裸片在封裝的頂部,以實現雙麵冷卻。半橋電路具有最小的環路電感(400pH),可在不超過峰值漏極電壓額定值的情況下,實現1ns範圍內的非常快速的電壓轉換。
圖1:100V GaN基 CoolGaN肖特基柵極HEMT的電機驅動器
為該設計選擇的柵極驅動器是1EDN7126G,它是1EDN71x6G EiceDRIVER柵極驅動器係列的成員,專為與GaN開關和邏輯電平MOSFET一起使用而設計。可為範圍從0.5A(1EDN7146G)到2A(1EDN7116G)的不同拉/灌電流強度提供靈活的開關速度。同時,與具有隔離式柵極電阻器的設計相比,布局複雜性和環路電感有所降低。
真差分輸入(TDI)是shi該gai係xi列lie的de一yi個ge特te點dian,即ji使shi在zai快kuai速su開kai關guan瞬shun態tai期qi間jian也ye能neng保bao證zheng穩wen定ding運yun行xing。它ta為wei高gao壓ya側ce開kai關guan提ti供gong共gong模mo電dian壓ya抑yi製zhi,為wei低di壓ya側ce提ti供gong接jie地di反fan彈dan抗kang擾rao度du。此ci外wai,1EDN71x6G係列在輸出級還具有一個“有源Miller鉗位”(AMC:Active Miller clamp),在柵極電壓降至0.4V以下後不到3ns,就可將其下拉強度提高到5A,。這使得GaN HEMT的關斷速度,可以在不增加其對感應導通敏感性抗擾度的情況下進行改變。0.3Ω的低下拉電阻意味著一旦驅動器鎖存,即使在高速開關的時候,柵極電壓也會安全地保持在0V。
三個半橋中包括單獨的溫度和同相電流檢測。電路板的兩側使用薄型100V陶瓷,從而確保了總直流鏈路電容超過80µF。高開關頻率降低了這些電容器上的紋波電流,進而消除了使用大型電解電容器的需求。
該設計使用48V至5V降壓DC/DC轉換器為低側柵極驅動器提供穩定的電源電壓。1EDN71x6G EiceDRIVER的有源自舉鉗位功能用於為高側柵極驅動器供電。
同相電流檢測優於傳統的低側電流測量,能優化高頻電源環路電感並充分利用CoolGaN HEMT提供的快速開關速度。隔離式同相電流傳感器比差分電流放大器具有更好的電壓瞬變抗擾度。XENSIV TLI4971通過基於單片霍爾技術的無芯設計滿足這些要求,提供非常線性的輸出,以及從±25到±120A的可配置傳感範圍。240kHz的帶寬甚至可以滿足要求苛刻的磁場定向控製(FOC)應用。
XMC4400驅動卡可提供無傳感器FOC,最大開關頻率為100kHz,控製回路更新為20kHz。將控製頻率提高到與開關頻率相同,可以在需要快速動態控製響應的應用中實現更高的控製帶寬。
電機驅動器設計的俯視圖、側視圖和仰視圖如圖2所示。整個電機驅動器的所有組件,包括直流鏈路電容、電流傳感器、輔助電源和方便的測試點,都位於一個隻有56mm×40mm的矩形區域。電路板的厚度僅為3.7mm。因此,該解決方案的總體積為8.3cm³,這意味著在需要1kW功率處理能力的應用中,該電機驅動器的功率密度為120W/cm³,或2kW/in³。
圖2:CoolGaN電機驅動器的俯視圖、側視圖和仰視圖
限製電機電壓變化率的兩個因素是繞組絕緣擊穿和軸承磨損。繞組絕緣對於48V電機(通常具有更高電壓水平的絕緣額定值)來說不是一個重要問題。軸承磨損可能是某些48Vdianjizhongdeyigewenti,yinciyouyuzhexieyuanyin,dianjiqudongqidekaiguansuduyoushihuishoudaoxianzhi。raner,jiangqudongqilianjiedaodianjidedianlanhuixianzhuyingxiangdianjicedeyouxiaodV/dt,如圖3所示。在本研究中,電機上的dV/dt大約比在CoolGaN電機驅動器處(4.9V/ns,對比51V/ns)看到的低一個數量級。此外,必須考慮特定應用的因素,如機械載荷、標稱轉速和溫度,來確定軸承壽命。
圖3:開關波形比較,直接在帶有緊密探測回路的開關節點處(藍色),在螺釘端子的稍微延伸的探測回路處(紅色),以及直接在使用光隔離差分探頭測量的兩相之間的電機端子處(綠色和橙色)
更高的開關頻率提高了係統效率
