利用Snubber電路消除開關電源和Class D功放電路中的振鈴
發布時間:2016-12-19 來源:Frank Pan 責任編輯:wenwei
【導讀】開關電源和Class D功(gong)放(fang),因(yin)為(wei)電(dian)路(lu)工(gong)作(zuo)在(zai)開(kai)關(guan)狀(zhuang)態(tai),大(da)大(da)降(jiang)低(di)了(le)電(dian)路(lu)的(de)功(gong)率(lv)損(sun)耗(hao),在(zai)當(dang)今(jin)的(de)電(dian)子(zi)產(chan)品(pin)中(zhong)得(de)到(dao)了(le)廣(guang)泛(fan)的(de)應(ying)用(yong)。由(you)於(yu)寄(ji)生(sheng)電(dian)感(gan)和(he)寄(ji)生(sheng)電(dian)容(rong)的(de)存(cun)在(zai),電(dian)路(lu)的(de)PWM開關波形在跳變時,常常伴隨著振鈴現象。這些振鈴常常會帶來令人煩惱的EMC問題。本文對振鈴進行探討,並采用snubber電路對PWM開關信號上的振鈴進行抑製。
振鈴現象
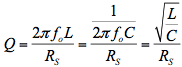
在開關電源和Class D功放電路中,振鈴大多是由電路的寄生電感和寄生電容引起的。寄生電感和寄生電容構成LC諧振電路。 LC諧振電路常常用兩個參數來描述其諧振特性:振蕩頻率(
),品質因數(Q值)。諧振頻率由電感量和電容量決定:
。品質因數可以定義為諧振電路在一個周期內儲存能量與消耗能量之比。並聯諧振電路的Q值為:
,其中RP是並聯諧振電路的等效並聯電阻。串聯諧振電路的Q值為:
,其中RS為串聯諧振電路的等效串聯電阻。
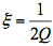
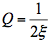
在描述LC電路的階躍跳變時,常用阻尼係數(
)來描述電路特性。阻尼係數跟品質因數的關係是:
或
。在臨界阻尼(
=1)時,階躍信號能在最短時間內跳變到終值,而不伴隨振鈴。在欠阻尼(
<1)時,階躍信號在跳變時會伴隨振鈴。在過阻尼(
>1)時,階躍信號跳變時不伴隨振鈴,但穩定到終值需要花費比較長的時間。在圖一中,藍,紅,綠三條曲線分別為欠阻尼(
<1),臨界阻尼(
=1),過阻尼(
>1)時,對應的階躍波形。

圖一 不同阻尼係數對應的階躍信號(從左至右分別為欠阻尼,臨界阻尼,過阻尼時對應的階躍信號)
我們容易得到並聯LC諧振電路的阻尼係數:
。在我們不改變電路的寄生電感和寄生電容值時,調整等效並聯電阻可以改變諧振電路的阻尼係數,從而控製電路的振鈴。
階躍信號因振鈴引起的過衝跟阻尼係數有對應的關係:
。OS(%)定義為過衝量的幅度跟信號幅度的比值,以百分比表示。表一列出了不同阻尼係數對應的過衝OS(%)。

圖二 過衝圖示

表一: 不同阻尼係數對應的過衝OS(%)
振鈴的危害
對於振鈴,我們直觀感受到的是示波器屏幕上的電壓的波動。實際帶來問題的通常是電路的電流的諧振。在圖三所示的電路裏麵,當PWM開關信號V1在0V和12V切換時,流過電感L1和電容C1的諧振電流可以達到安培量級,如圖四所示。在高頻(圖三所示電路的諧振頻率為232MHz,開關電源和Class D電路裏常見的振鈴頻率在幾十兆到幾百兆Hz之間),安培量級的電流,通過很小的回路,都可能造成輻射超標,使產品無法通過EMC認證。
注:10米處電場強度計算公式為:121212,單位為伏特/米。其中f為電流的頻率(MHz),A為電流的環路麵積(CM2 ),Is為電流幅度(mA)。

