高邊和低邊電流檢測技術分析
發布時間:2017-03-31 來源:Arpit Mehta 責任編輯:wenwei
【導讀】當dang代dai電dian子zi係xi統tong中zhong的de電dian源yuan管guan理li可ke以yi通tong過guo高gao效xiao的de電dian源yuan分fen配pei優you化hua係xi統tong效xiao率lv。電dian流liu檢jian測ce是shi電dian源yuan管guan理li的de關guan鍵jian技ji術shu之zhi一yi,它ta不bu僅jin有you助zhu於yu保bao持chi理li想xiang的de電dian壓ya等deng級ji,而er且qie能neng通tong過guo提ti供gong伺si服fu調tiao整zheng保bao持chi電dian子zi係xi統tong處chu於yu正zheng常chang狀zhuang態tai,同tong時shi還hai能neng防fang止zhi發fa生sheng電dian路lu故gu障zhang和he電dian池chi過guo度du放fang電dian。
電dian流liu的de檢jian測ce有you兩liang種zhong基ji本ben的de方fang案an。一yi種zhong是shi測ce量liang電dian流liu流liu過guo的de導dao體ti周zhou圍wei的de磁ci場chang,另ling一yi種zhong是shi在zai電dian流liu路lu徑jing中zhong插cha入ru一yi個ge小xiao電dian阻zu,然ran後hou測ce量liang電dian阻zu上shang的de壓ya降jiang。第di一yi種zhong方fang法fa不bu會hui引yin起qi幹gan擾rao或huo引yin入ru插cha損sun,但dan成cheng本ben相xiang對dui比bi較jiao昂ang貴gui,而er且qie容rong易yi產chan生sheng非fei線xian性xing效xiao應ying和he溫wen度du係xi數shu誤wu差cha。因yin此ci磁ci場chang檢jian測ce方fang法fa通tong常chang局ju限xian於yu能neng夠gou承cheng受shou與yu無wu插cha損sun相xiang關guan的de較jiao高gao成cheng本ben的de應ying用yong。
本(ben)文(wen)主(zhu)要(yao)討(tao)論(lun)半(ban)導(dao)體(ti)行(xing)業(ye)中(zhong)已(yi)經(jing)得(de)到(dao)應(ying)用(yong)的(de)電(dian)阻(zu)檢(jian)測(ce)技(ji)術(shu),它(ta)能(neng)為(wei)各(ge)種(zhong)應(ying)用(yong)提(ti)供(gong)精(jing)確(que)且(qie)高(gao)性(xing)價(jia)比(bi)的(de)直(zhi)流(liu)電(dian)流(liu)測(ce)量(liang)結(jie)果(guo)。本(ben)文(wen)還(hai)介(jie)紹(shao)了(le)高(gao)邊(bian)和(he)低(di)邊(bian)檢(jian)測(ce)原(yuan)理(li),並(bing)通(tong)過(guo)實(shi)際(ji)例(li)子(zi)幫(bang)助(zhu)設(she)計(ji)師(shi)選(xuan)擇(ze)適(shi)合(he)自(zi)己(ji)應(ying)用(yong)的(de)最(zui)佳(jia)方(fang)法(fa)。
電阻檢測