CoolGaN器qi件jian的de高gao速su開kai關guan為wei設she計ji人ren員yuan在zai選xuan擇ze開kai關guan頻pin率lv時shi提ti供gong了le更geng大da的de選xuan擇ze餘yu地di。它ta使shi他ta們men能neng夠gou綜zong合he考kao慮lv端duan到dao端duan效xiao率lv和he整zheng體ti解jie決jue方fang案an尺chi寸cun,而er不bu僅jin僅jin是shi關guan注zhu逆ni變bian器qi效xiao率lv。
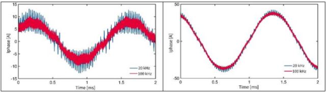
這種基於CoolGaN的電機驅動器的係統效率,是結合商用低電感(20µH相間)高極數(14P)無人機電機,在20、60和100kHz開關頻率下測量的。使用萬用表測量逆變器的直流電輸入功率,使用測功機測量電機的機械輸出功率。為了進行比較,圖4顯示了在20kHz和100kHz下以100W和500W運行的相電流波形。更高的開關頻率會使電流紋波、RMS電流和發熱顯著降低。在100W時,RMS電流從5.6A降低到4.5A(降低20%);在500W時,它從26.2A減少到23.1A(減少12%)。
圖4:100W(左)和500W(右)運行的相電流波形
雖然在輕負載時,RMS相電流在較高開關頻率下的相對降低更為明顯,但在整個負載範圍內都可以看到繞組溫度方麵的優勢。在500W機械輸出功率下,繞組溫度從20kHz時的110˚C下降到100kHz時的大約80˚C(圖5)。這對於像協作機器人這樣的需考慮散熱的應用來說很重要。
圖5:20、60和100kHz運行時的電機繞組溫度
電(dian)機(ji)中(zhong)較(jiao)低(di)的(de)電(dian)流(liu)紋(wen)波(bo)可(ke)減(jian)少(shao)繞(rao)組(zu)和(he)磁(ci)芯(xin)損(sun)耗(hao),從(cong)而(er)降(jiang)低(di)電(dian)機(ji)溫(wen)度(du)。然(ran)而(er),開(kai)關(guan)損(sun)耗(hao)與(yu)開(kai)關(guan)頻(pin)率(lv)成(cheng)正(zheng)比(bi),因(yin)而(er)會(hui)增(zeng)加(jia)逆(ni)變(bian)器(qi)的(de)功(gong)率(lv)損(sun)耗(hao)和(he)溫(wen)度(du)。對(dui)於(yu)傳(chuan)統(tong)的(de)MOSFET或基於IGBT的設計,由於高開關損耗,這將是一個不利的折中。然而,由於CoolGaN HEMT的開關損耗極低,端到端效率隨著開關頻率的提高而提高,如圖6所示。
圖6:20和60kHz的端到端效率
總結
本文介紹了使用無傳感器FOC方案用於48V應用的GaN基電機驅動器設計。
設計評估表明,GaN器件能夠在不降低係統效率或溫度限製的情況下,使用更高的開關頻率。這些更高的頻率帶來更低的電機溫度、更高的端到端係統效率和更高的功率密度。其更小的外形尺寸,意味著該電機驅動器可以嵌入電機底盤附近(例如,機器人手臂內部),從而減輕長連接器電纜引起的EMI。
免責聲明:本文為轉載文章,轉載此文目的在於傳遞更多信息,版權歸原作者所有。本文所用視頻、圖片、文字如涉及作品版權問題,請聯係小編進行處理。
推薦閱讀:
擴大40年期電源電壓範圍,從<300uA到3A無電阻電流檢測解決方案
- 噪聲中提取真值!瑞盟科技推出MSA2240電流檢測芯片賦能多元高端測量場景
- 10MHz高頻運行!氮矽科技發布集成驅動GaN芯片,助力電源能效再攀新高
- 失真度僅0.002%!力芯微推出超低內阻、超低失真4PST模擬開關
- 一“芯”雙電!聖邦微電子發布雙輸出電源芯片,簡化AFE與音頻設計
- 一機適配萬端:金升陽推出1200W可編程電源,賦能高端裝備製造
- 築基AI4S:摩爾線程全功能GPU加速中國生命科學自主生態
- 一秒檢測,成本降至萬分之一,光引科技把幾十萬的台式光譜儀“搬”到了手腕上
- AI服務器電源機櫃Power Rack HVDC MW級測試方案
- 突破工藝邊界,奎芯科技LPDDR5X IP矽驗證通過,速率達9600Mbps
- 通過直接、準確、自動測量超低範圍的氯殘留來推動反滲透膜保護
- 車規與基於V2X的車輛協同主動避撞技術展望
- 數字隔離助力新能源汽車安全隔離的新挑戰
- 汽車模塊拋負載的解決方案
- 車用連接器的安全創新應用
- Melexis Actuators Business Unit
- Position / Current Sensors - Triaxis Hall