圖三 LC諧振電路

圖四 電容C1兩端的電壓和流過電容C1的諧振電流
避免測量引入的振鈴
為了提高電路的效率,開關電源和Class D功放的PWM開關信號的上升/下降時間都比較短,常常在10ns量(liang)級(ji)。測(ce)量(liang)這(zhe)樣(yang)的(de)快(kuai)速(su)切(qie)換(huan)信(xin)號(hao),需(xu)要(yao)考(kao)慮(lv)到(dao)示(shi)波(bo)器(qi)探(tan)頭(tou),特(te)別(bie)是(shi)探(tan)頭(tou)的(de)接(jie)地(di)線(xian)對(dui)測(ce)量(liang)結(jie)果(guo)的(de)影(ying)響(xiang)。在(zai)圖(tu)五(wu)的(de)測(ce)量(liang)方(fang)法(fa)中(zhong),示(shi)波(bo)器(qi)探(tan)頭(tou)的(de)地(di)線(xian)過(guo)長(chang),跟(gen)探(tan)頭(tou)尖(jian)端(duan)的(de)探(tan)針(zhen)構(gou)成(cheng)很(hen)大(da)的(de)回(hui)路(lu)。捕(bu)獲(huo)到(dao)的(de)信(xin)號(hao)出(chu)現(xian)了(le)很(hen)大(da)的(de)振(zhen)鈴(ling),如(ru)圖(tu)六(liu)所(suo)示(shi)。

圖五 示波器探頭上長的地線會影響PWM開關信號的測量結果

圖六 圖五測量方法對應的測試結果
為(wei)了(le)降(jiang)低(di)示(shi)波(bo)器(qi)探(tan)頭(tou)對(dui)測(ce)量(liang)結(jie)果(guo)的(de)影(ying)響(xiang),我(wo)們(men)在(zai)電(dian)路(lu)板(ban)上(shang)焊(han)接(jie)測(ce)量(liang)接(jie)地(di)探(tan)針(zhen),並(bing)去(qu)除(chu)示(shi)波(bo)器(qi)探(tan)頭(tou)上(shang)的(de)地(di)線(xian),如(ru)圖(tu)七(qi)所(suo)示(shi)。通(tong)過(guo)這(zhe)種(zhong)方(fang)法(fa),我(wo)們(men)可(ke)以(yi)大(da)大(da)降(jiang)低(di)示(shi)波(bo)器(qi)探(tan)頭(tou)地(di)線(xian)對(dui)測(ce)量(liang)引(yin)入(ru)的(de)振(zhen)鈴(ling)。圖(tu)八(ba)是(shi)使(shi)用(yong)這(zhe)種(zhong)方(fang)法(fa)捕(bu)獲(huo)到(dao)的(de)PWM開關信號的前後沿波形。

圖七 通過在PCB上焊接接地點改善測量結果

圖 八 圖七測量試方法對應的測試結果
開關電源和Class D功放電路中的諧振電路
在開關電源和Class D功放電路中,芯片退耦電容到芯片電源引腳之間的PCB走線,芯片電源引腳到內部矽片之間的邦定線可以等效成一個寄生電感。在功率MOSFET截止時,功率MOSFET電極之間的電容 (Cgs,Cgd,Cds) 可等效成一個寄生電容。如圖九所示。這些寄生電感和寄生電容構成了LC諧振電路。圖九中的高端MOSFET導通,低端MOSFET截止時,可以等效成圖十所示的LC諧振電路。為了提高電路的效率,當今芯片內部集成的功率MOSFET的
都做得比較小,常常在幾十毫歐到幾百毫歐之間。這意味著諧振電路的阻尼係數可能很小。造成的結果是在PWM開關切換時,伴隨著比較大的振鈴。

