電源開關的阻容吸收器設計
發布時間:2018-06-04 來源:Fairchild Semiconductor 責任編輯:wenwei
【導讀】電源開關是每一種電源轉換器的核心元件。 這些元件的工作性能直接決定產品的可靠性和能效。 為增強電源轉換器的開關電路性能,吸收器橫跨電源開關,以抑製電壓尖刺以及衰減電路電感在開關打開時造成的瞬時振蕩。 正確的吸收器設計會提升可靠性和能效並減弱 EMI。 在許多不同的吸收器中,最常見的吸收器是阻容 (RC) 吸收器。 本文將說明為什麼電源開關需要吸收器。 此外,還將給出關於最佳吸收器設計的一些實用小竅門。

圖 1:電源開關的四種基本電路。
在電源轉換器、電機驅動器和燈泡鎮流器中會用到許多不同的拓撲結構。 圖 1 所示為電源開關的四種基本電路。 如圖中藍色線框所示,這四種基本電路以及大多數電源開關電路都采用了“開關-二極管-電感器”網絡。 這種網絡在所有這些電路中的特性均相同。 所以,圖 2 中的簡化電路可用於分析電源開關在開關瞬變期間的開關性能。 既然電感器中的電流在開關瞬變期間幾乎不變,那麼如圖所示,這個電感器就可用電流源替代。 圖 2 所示為理想的“電壓和電流開關”波形。

圖 2:簡化電源開關電路及其理想開關波形。
當 MOSFET 開關關斷時,其自身電壓升高。 然而,電流 IL 將繼續通過 MOSFET,直到開關電壓升至 Vol。 一旦二極管導通,IL 就開始降低。 當 MOSFET 開關導通時,情況剛好相反,如圖所示。 這種開關方式稱作“硬開關”。 在開關瞬變期間,電路必須能同時承受最高電壓和最大電流。 因此,這種“硬開關”方式會使 MOSFET 開關直接承受高電氣應力。

圖 3:MOSFET 開關關斷瞬變電壓過衝。
實際電路中,寄生電感 (Lp)、電容 (Cp) 會產生非常高的開關應力,如圖 4 所示。 Cp 包括開關的輸出電容、PCB 布局和安裝時產生的雜散電容。 Lp 包括 PCB 線路的寄生電感和 MOSFET 的引線電感。 這些來自功率器件的寄生電感、電容形成一個濾波器,並在關斷瞬變剛剛結束時形成諧振,所以會在器件上疊加過高的電壓瞬時振蕩,如圖 3 所示。 為抑製這種峰值電壓,可在開關上並聯一個 RC 吸收器,如圖 4 所示。 電阻值必須接近希望衰減的寄生諧振的阻抗值。 吸收器電容必須大於諧振電路電容,但又必須足夠小,以便最大程度地減小電阻器功率耗散。

圖 4:阻容吸收器配置。
如果功率耗散非關鍵指標,則可采用一種快捷的 RC 吸收器設計方法。 按照經驗,吸收器電容器 Csnub 應兩倍於開關輸出電容與預計安裝電容之和。 吸收器電阻器 Rsnub 則應滿足
。 電阻 Rsnub 在給定開關頻率 (fs) 下的功率耗散可按照下式估算:
當這種簡單的經驗設計不能充分限製峰值電壓時,就需采取優化措施。
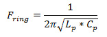
經過優化的 RC 吸收器:在功率耗散是關鍵指標的情況下應采用一種更優的方法。 首先,測量 MOSFET 開關關斷時在其節點 (SW) 處的瞬時振蕩頻率 (Fring)。 在 MOSFET 兩端焊接一個薄膜型 100 pF、低 ESR 電容器。 增大電容值,直至瞬時振蕩頻率為原始測量值的一半。 現在,開關的總輸出電容(增加的電容和原有寄生電容之和)增大到原來的四倍,而瞬時振蕩頻率則與電路的電感電容之積的平方根成反比例。 所以,寄生電容 Cp 是外加電容器電容值的三分之一。 現在,寄生電感 Lp 可利用下式求出:

隻要求出寄生電感 Lp 和寄生電容 Cp,就可根據以下計算公式確定吸收器的電阻器 Rsnub 和電容器 Csnub。


如發現吸收器電阻器不夠大,則可以進行微調,進一步減少瞬時振蕩。
電阻器 Rsnub 在給定開關頻率 (fs) 下的功率耗散為
。
利用所有這些求出的值即可完成電源開關吸收器設計,然後就可以在應用中實現。
推薦閱讀:
特別推薦
- 噪聲中提取真值!瑞盟科技推出MSA2240電流檢測芯片賦能多元高端測量場景
- 10MHz高頻運行!氮矽科技發布集成驅動GaN芯片,助力電源能效再攀新高
- 失真度僅0.002%!力芯微推出超低內阻、超低失真4PST模擬開關
- 一“芯”雙電!聖邦微電子發布雙輸出電源芯片,簡化AFE與音頻設計
- 一機適配萬端:金升陽推出1200W可編程電源,賦能高端裝備製造
技術文章更多>>
- 築基AI4S:摩爾線程全功能GPU加速中國生命科學自主生態
- 一秒檢測,成本降至萬分之一,光引科技把幾十萬的台式光譜儀“搬”到了手腕上
- AI服務器電源機櫃Power Rack HVDC MW級測試方案
- 突破工藝邊界,奎芯科技LPDDR5X IP矽驗證通過,速率達9600Mbps
- 通過直接、準確、自動測量超低範圍的氯殘留來推動反滲透膜保護
技術白皮書下載更多>>
- 車規與基於V2X的車輛協同主動避撞技術展望
- 數字隔離助力新能源汽車安全隔離的新挑戰
- 汽車模塊拋負載的解決方案
- 車用連接器的安全創新應用
- Melexis Actuators Business Unit
- Position / Current Sensors - Triaxis Hall
熱門搜索
微波功率管
微波開關
微波連接器
微波器件
微波三極管
微波振蕩器
微電機
微調電容
微動開關
微蜂窩
位置傳感器
溫度保險絲
溫度傳感器
溫控開關
溫控可控矽
聞泰
穩壓電源
穩壓二極管
穩壓管
無焊端子
無線充電
無線監控
無源濾波器
五金工具
物聯網
顯示模塊
顯微鏡結構
線圈
線繞電位器
線繞電阻




