MOSFET開關問題詳細解析
發布時間:2018-10-31 責任編輯:xueqi
【導讀】我們先來看以下問題:為什麼在Vce下降前ic就開始上升了呢?在t0到t1和t2到t3這段時間內是開關管的哪個時期呢?首先我們來解釋問題,為什麼在Vce下降前ic就開始上升了呢?


圖1
這裏就用MOSFET代替BJT了,所以ids = ic,Vds=Vce,Coss也就是Cds代表輸出電容。簡單來說就是當MOS管一開始導通時輸出電容Coss還保持Vds電壓,隨著Ids電流越來越大,Vds電壓終於保持不住,開始下降。直到管子完全開啟。比較詳細的開啟過程是由Miller Plateau造成的,這裏借用了網上一些解釋Miller Plateau的圖,如果有不清楚的就請見諒了。
階段1,Vgs 《 Vth,管子是關斷的,所以Ids = 0,Vds=high,ig充電Cgs。
階段2,Vgs 》 Vth,管子開啟,Ids從0增加到iL被外部電流源電感鉗住,Coss(Cds)上電壓不能突變,保持Vds。
階段3,進入Miller plateau,Vgs 》 Vth,管子仍然保持開啟,Coss開始discharge,Vds電壓開始下降,於此同時Cgd開始被ig充電。Vg保持不變。
階段4,Vd下降到接近0點,ig繼續給ig充電Cgs和Cgd充電。
階段5,Vg到達gate driver預定的電壓,管子開啟過程完成。
關斷過程和開啟過程類似,也會有Miller plateau效應。
我們可以看到,如果如果MOS管開啟時VDS上有原始電壓,那麼MOS開啟過程中就會有Ids和Vds的重疊,那麼會帶來Switching Loss。由於Coss上的能量在極短時間內被釋放,電容上能量會損失掉(換算為Loss為0.5*Coss*Vds^2*fs),而且隻要是非零電壓開啟(Non Zero Voltage Switching),會給PCB和MOS的寄生電感與電容形成的諧振腔(resonant tank)引入比較大的dv/dt或者di/dt激勵,引起比較大的ringing,甚至超過管子的額定電壓,燒毀管子。
那麼我們可以避免這種情況的發生嗎?答案是可以的,也就是很多人提到的Zero Voltage Switching,雖然會付出一定的代價。我們先看如何能實現軟開關開啟Zero Voltage Switching Turn on。

圖二
實現ZVS turn on很簡單,隻需要在我們開啟管子前,Vds上的電壓為零就好,這樣Ids和Vds就沒有重疊了,turn on switching loss為零,沒有high di/dt, dv/dt問題,沒有ringing,完美!那麼如何實現ZVS turn on呢?個人覺得分兩種情況討論:1為PWM converter,2為resonant converter(諧振變換器)。
一, 對於PWM converter,就拿最簡單的兩個管子的half bridge(其實也就是buck converter)做例子。

圖三
對於half bridge 實現ZVS turn on,我們希望當上管Q1開啟時電流是流進switching node (vsw)的,也就是圖中電感電流為負值,當下管Q2開啟時我們希望電流是流出switching node (vsw)的,也就是電感電流為正值。為什麼這樣就可以實現ZVS turn on了呢?我們就看上管Q1開啟過程。如果電感電流iL為負,這時候我們先關閉Q2,這時候Q1還未開啟,在這個deadtime中iL會charge Q2的Coss,使Vsw抬高到Vin,當然不能超過Vin,因為Q1的body diode會導通,鉗位住Vsw到Vin,這時候Q1的Vds就是Vin-Vsw=0,這時候我們開啟Q1就實現ZVS了。同理對於Q2開啟時,如果電感電流為正,那麼當我們首先關閉Q1管時,Vsw就會被電感電流拉低到0,因為iL》0, Q2的Coss會discharged到0,然後我們再開啟Q2,就可以達到ZVS了。這裏我有一張其他Topology的PWM converter的波形圖,也和buck工作原理類似,大概可以看看基本原理,也就是電感電流為負時,Q1可以實現ZVS,讓Vsw的ringing比較小。而當電感電流為正時,實現不了ZVS,Vsw的ringing就比較大了。

圖四
二, 對於resonant converter,其實道理類似,我們也希望在我們開啟管子前,Vds上的電壓為零。那麼對於resonant converter的half bridge,我們希望看到的impedance為inductive,也就是感性的,這樣switching node流出的電流I就會滯後於電壓V,現在ZVS turn on。

