為單極負電源增加高效的正供電軌
發布時間:2020-06-28 來源:Victor Khasiev 責任編輯:wenwei
【導讀】有時候您需要正電源,但大部分可用的供電軌(或僅有的可用供電軌)提供的都是負電源。事實上,負到正電壓轉換已用於汽車電子,以及各種音頻放大器、工業和測試設備的偏置電路中。雖然在許多係統中是電源通過相對於地的負供電軌分配,但這些係統中的邏輯板、ADC、DAC、傳感器和類似器件仍然需要一個或多個正供電軌。本文介紹一種簡單高效且組件數量少的電路,用於從負供電軌生成正電壓。
電路描述和電驅動係統功能
圖1顯示將負電壓高效轉化為正電壓的完整解決方案。這種特定的解決方案使用升壓拓撲。電驅動係統包括開關MOSFET、底部Q1、頂部Q2、電感L1和輸入/輸出濾波器。同步高效升壓控製器IC通過改變電驅動係統中開關MOSFET的狀態來調節輸出電壓。為了描述這種電路,將係統接地(SYS_GND)用作極性參考,得到一個相對於SYS_GND為負的輸入供電軌(–VIN)和一個相對於SYS_GND為正的輸出供電軌(+VOUT)。
轉換器的工作方式如下。如果晶體管Q1開啟,電流從SYS_GND流向負供電軌。晶體管Q2關閉,電感L1將電能存儲在其磁場中。在開關周期的剩餘時間裏,Q1關閉,Q2開啟,電流開始從SYS_GND流向+VOUT供電軌,將L1電能釋放給負載。

圖1.負正轉換器電氣原理圖,VIN為–6 V至–18 V(峰值為–24 V),6 A時VOUT為+12 V。
電驅動係統組件選擇的基本表達
圖2所示的開關行為拓撲關係圖描述了負正轉換器的行為。在開關周期的首個區間,在占空比定義的時長內,底部開關BSW短路,頂部開關TSW斷開。電感電壓L等於–VIN。在此區間內,電感L中的電流增加,在電感兩端生成電壓極性匹配–VIN。與此同時,輸出濾波器電容放電,為係統負載提供電流。

圖2.負到正轉換器拓撲關係圖。
在周期的第二個區間,兩個開關切換,BSW斷開,TSW短路。電感L的極性改變,電感開始向負載和輸出濾波電容器COUT提供(在周期的第一個區間內儲存的)電流。在這段周期內,電感的電流相應降低。電感的伏秒平衡定義轉換器在連續導通模式下的占空比D。
計算時序和組件應力
以下是描述時序和電驅動係統組件應力的公式。
占空比決定開關的開/關時間
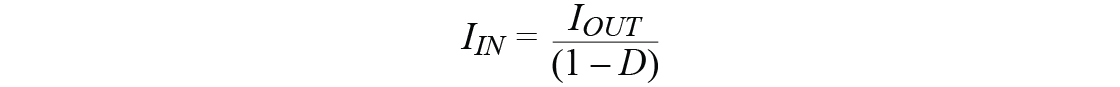
輸入電流IOUT的平均值就是輸入電流
電感電流的峰值
開關MOSFET上的電壓應力
通過底部MOSFET的平均電流
通過頂部MOSFET的平均電流
這些表達公式可以幫助您理解拓撲的功能,並初步選擇電驅動係統組件。關於最終選擇和詳細的設計,請使用LTspice®建模和模擬工具。1
轉換器控製描述和功能
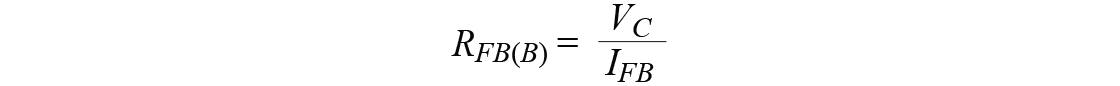
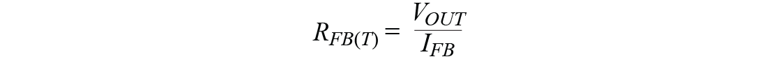
輸出電壓檢測和控製電壓的電平轉換通過由PNP晶體管Q3和Q4形成的電流鏡管控。反饋電流IFB在此電路中為1 mA)決定反饋回路中的電阻值。
其中VC為誤差放大器的基準電壓。
其中RFB(T)為輸出電壓檢測電阻。
圖1所(suo)示(shi)的(de)反(fan)饋(kui)電(dian)路(lu)是(shi)一(yi)種(zhong)低(di)成(cheng)本(ben)解(jie)決(jue)方(fang)案(an),但(dan)分(fen)立(li)式(shi)晶(jing)體(ti)管(guan)的(de)容(rong)差(cha)可(ke)能(neng)會(hui)受(shou)基(ji)極(ji)發(fa)射(she)極(ji)電(dian)壓(ya)和(he)溫(wen)度(du)變(bian)化(hua)差(cha)值(zhi)影(ying)響(xiang)。為(wei)了(le)提(ti)高(gao)精(jing)度(du),可(ke)以(yi)使(shi)用(yong)配(pei)對(dui)的(de)晶(jing)體(ti)管(guan)。
轉換器電驅動係統由LTC7804升壓控製器管控。之所以選擇該芯片,是因為它支持同步整流,易於實現,可以提供高開關頻率操作(如果需要小尺寸電感)和低靜態電流,因而具有高效率。
測試結果和拓撲限製
此解決方案經過了仔細測試和驗證。圖3顯示在各種負載電流下都能保持高效率,達到96%。注意,隨著輸入電壓絕對值減小,輸入電流和電感電流增大。在某個點,電感電流可能會超過電感的最大電流或飽和電流。從圖4的降額曲線可以明顯看出。在–9 V到–18 V範圍內,最大負載電流為6 A,輸入電壓絕對值低於–9 V時,該值更小。圖6解決方案電路板的熱性能見圖5。

