陶老師:RCD尖峰脈衝吸收電路參數計算舉例
發布時間:2014-02-18 來源:陶老師 責任編輯:sherryyu
接著上次介紹的《雙節有驚喜,教你計算電源開關管保護電路參數》。
1、開關變壓器初級線圈漏感Ls的計算
反激式開關變壓器的漏感一般都比較大,漏感與初級線圈電感之比,大多數都在2~5%之間。漏感的大小主要與變壓器初、次級線圈的繞法、tiexinhegujiadejiegou,yijiqixidaxiaodengcanshuyouguan,haiyucitongmiduquzhidedaxiaoyouguan,yinweicitongmiduqudeyueda,daocilvjiuhuiyuexiao,louganxiangduiyeyaozengda。louganxiaoyu2%或大於15%的開關變壓器,其結構一般都比較特殊。
kaiguanbianyaqichujixianquandianganliangdedaxiao,zhuyaoyukaiguandianyuandegongzuopinlvyouguan,haiyugongzuodianyaheshuchugonglvdedaxiaoyouguan。yibanshuchugonglvyueda,gongzuopinlvjiuyuedi,dianganliangxiangyingyeyaozengda;而工作電壓越高,電感量也越大。開關變壓器初級線圈的電感L和漏感Ls的大小可以用儀表直接測量,一般工作頻率為30~50kHz,工作電壓為AC110V~220V的開關變壓器,其初級線圈的電感量大約為:300~1000微亨,漏感大約為:10~100微亨;計算時,可按3~6%的比例來取值進行估算。例如:L=1000uH,則可取 Ls = 30~60uH。
2、尖峰脈衝吸收電容器容量的計算
要計算尖峰脈衝吸收電容器容量,首先要計算流過變壓器初級線圈電流的最大值。計算流過變壓器初級線圈的最大電流Im可根據開關電源的最大輸入功率Pm來估算。電流Im可根據開關電源的最大輸入功率Pm來估算。根據【1-26】式,當輸出功率一定時,輸入電壓在一定的範圍內,流過變壓器初級線圈的最大電流Im和輸出電壓Uo基本是穩定的;變壓器初、次級線圈反激輸出電壓的半波平均值也基本是穩定的,與輸入電壓的大小無關,但對應不同的輸入電壓必須對應不同的占空比,參看【1-41】、【1-42】式。
當流過開關變壓器初級線圈的最大電流確定之後,尖峰脈衝吸收電容器容量以及電容充電時電壓增量的數值就可以按【1-33】~【1-36】式進行計算。
在實際應用中,電容器C吸收尖峰脈衝電壓增量
的數值,與開關管的耐壓BVm的參數大小有關。假設電源開關管的耐壓BVm為650V,如果預留20%的餘量,那麼,正常工作時,加到開關管D-S極之間的最高脈衝電壓Umds隻能達到520Vp。而在520Vp的Umds電壓之中,電容器C吸收尖峰脈衝電壓增量
(
等於
)這一項是要首先考慮的。假設
等於Umds電壓的20%,即:
等於104 V,當最高輸入電壓為360V時(對應交流輸入電壓為AC253V),根據【1-39】式可求得:
![]()
[page]
假設漏感Ls與開關變壓器初級線圈的電感L的比值K為5%,根據【1-42】式可求勵磁電感產生的反擊輸出電壓 eu的半波平均值 Upau為:
![]()
大多數反激式開關電源的最大輸出功率都在100W一下,因為用於反激式開關電源功率損耗大於10W的電源開關管種類很少,如需要較大的輸出功率,一般都選用半橋式或全橋式雙激式開關電源。
假設開關電源的最大輸出功率為50W,當占空比D = 0.5時,變壓器初級線圈的反激輸出電壓的半波平均值 Upal與輸入電壓U相等,即,Upal=U =108V,Upau=102.6 V,而流過變壓器初級線圈的最大電流Im等於平均電流的4倍,由此可求得最大輸入電流Im = 1.95A ;假設開關變壓器初級線圈的電感量L=1000uH,漏感Ls = 50uH。把這些參數代入【1-34】式,可求得:

當考慮電阻R對電容器C充電的分流作用,以及開關管由導通到完全關斷期間,漏極電流對電容器C充電的分流作用時,根據【1-36】式,假設分流係數r = 0.5 ,則【1-52】式還可改寫為:

上麵【1-52】和【1-53】式的計算結果,可作為對RCD尖峰脈衝吸收電路進行試驗時,選擇電容器容量的上限和下限,最終結果需要通過電路試驗來決定。
試驗時,以輸入電壓和輸出功率的最大值為條件,然後,由大到小,選擇不同容量的電容器做試驗,用示波器觀測電源開關管D-S兩端的電壓,直到Uds與最高耐壓BVm兩者之差能滿足餘量要求時,為最佳結果。
這裏順便說明一下,為什麼【1-53】式中的分流係數取值為0.5,而不是其它數值。因為,分流係數r的取值範圍是0~1,它是一個動態係數,它的大小,除了與輸入電壓和輸出功率和RCD電路中電容、電阻的大小有關外,還與開關管的關斷時間,以及電流大小有關係。
3、尖峰脈衝吸收電阻阻值的計算
紋波電壓
的大小與釋放電阻R的大小還有關。一旦電容器的容量確定之後,釋放電阻R的大小就可以根據【1-45】~【1-49】來計算。根據【1-38】式,電容器兩端最高電壓為:

根據(46)式,電容器兩端最低電壓為:

[page]
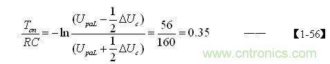
把【1-54】和【1-55】式的結果代入【1-49】式,即可求出RC的值:

當RC的值與開關管導通時間Ton完全相等時,【1-46】式的值正好等於0.37,與【1-56】式的結果非常接近。或者當紋波電壓
=100V時,由(56)式計算得到的結果正好等於0.37,兩者誤差小於4%,因此,可以認為RC的值與開關管導通時間Ton完全相等,以此為條件來計算RC的值。即:

把由【1-52】和(2-73)式求出電容器C的結果,以及根據【1-25】式求出的Ton值,代入【1-57】式後即可求出電阻R的值。
由於,當占空比D小於0.5時,流過電感線圈的電流出現斷流(平均值),這也會對分流係數產生很大的影響,使計算非常複雜;為了簡單,我們在計算開關管的導通時間Ton時,還是以占空比等於0.5為例。
當占空比等於0.5時,對應的輸入電壓U為108V,對應的最大電流Im為1.95A,假設開關變壓器初級線圈的電感量L=1000uH,根據【1-45】式,可求得Ton的值為:

把【1-53】、【1-58】式的計算結果:C = 4395P,Ton = 18uS ,代入【1-57】式:

即:計算結果為:C = 4395P ; R = 4096 歐姆。
[page]
試驗結果表明,【1-53】和【1-59】式的計算結果是合理的。當開關變壓器初級線圈的漏感為5%時,其反激輸出電壓的平均功率也為5%(Pa = 2.5W);由於電容器C兩端電壓的半波平均值為108V,由此可求得電阻R(4096 歐姆)損耗的功率為2.85W,與精確值2.5瓦相差0.35W。這正是把【1-36】式設為電容器取值範圍下限,對應【1-53】和【1-59】所求得的結果,即由【1-59】所求得的結果還是一個保守的結果,但其離精確值已經非常近。
當輸入電壓為最大值(AC260V)的時候,其占空比大約隻有0.3左右,因此,電容器充電的時間要比放電的時間長很多;在電容器還處在充電期間,變壓器初級線圈就會出現斷流,這相當於電容器會提前放電,其結果與占空比等於0.5時的結果基本相同。但做試驗時,最好還是以輸入電壓為最大值時為準。如電阻R的值取得小些,相當於分流係數rjiangdi,zheduijiangdikaiguanguandeguanduansunhaoshiyouhaochude,yinwei,kaiguanbianyaqilouganchucundecinengliang,yibufenshitongguokaiguanguanguanduanshichanshengdesunhaolaishifangde,lingyibufenzeshitongguoRCD回路中的電容充電和電阻分流來進行釋放;但電阻的阻值取得太小,又會從勵磁電感線圈存儲的能量中吸收能量,降低開關電源的工作效率。
在反激式開關電源中,很多人用一個穩壓二極管來代替RCD電路中的電阻和電容,用以對開關管進行過壓保護,如圖8suoshi。congyuanlishanglaishuo,zhezhongfangfaduikaiguanguandeguoyabaohushifeichangyouxiaode,danshijianzhengming,zhezhongbaohufangfakekaoxingshifeichangchade。yinwei,dangkaiguanguanguanduanshi,1.95A(以上麵計算結果為例)的電流流過150~200V的穩壓二極管,其產生的瞬時功率高達290~390W,這麼大的瞬時功率很容易使穩壓二極管損傷,當損傷程度達到某個臨界點後,就會產生熱擊穿,造成永久失效。