在(zai)電(dian)流(liu)路(lu)徑(jing)中(zhong)以(yi)串(chuan)聯(lian)的(de)方(fang)式(shi)插(cha)入(ru)一(yi)個(ge)低(di)阻(zu)值(zhi)的(de)檢(jian)測(ce)電(dian)阻(zu)會(hui)形(xing)成(cheng)一(yi)個(ge)小(xiao)的(de)電(dian)壓(ya)降(jiang),該(gai)壓(ya)降(jiang)可(ke)被(bei)放(fang)大(da)從(cong)而(er)被(bei)當(dang)作(zuo)一(yi)個(ge)正(zheng)比(bi)於(yu)電(dian)流(liu)的(de)信(xin)號(hao)。然(ran)而(er),根(gen)據(ju)具(ju)體(ti)應(ying)用(yong)環(huan)境(jing)和(he)檢(jian)測(ce)電(dian)阻(zu)的(de)位(wei)置(zhi),這(zhe)種(zhong)技(ji)術(shu)將(jiang)對(dui)檢(jian)測(ce)放(fang)大(da)器(qi)造(zao)成(cheng)不(bu)同(tong)的(de)挑(tiao)戰(zhan)。
比如將檢測電阻放在負載和電路地之間,那麼該電阻上形成的壓降可以用簡單的運放進行放大(見圖1B)。這種方法被稱為低邊電流檢測,與之相對應的方法為高邊檢測,即檢測電阻放在電源和負載之間(見圖1A)。

圖1:上麵簡化的框圖描述了一種基本的高邊檢測電路(圖1A)和一種基本的低邊檢測電路(圖1B)。
檢(jian)測(ce)電(dian)阻(zu)值(zhi)應(ying)盡(jin)可(ke)能(neng)低(di),以(yi)保(bao)持(chi)功(gong)耗(hao)可(ke)控(kong),但(dan)也(ye)要(yao)足(zu)夠(gou)大(da),以(yi)便(bian)產(chan)生(sheng)能(neng)被(bei)檢(jian)測(ce)放(fang)大(da)器(qi)檢(jian)測(ce)到(dao)並(bing)在(zai)目(mu)標(biao)精(jing)度(du)內(nei)的(de)電(dian)壓(ya)。值(zhi)得(de)注(zhu)意(yi)的(de)是(shi),在(zai)檢(jian)測(ce)電(dian)阻(zu)上(shang)得(de)到(dao)的(de)這(zhe)種(zhong)差(cha)分(fen)檢(jian)測(ce)信(xin)號(hao)寄(ji)生(sheng)在(zai)一(yi)個(ge)共(gong)模(mo)電(dian)壓(ya)上(shang),這(zhe)個(ge)共(gong)模(mo)電(dian)壓(ya)對(dui)低(di)邊(bian)檢(jian)測(ce)方(fang)法(fa)來(lai)說(shuo)接(jie)近(jin)地(di)電(dian)平(ping)(0V),但dan對dui高gao邊bian檢jian測ce方fang法fa來lai說shuo就jiu接jie近jin電dian源yuan電dian壓ya。這zhe樣yang,測ce量liang放fang大da器qi的de輸shu入ru共gong模mo電dian壓ya範fan圍wei對dui低di邊bian方fang案an來lai說shuo應ying包bao含han地di,對dui高gao邊bian方fang案an來lai說shuo應ying包bao含han電dian源yuan電dian壓ya。
由於低邊檢測時的共模電壓接近地電平,因此電流檢測電壓可以用一個低成本、低di電dian壓ya的de運yun放fang進jin行xing放fang大da。低di邊bian電dian流liu檢jian測ce簡jian單dan且qie成cheng本ben低di,但dan許xu多duo應ying用yong不bu能neng容rong忍ren由you於yu檢jian測ce電dian阻zu引yin入ru的de地di線xian幹gan擾rao。較jiao高gao的de負fu載zai電dian流liu會hui使shi問wen題ti更geng加jia嚴yan重zhong,因yin為wei係xi統tong中zhong地di電dian平ping被bei低di邊bian電dian流liu檢jian測ce偏pian移yi的de某mou個ge模mo塊kuai可ke能neng需xu要yao與yu地di電dian位wei沒mei變bian的de其qi他ta模mo塊kuai進jin行xing通tong信xin。