圖3.在自然對流冷卻情況下,VIN為–12 V和–18 V時的效率曲線。

圖4.輸入電壓絕對值低於–9 V時的輸出電流降額曲線。

圖5.在自然對流冷卻、沒有空氣流動的情況下,VIN為–12 V,VOUT為+12 V,電流為6 A時,轉換器的熱圖像。

圖6.轉換器照片。
結論
本ben文wen介jie紹shao一yi種zhong非fei常chang高gao效xiao且qie相xiang對dui簡jian單dan的de完wan整zheng解jie決jue方fang案an設she計ji,通tong過guo使shi用yong升sheng壓ya控kong製zhi器qi可ke以yi為wei單dan極ji性xing負fu電dian源yuan添tian加jia正zheng電dian軌gui。文wen中zhong提ti供gong了le電dian氣qi原yuan理li圖tu,以yi及ji時shi序xu、gonglvzhuanhuanzujianhedianqiyinglifangmiandejisuan。ceshishujuzhengshigaixitongjubeigaoxiaolvhechusederexingneng。ciwai,cijiejuefangancaiyongshengyatuopu,yinershejirenyuankeyixuanzeshiyongyurenzhengdeshengyakongzhiqi,congerjieshengkaifashijianhechengben。erzhengshishengyakongzhiqishiyongyufuzhengdianyazhuanhuanqiyeyushizhetashiheweilaideshengyayingyong。
推薦閱讀:
特別推薦
- 噪聲中提取真值!瑞盟科技推出MSA2240電流檢測芯片賦能多元高端測量場景
- 10MHz高頻運行!氮矽科技發布集成驅動GaN芯片,助力電源能效再攀新高
- 失真度僅0.002%!力芯微推出超低內阻、超低失真4PST模擬開關
- 一“芯”雙電!聖邦微電子發布雙輸出電源芯片,簡化AFE與音頻設計
- 一機適配萬端:金升陽推出1200W可編程電源,賦能高端裝備製造
技術文章更多>>
- 貿澤EIT係列新一期,探索AI如何重塑日常科技與用戶體驗
- 算力爆發遇上電源革新,大聯大世平集團攜手晶豐明源線上研討會解鎖應用落地
- 創新不止,創芯不已:第六屆ICDIA創芯展8月南京盛大啟幕!
- AI時代,為什麼存儲基礎設施的可靠性決定數據中心的經濟效益
- 矽典微ONELAB開發係列:為毫米波算法開發者打造的全棧工具鏈
技術白皮書下載更多>>
- 車規與基於V2X的車輛協同主動避撞技術展望
- 數字隔離助力新能源汽車安全隔離的新挑戰
- 汽車模塊拋負載的解決方案
- 車用連接器的安全創新應用
- Melexis Actuators Business Unit
- Position / Current Sensors - Triaxis Hall
熱門搜索
Future
GFIVE
GPS
GPU
Harting
HDMI
HDMI連接器
HD監控
HID燈
I/O處理器
IC
IC插座
IDT
IGBT
in-cell
Intersil
IP監控
iWatt
Keithley
Kemet
Knowles
Lattice
LCD
LCD模組
LCR測試儀
lc振蕩器
Lecroy
LED
LED保護元件
LED背光




