菜鳥工程師手則:功率二極管學習要點分享
發布時間:2015-04-10 責任編輯:sherry
【導讀】作(zuo)為(wei)工(gong)程(cheng)師(shi)要(yao)了(le)解(jie)功(gong)率(lv)二(er)極(ji)管(guan)這(zhe)個(ge)電(dian)子(zi)元(yuan)器(qi)件(jian)的(de)所(suo)有(you)方(fang)麵(mian)是(shi)很(hen)必(bi)須(xu)的(de),特(te)別(bie)是(shi)作(zuo)為(wei)菜(cai)鳥(niao)級(ji)別(bie)的(de)工(gong)程(cheng)師(shi)。本(ben)文(wen)就(jiu)將(jiang)依(yi)次(ci)介(jie)紹(shao)了(le)功(gong)率(lv)二(er)極(ji)管(guan)的(de)基(ji)礎(chu),二(er)極(ji)管(guan)的(de)發(fa)熱(re)和(he)溫度計算,功率二極管功耗的全計算過程。
功率二極管基礎
二極管電流公式:

注意的參數:

Forward-bias(正向偏置恢複時間)

影響條件:
正向電流(電流越大反向時間越長)
反向電壓(電壓越小反向時間越長)
電流變化速度,速度越快減小恢複時間卻會加長存儲時間
結溫越高同時增加恢複時間和存儲時間
[page]
reverse-bias(反向偏置)

影響條件:
正向電流(電流越大正向電壓越大)
電流脈衝上升時間(脈衝越陡正向電壓越大)
溫度影響不大
綜合整個過程

計算結溫過程(對於脈衝電流的計算方法)


精確計算二極管發熱和溫度
博主注:這些計算都是有適用條件的(大電流的功率二極管一定要算,一般的二極管就不用算了),所以還沒有深入淺出的搞清楚計算的界限。
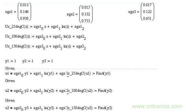
擬合用的是Mathcad。
計算二級管的散熱情況
在設計功率電源的時候,二級管一般損耗比較大,而且為了能夠更加精確的去分析,我們來看一下一般的計算過程。
Losses due to forward voltagedrop(正向功耗)
P.f=V.f*I.o
V.f:正向導通電壓
I.o:輸出電流
Losses due to diode leakage current(反向功耗)
P.r=V.r*I.r
V.r:反向電壓
I.r:反向電流
我們假設電路為:

然後把參數羅列出來計算

然後可以計算出來:

我們可以得到什麼結論呢:二級管燒掉了。這種邏輯在於,結溫直接從85度環境溫度上升到半導體的極限150攝氏度。

這裏我們假設二級管直接按照最大的熱阻和最大功耗,這是有問題和值得思量的,現在我們換種思路:

我們可以發現,二級管其實並不會壞。問題就集中在於二級管的模型沒有建立好。
[page]
jianlimoxinghenzhongyao,ruguoanzhaodangezuidazhilaifenxi,womenmianlindewentishibatadefanweifangdehenda,duiyubijiaolinjiedewentilaishuo,jibenbakeyiyongdeyuanqijianpaichizaiwaile。

因此我們需要仔細建立模型,正向電壓的過程如下:
藍色為從圖中抓取的數據,紅色為我們知道的PN結模型,下麵一個紅色的為曲線擬合過程:


結果如下:

反向電流也是同樣地:

這些做完以後我們可以很精確的知道,溫度,電壓這些對於管子的實際影響了。
功率二極管的功耗計算
前麵關於功率二極管,基礎,熱阻,正向壓降都已經涉及到了。在這裏需要補充全計算過程:


正向壓降功耗:
算法1:
P.f=V.f*I.o
V.f:正向導通電壓
I.o:輸出電流

算法2:
Vf=Vo+If*Rs
Pf=Vo*If+Rs*If^2

反向電流功耗:
這個值不太好估計,因為Vr也在變化,因此我建議以實測為主:

實測:

然後可測得電壓下降波形進行計算。
漏電流功耗:
P.r=V.r*I.r V.r:反向電壓 I.r:反向電流

特別推薦
- 噪聲中提取真值!瑞盟科技推出MSA2240電流檢測芯片賦能多元高端測量場景
- 10MHz高頻運行!氮矽科技發布集成驅動GaN芯片,助力電源能效再攀新高
- 失真度僅0.002%!力芯微推出超低內阻、超低失真4PST模擬開關
- 一“芯”雙電!聖邦微電子發布雙輸出電源芯片,簡化AFE與音頻設計
- 一機適配萬端:金升陽推出1200W可編程電源,賦能高端裝備製造
技術文章更多>>
- 邊緣AI的發展為更智能、更可持續的技術鋪平道路
- 每台智能體PC,都是AI時代的新入口
- IAR作為Qt Group獨立BU攜兩項重磅汽車電子應用開發方案首秀北京車展
- 構建具有網絡彈性的嵌入式係統:來自行業領袖的洞見
- 數字化的線性穩壓器
技術白皮書下載更多>>
- 車規與基於V2X的車輛協同主動避撞技術展望
- 數字隔離助力新能源汽車安全隔離的新挑戰
- 汽車模塊拋負載的解決方案
- 車用連接器的安全創新應用
- Melexis Actuators Business Unit
- Position / Current Sensors - Triaxis Hall
熱門搜索
Future
GFIVE
GPS
GPU
Harting
HDMI
HDMI連接器
HD監控
HID燈
I/O處理器
IC
IC插座
IDT
IGBT
in-cell
Intersil
IP監控
iWatt
Keithley
Kemet
Knowles
Lattice
LCD
LCD模組
LCR測試儀
lc振蕩器
Lecroy
LED
LED保護元件
LED背光