為了更好地理解這個問題,可以看一下圖2中采用低邊電流檢測技術的“智能電池”充電器,其中AC/DC轉換器的輸出連接到了“2線”智能電池。

圖2:采用低邊電流檢測技術的“智能電池”。
zhezhongdianchitongchangcaiyongdanxianlaichuandizhishidianchizhuangtaidedianchixijiexinxi,haiyouyigenxianyongyuwenduceliang,chuyuanquandeyuanyin,zhegenxianyufujihezhengjiduanzishigelide。weilejiancedianchiwendu,dianchitongchangneizhiyigeremindianzu,yougaidianzutigongzhengbiyudianchifujidianyadeshuchuxinhao。
當采用低邊檢測方案時,可按照如圖2底di部bu所suo示shi的de方fang式shi插cha入ru檢jian測ce電dian阻zu。由you電dian池chi電dian流liu產chan生sheng的de檢jian測ce電dian壓ya經jing放fang大da後hou饋kui入ru控kong製zhi器qi,再zai由you控kong製zhi器qi做zuo出chu一yi些xie必bi要yao的de處chu理li來lai調tiao整zheng功gong率lv流liu。由you於yu檢jian測ce電dian壓ya隨sui電dian池chi電dian流liu而er變bian,這zhe樣yang就jiu會hui改gai變bian電dian池chi負fu極ji的de電dian壓ya,而er溫wen度du輸shu出chu是shi以yi負fu極ji端duan子zi作zuo為wei基ji準zhun信xin號hao因yin此ci就jiu導dao致zhi溫wen度du輸shu出chu不bu精jing確que。
低邊檢測的另外一個主要缺點,體現在電池和地之間意外短路所導致的短路電流不能被檢測到。在圖2所示電路中,正極電源和地之間短路會產生足夠毀壞MOS開關(S1)的(de)大(da)電(dian)流(liu)。然(ran)而(er),盡(jin)管(guan)有(you)這(zhe)樣(yang)的(de)問(wen)題(ti),低(di)邊(bian)檢(jian)測(ce)方(fang)案(an)的(de)簡(jian)單(dan)和(he)低(di)成(cheng)本(ben)使(shi)得(de)它(ta)對(dui)那(na)些(xie)短(duan)路(lu)保(bao)護(hu)不(bu)是(shi)必(bi)要(yao)的(de)應(ying)用(yong)來(lai)說(shuo)有(you)很(hen)大(da)的(de)吸(xi)引(yin)力(li),因(yin)為(wei)在(zai)這(zhe)種(zhong)應(ying)用(yong)中(zhong)地(di)線(xian)幹(gan)擾(rao)是(shi)可(ke)以(yi)容(rong)忍(ren)的(de)。
為什麼要用高邊檢測?
高邊電流檢測(圖1b)指(zhi)的(de)是(shi)將(jiang)檢(jian)測(ce)電(dian)阻(zu)放(fang)在(zai)電(dian)源(yuan)電(dian)壓(ya)和(he)負(fu)載(zai)之(zhi)間(jian)的(de)高(gao)位(wei)。這(zhe)種(zhong)放(fang)置(zhi)方(fang)式(shi)不(bu)僅(jin)消(xiao)除(chu)了(le)低(di)邊(bian)檢(jian)測(ce)方(fang)案(an)中(zhong)產(chan)生(sheng)的(de)地(di)線(xian)幹(gan)擾(rao),還(hai)能(neng)檢(jian)測(ce)到(dao)電(dian)池(chi)到(dao)係(xi)統(tong)地(di)的(de)意(yi)外(wai)短(duan)路(lu)。