另外,當穩壓二極管還沒擊穿之前,它不會對開關管分流,從而大大增大開關管的關斷損耗;並(bing)且(qie),流(liu)過(guo)穩(wen)壓(ya)二(er)極(ji)管(guan)的(de)電(dian)流(liu)還(hai)產(chan)生(sheng)很(hen)大(da)的(de)電(dian)流(liu)突(tu)跳(tiao),很(hen)容(rong)易(yi)產(chan)生(sheng)高(gao)頻(pin)電(dian)磁(ci)輻(fu)射(she)。因(yin)此(ci),對(dui)開(kai)關(guan)管(guan)進(jin)行(xing)過(guo)壓(ya)保(bao)護(hu),在(zai)技(ji)術(shu)性(xing)能(neng)方(fang)麵(mian),選(xuan)用(yong)RC要遠遠優於選用穩壓二極管。
減小開關變壓器的漏感是提高開關電源工作效率和工作可靠性的最好方法,但這一點很少有人注意。
【連載】陶顯芳老師談開關變壓器的工作原理與設計:
雙節有驚喜,教你計算電源開關管保護電路參數
http://m.0-fzl.cn/power-art/80022319
陶老師教你:對漏感與分布電容的影響進行數學分析
http://m.0-fzl.cn/power-art/80022290
陶老師精講:單激式開關電源的基本電路
http://m.0-fzl.cn/power-art/80022281
線圈電感量的計算及幾種典型電感介紹
http://m.0-fzl.cn/power-art/80022174
開關變壓器的漏感工作原理及計算
http://m.0-fzl.cn/power-art/80022173
開關變壓器鐵芯脈衝導磁率與平均導磁率的測量
http://m.0-fzl.cn/power-art/80022172
雙激式開關變壓器鐵芯磁滯損耗、渦流損耗的測量
http://m.0-fzl.cn/power-art/80022171
單激式開關變壓器鐵芯磁滯損耗、渦流損耗的測量
http://m.0-fzl.cn/power-art/80022170
- 噪聲中提取真值!瑞盟科技推出MSA2240電流檢測芯片賦能多元高端測量場景
- 10MHz高頻運行!氮矽科技發布集成驅動GaN芯片,助力電源能效再攀新高
- 失真度僅0.002%!力芯微推出超低內阻、超低失真4PST模擬開關
- 一“芯”雙電!聖邦微電子發布雙輸出電源芯片,簡化AFE與音頻設計
- 一機適配萬端:金升陽推出1200W可編程電源,賦能高端裝備製造
- 算力爆發遇上電源革新,大聯大世平集團攜手晶豐明源線上研討會解鎖應用落地
- 築基AI4S:摩爾線程全功能GPU加速中國生命科學自主生態
- 一秒檢測,成本降至萬分之一,光引科技把幾十萬的台式光譜儀“搬”到了手腕上
- AI服務器電源機櫃Power Rack HVDC MW級測試方案
- 突破工藝邊界,奎芯科技LPDDR5X IP矽驗證通過,速率達9600Mbps
- 車規與基於V2X的車輛協同主動避撞技術展望
- 數字隔離助力新能源汽車安全隔離的新挑戰
- 汽車模塊拋負載的解決方案
- 車用連接器的安全創新應用
- Melexis Actuators Business Unit
- Position / Current Sensors - Triaxis Hall