圖九 開關電源和D類功放電路裏的寄生電感和電容

圖十 圖九中高端MOSFET導通,低端MOSFET截止時的等效電路
利用Snubber抑製振鈴
上麵對LC諧振電路的振鈴做了介紹。下麵介紹利用snubber電路對振鈴進行抑製。如圖十一中虛線框內的電路所示,Snubber電路由一個小阻值的電阻
和一個電容
串聯構成。其中電阻
用來調節LC諧振電路的阻尼係數。電容
在振鈴頻率(即LC諧振頻率)處呈現很低的容抗,近似於短路。在PWM開關頻率又呈現出較高的容抗。如果沒有電容
的存在,PWM信號會一直加在電阻
兩端,電阻
會消耗過多的能量。
下麵給
選取合適的電阻值,讓PWM開關信號能快速穩定到終值,而又不產生振鈴(臨界阻尼)。我們以圖十一的電路為例。其中L1是電路的寄生電感,C1是電路的寄生電容, 是電路的等效並聯電阻。


圖十一 snubber電路
整理得到:

用snubber改善振鈴實例
下麵以一個實例介紹snubber電路元件值的選取。圖十二a 是一款降壓DC-DC在PWM開關引腳處測到的波形。在PWM信號開關時,伴隨著振鈴現象。通過示波器測量到的振鈴頻率為215.5MHz。我們可以構建第一個方程:

為了得到L1和C1的值,我們需要構建另外一個方程。我們給電容C1並聯一個小電容:在PWM引腳臨時對地焊接一個56pF的電容。這時,振鈴頻率變為146.2MHz,如圖十二b。據此,我們構建另一個方程:
通過上麵兩個方程,可以很快計算出C1=47.7pF,L1=11.4nH。
然後,我們根據過衝量來計算等效並聯電阻
。從圖十三讀出過衝OS(%)為28%,對應的阻尼係數(
)值為0.37。
,得到
,得到
十三 階躍信號過衝
我們得到了電路的L1,C1和
的值,帶入我們前麵得到的公式
,計算得到
。可以選取18歐姆的電阻。
,計算得到電容
的選擇:
元件值的選取原則是,在LC諧振頻率(振鈴頻率)處,容抗要遠小於
的阻值。對PWM開關信號,又要呈現出足夠高的容抗。圖十四是
采用560pF的電容,
采用18歐姆電阻時,PWM開關信號的前沿波形。對比圖十二a中的波形,振鈴得到了很大的改善。