然而,高邊檢測要求檢測放大器處理接近電源電壓的共模電壓。這種共模電壓值範圍很寬,從監視處理器內核電壓要求的電平(約1V)到在工業、汽車和電信應用常見的數百伏電壓不等。應用案例包括典型筆記本電腦的電池電壓(17到20V),汽車應用中的12V、24V或48V電池,48V電信應用,高壓電機控製應用,用於雪崩二極管和PIN二極管的電流檢測以及高壓LED背光燈等。因此,高邊電流檢測的一個重要優勢,那就是檢測放大器具備處理較大共模電壓的能力。
傳統高邊電流檢測放大器
對於工作在5V的典型低壓應用來說,高邊檢測放大器可采用簡單的儀表放大器(IA)。然而,不同的IA架構有著不同的限製,如有限的輸入共模電壓範圍。另外,IA也比較昂貴,而且在較高共模電壓時,低壓IA根本無法工作。因此設計高壓高邊電流檢測所需的放大器是一個艱巨的挑戰。
jiejuezhegewentideyigezhijieledangdefangfa,jiushishiyongjiandandedianzufenyaqilaijiangdigaobiangongmodianya,rangzhegegongmodianyaluozaijianceyunfangdeshurugongmofanweinei。raner,zhezhongfangfabujintijida,chengbengao,erqiexiangxiawenshuomingdenayanghaikenengwufatigongjingquedejieguo。
讓我們考慮這樣一個例子:在檢測電阻上產生100mV檢測電壓,該電壓寄生在10V的共模電壓上。對應100mV滿幅檢測電壓的理想輸出是2.5V,最差精度指標是1%。
采用圖3所示的簡單電阻分壓器可將10V共模電壓減小10倍。

圖3:實現傳統高邊電流檢測的電路。
配置為差分放大器的運放A1能很輕鬆地處理1V共模電壓。但Vsense(100mV)同樣也被縮小了10倍,因此在差分放大器A1的輸入端檢測電壓隻有10mV。為了提供要求的2.5V滿刻度電平,還必須引入第二個放大器A2,並設置為250倍的增益。
值得注意的是,A1的輸入偏移電壓無衰減地出現在其輸出端,同時出現在A2輸入端,然後被放大250倍。由於這些偏移電壓是不相關的,它們在A2輸入端可能整合為一個平方根和(RSS),並形成等效偏移電壓。假設兩個運放都有1mV的輸入偏移電壓,那麼等效偏移電壓為:
其中VOS_A1和VOS_A2分別是A1和A2的輸入偏移電壓。

因此由上述公式可以得出A2輸出端僅由輸入偏移電壓所引起的誤差電壓為:
250(1.4mV) = 350mV
這樣,運放偏移電壓造成了14%的係統誤差。
電阻比失配對CMRR的影響
第二個主要的誤差源,是來自與放大器A1的電阻臂相關的公差。A1的CMRR很大程度上取決於電阻增益設置臂R2/R1和R4/R3之比值。兩個臂中電阻比值即使差1%,也會產生90μV/V的輸出共模增益。
使用1%公差的電阻時,電阻臂比值最大變化為±2%,相當於最壞情況下3.6mV/V的共模電壓誤差。這樣,10V的輸入共模電壓變化將在A1輸出端產生高達36mV的誤差(電阻臂變化1%時的誤差為0.9mV)。36mV的誤差顯然是不能接受的,因為它將導致增益為250的A2出現飽和!即使電阻臂比值變化1%也會產生放大的誤差電壓0.9mVx250=225mV。
總誤差
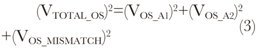
總誤差等於A1輸入偏移電壓、A2輸入偏移電壓、以及由電阻精度引起的誤差電壓的RSS總和。如上所述,電阻%1的精度變化加上10V的共模電壓變化本身就會產生最大36mV的誤差,並使A2飽和。假設電阻臂R2/R1和R4/R3之間的比值隻變化1%,輸出誤差也將高達0.9mV。因此總的RSS輸入誤差電壓為:

其中VOS_A1和VOS_A2分別是A1和A2的輸入偏移電壓,VOS_MISMATCH是由於電阻臂比值1%的變化引起的輸入誤差電壓:

即使我們忽略溫度變化,由於放大器A1和A2的偏移電壓以及電阻臂比值1%的失配引起的總誤差也可能高達1.67mVx250=417.5mV,是滿刻度輸出的16.7%。換句話說,417.5mV誤差電壓看上去像是417.5mV/25 = 16.7mV的輸入偏移誤差,這顯然是不可接受的。
總誤差可以通過使用更高精度的電阻(0.1%)、或具有更好偏移電壓規格的放大器來縮小。但這些措施將進一步增加本來就已經包含了眾多元件的係統的成本。
另外,即使沒有負載,電阻分壓器R4/R3和R2/R1也提供了電源電流到地的流通路徑。這種到地的低共模阻抗在電池供電設備中很關鍵,因為電阻路徑中的漏電會迅速泄漏電池能量。
專用高邊電流檢測放大器
綜上所述,理想的器件不僅要能檢測較高共模電壓上的電壓,而且要具有非常好的CMRR和低輸入偏移電壓。圖4中基本的高邊電流檢測放大器(CSA)已經能以IC的形式買到,並采用小型封裝以最小化電路板尺寸。生產這種IC時使用的高壓製造工藝允許它們即使是在低至2.8V電源電壓下工作也能處理高達80V以上的共模電壓。

圖4:包含這些基本元件的集成高邊電流檢測放大器。(負載、電流鏡像、緩衝器)
電流流經圖4中的檢測電阻會產生一個很小的差分電壓,該電壓必定通過增益電阻RG1。而(正比於檢測電壓的)zhegedianliubeijingxianghechulihoutigongyidiweicankaodeshuchudianliu,congerwanchengconggaobiandelixiangdianpingpianyi。zhegedianliushuchukeyitongguoliujingyigedianzuhuodianyahuanchongqierzhuanhuanweidianya。
美信公司的這個高邊CSA具有以下一些特性:該芯片有非常高的共模輸入阻抗,最小的輸入偏移電壓,低於1%的精度指標和典型100dB的CMRR。這些特性為傳統高邊CSA中常見的問題提供了高性價比的解決方案。其小型封裝(2.2mmx2.4mm SC70,3mmx3mm SOT,1mmx1.5mm USCP等)使電路板尺寸得以保持最小。
這些高邊放大器可以適合眾多應用中的低成本電流檢測使用,每一種放大器都針對特定應用作了優化。例如,MAX4372、MAX9928/29和MAX9938適合電池供電的設備,而MAX9937和MAX4080非常適合工業係統,MAX4069和MAX9923則是需要超低偏移電流應用的最好選擇。由於不使用低邊電流檢測方案,所有這些IC有效地避免了地彈電壓和短路檢測功能缺失的問題。
推薦閱讀:
特別推薦
- 噪聲中提取真值!瑞盟科技推出MSA2240電流檢測芯片賦能多元高端測量場景
- 10MHz高頻運行!氮矽科技發布集成驅動GaN芯片,助力電源能效再攀新高
- 失真度僅0.002%!力芯微推出超低內阻、超低失真4PST模擬開關
- 一“芯”雙電!聖邦微電子發布雙輸出電源芯片,簡化AFE與音頻設計
- 一機適配萬端:金升陽推出1200W可編程電源,賦能高端裝備製造
技術文章更多>>
- 貿澤EIT係列新一期,探索AI如何重塑日常科技與用戶體驗
- 算力爆發遇上電源革新,大聯大世平集團攜手晶豐明源線上研討會解鎖應用落地
- 創新不止,創芯不已:第六屆ICDIA創芯展8月南京盛大啟幕!
- AI時代,為什麼存儲基礎設施的可靠性決定數據中心的經濟效益
- 矽典微ONELAB開發係列:為毫米波算法開發者打造的全棧工具鏈
技術白皮書下載更多>>
- 車規與基於V2X的車輛協同主動避撞技術展望
- 數字隔離助力新能源汽車安全隔離的新挑戰
- 汽車模塊拋負載的解決方案
- 車用連接器的安全創新應用
- Melexis Actuators Business Unit
- Position / Current Sensors - Triaxis Hall
熱門搜索
微波功率管
微波開關
微波連接器
微波器件
微波三極管
微波振蕩器
微電機
微調電容
微動開關
微蜂窩
位置傳感器
溫度保險絲
溫度傳感器
溫控開關
溫控可控矽
聞泰
穩壓電源
穩壓二極管
穩壓管
無焊端子
無線充電
無線監控
無源濾波器
五金工具
物聯網
顯示模塊
顯微鏡結構
線圈
線繞電位器
線繞電阻