圖五
這是因為如果電流I是滯後與電壓V的,這樣在Q1開啟之前電流I為負值就會charge Q2的Coss,同時discharge Q1的Coss,讓V到Vin,這樣Q1就實現ZVS turn on了。Q2開啟之前,電流I為正,也會discharge Q2的Coss,和charge Q1的Coss,讓V到0,這樣Q2就實現ZVS了。
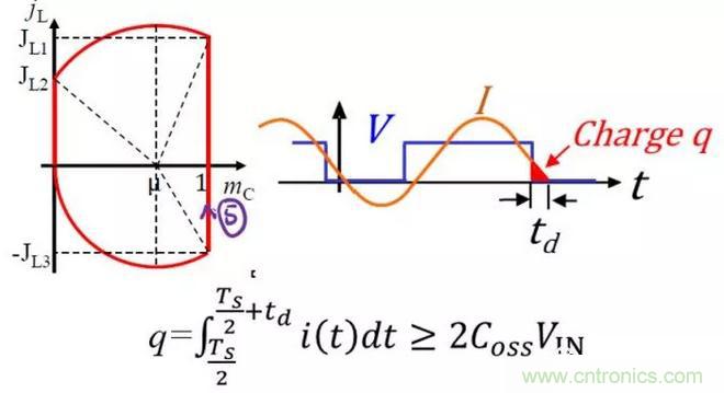
總結起來,要實現ZVS turn on,對於PWM,需要電感電流為負,而且需要足夠的deadtime;對於resonant converter,需要impedance為inductive,而且也需要deadtime。那麼有人可能要問,對於PWM converter到底電感電流為多負?deadtime至少為多少可以保證ZVS?對於resonant converter, impedance 到底為多少?deadtime為多少可以保證ZVS?
要回答這個定量問題,其實是不那麼簡單的。對於PWM converter,參考quasi-square-wave ZVS buck converters,我們是可以畫出state plane,然後根據state planetudejiheguanxidingliangfenxichulaide,danshifeichangfansuo,changchangshiqibagesanjiaohanshudengshiqiujie。suoyiwogerenyujian,zaishejishang,jiurangkaiguanpinlvxiaodian,dianganzhixiaodian,rangdiangandianliuripple足夠大,能達到負值就差不多了。對於resonant converter,倒是可以簡單地通過積分方法,算出i與t的積分,讓這個it積分大於Coss上的charge就行。比如已知impedance,算出V與I的phase shift,然後換算成時間td,然後在td上對電感電流進行積分,隻要這個積分大於等於Coss*Vin就行了。

圖六
說了soft switching, ZVS這麼多好處,我們談談soft switching的弊端。對於PWM converter我們可以看到為了實現ZVS,我們減小了電感值,讓電感電流ripple變大,最終達到負值,實現了ZVS,但是付出的代價就是inductor current的RMS值變大,各個元器件的導通損耗(conduction loss)變大,所以我們是犧牲了conduction loss換取switching loss和小ringing。而且如果輸出電流越大,我們需要實現ZVS的難度更大,需要進一步增大ripple,造成RMS電流進一步增大,很有可能得不償失,造成converter整體效率下降。對於resonant converter,在頻率很高的情況下,有時候需要讓impedance非常inductive,也就是I滯後於V非常厲害才能有足夠的charge q來實現ZVS,這其實也是變相降低了有功功率的傳輸,因為V和I的phase lag比較大,造成了converter的circulating current比較大,RMS電流值增大,也是增大了conduction loss。所以在設計或者考慮ZVS等soft switching時需要對係統有個整體loss的把握,在conduction loss和switching loss之間做好trade-off,這樣才能設計出效率最高,最魯棒的converter。
另外soft switching軟開關技術還有ZVS turn off,Zero Current Switching turn on,Zero Current Switching turn off。這裏就簡單介紹了ZVS turn on,因為ZVS turn on對於MOSFET和GaN比較重要,其他softswitching技術這裏就不一一敘述了。
特別推薦
- 噪聲中提取真值!瑞盟科技推出MSA2240電流檢測芯片賦能多元高端測量場景
- 10MHz高頻運行!氮矽科技發布集成驅動GaN芯片,助力電源能效再攀新高
- 失真度僅0.002%!力芯微推出超低內阻、超低失真4PST模擬開關
- 一“芯”雙電!聖邦微電子發布雙輸出電源芯片,簡化AFE與音頻設計
- 一機適配萬端:金升陽推出1200W可編程電源,賦能高端裝備製造
技術文章更多>>
- 貿澤EIT係列新一期,探索AI如何重塑日常科技與用戶體驗
- 算力爆發遇上電源革新,大聯大世平集團攜手晶豐明源線上研討會解鎖應用落地
- 創新不止,創芯不已:第六屆ICDIA創芯展8月南京盛大啟幕!
- AI時代,為什麼存儲基礎設施的可靠性決定數據中心的經濟效益
- 矽典微ONELAB開發係列:為毫米波算法開發者打造的全棧工具鏈
技術白皮書下載更多>>
- 車規與基於V2X的車輛協同主動避撞技術展望
- 數字隔離助力新能源汽車安全隔離的新挑戰
- 汽車模塊拋負載的解決方案
- 車用連接器的安全創新應用
- Melexis Actuators Business Unit
- Position / Current Sensors - Triaxis Hall
熱門搜索