圖十四 加入snubber電路後的PWM前沿波形
Snubber電路的能量消耗
Snubber電路中能量消耗在電阻
上,而能量消耗的多少又取決於電容
的容量,跟電阻
的值無關。這是因為:PWM信號給電容
充電時,電路給snubber電路提供的能量為
,而電容隻得到了其中的一半(
),另一半被
消耗掉。改變
的電阻值,隻是改變了電容充電的速度和
消耗能量的速度,而不改變充電一次
所消耗的總能量。
放電時,電容儲存的能量被
消耗。
在一個PWM開關周期的能量消耗為
。
功率消耗為:
,其中
為PWM開關頻率,V為snubber兩端的電壓幅度峰峰值。
有些應用場合對電路的效率有很高的要求,對snubber電路消耗的功率也需要進行限製。遇到這種情況,可以適當調整snubber電路的元件值,在PWM信號的振鈴和功率消耗之間取得平衡。
降低snubber功耗的另外一個有效辦法是降低電路的寄生電感:把退耦電容盡量靠近芯片放置,加粗退耦電容到芯片之間PCB走線的寬度。從前麵提到的公式(
)可以看出,降低了寄生電感L1,在(zai)其(qi)他(ta)電(dian)路(lu)參(can)數(shu)不(bu)改(gai)變(bian)的(de)情(qing)況(kuang)下(xia),要(yao)保(bao)持(chi)同(tong)樣(yang)的(de)阻(zu)尼(ni)係(xi)數(shu),需(xu)要(yao)更(geng)小(xiao)的(de)電(dian)阻(zu)值(zhi)。同(tong)時(shi),寄(ji)生(sheng)電(dian)感(gan)降(jiang)低(di)後(hou),電(dian)路(lu)的(de)振(zhen)鈴(ling)頻(pin)率(lv)會(hui)提(ti)高(gao)。這(zhe)都(dou)允(yun)許(xu)我(wo)們(men)選(xuan)用(yong)更(geng)小(xiao)容(rong)值(zhi)的(de)
電容,從而可以降低snubber電路引入的功率損耗。
)可以看出,降低了寄生電感L1,在(zai)其(qi)他(ta)電(dian)路(lu)參(can)數(shu)不(bu)改(gai)變(bian)的(de)情(qing)況(kuang)下(xia),要(yao)保(bao)持(chi)同(tong)樣(yang)的(de)阻(zu)尼(ni)係(xi)數(shu),需(xu)要(yao)更(geng)小(xiao)的(de)電(dian)阻(zu)值(zhi)。同(tong)時(shi),寄(ji)生(sheng)電(dian)感(gan)降(jiang)低(di)後(hou),電(dian)路(lu)的(de)振(zhen)鈴(ling)頻(pin)率(lv)會(hui)提(ti)高(gao)。這(zhe)都(dou)允(yun)許(xu)我(wo)們(men)選(xuan)用(yong)更(geng)小(xiao)容(rong)值(zhi)的(de)總結
我們討論了開關電源和Class D功放電路裏PWM信號的振鈴現象,振鈴帶來的危害,振鈴引起的過衝和電路的阻尼係數的對應關係。然後介紹了如何用snubber對振鈴進行抑製。最後通過一個實例介紹了snubber電路裏元件值的選取。在介紹過程中,引入了一些簡單的數學公式。這些數學公式有助於加深我們對概念的理解。
參考文獻
“Radio-Frequency Electronics Circuits and Applications” by Jon B. Hagen
“EMC for Product Designers” Forth Edition by Tim Williams
“基於運算放大器和模擬集成電路的電路設計 (第3版) ” Sergio Franco 著,劉樹棠 朱茂林 榮玫 譯
本文來源於Maxim 。
推薦閱讀:
特別推薦
- 噪聲中提取真值!瑞盟科技推出MSA2240電流檢測芯片賦能多元高端測量場景
- 10MHz高頻運行!氮矽科技發布集成驅動GaN芯片,助力電源能效再攀新高
- 失真度僅0.002%!力芯微推出超低內阻、超低失真4PST模擬開關
- 一“芯”雙電!聖邦微電子發布雙輸出電源芯片,簡化AFE與音頻設計
- 一機適配萬端:金升陽推出1200W可編程電源,賦能高端裝備製造
技術文章更多>>
- 築基AI4S:摩爾線程全功能GPU加速中國生命科學自主生態
- 一秒檢測,成本降至萬分之一,光引科技把幾十萬的台式光譜儀“搬”到了手腕上
- AI服務器電源機櫃Power Rack HVDC MW級測試方案
- 突破工藝邊界,奎芯科技LPDDR5X IP矽驗證通過,速率達9600Mbps
- 通過直接、準確、自動測量超低範圍的氯殘留來推動反滲透膜保護
技術白皮書下載更多>>
- 車規與基於V2X的車輛協同主動避撞技術展望
- 數字隔離助力新能源汽車安全隔離的新挑戰
- 汽車模塊拋負載的解決方案
- 車用連接器的安全創新應用
- Melexis Actuators Business Unit
- Position / Current Sensors - Triaxis Hall
熱門搜索
微波功率管
微波開關
微波連接器
微波器件
微波三極管
微波振蕩器
微電機
微調電容
微動開關
微蜂窩
位置傳感器
溫度保險絲
溫度傳感器
溫控開關
溫控可控矽
聞泰
穩壓電源
穩壓二極管
穩壓管
無焊端子
無線充電
無線監控
無源濾波器
五金工具
物聯網
顯示模塊
顯微鏡結構
線圈
線繞電位器
線繞電阻



