【電源設計小貼士28】:估算熱插拔MOSFET的瞬態溫升1
發布時間:2013-02-27 責任編輯:hedyxing
【導讀】在本電源設計小貼士以及下次的小貼士中,我們將研究一種估算熱插拔 MOSFET 溫wen升sheng的de簡jian單dan方fang法fa。熱re插cha拔ba電dian路lu用yong於yu將jiang電dian容rong輸shu入ru設she備bei插cha入ru通tong電dian的de電dian壓ya總zong線xian時shi限xian製zhi浪lang湧yong電dian流liu。這zhe樣yang做zuo的de目mu的de是shi防fang止zhi總zong線xian電dian壓ya下xia降jiang以yi及ji連lian接jie設she備bei運yun行xing中zhong斷duan。
通(tong)過(guo)使(shi)用(yong)一(yi)個(ge)串(chuan)聯(lian)組(zu)件(jian)逐(zhu)漸(jian)延(yan)長(chang)新(xin)連(lian)接(jie)電(dian)容(rong)負(fu)載(zai)的(de)充(chong)電(dian)時(shi)間(jian),熱(re)插(cha)拔(ba)器(qi)件(jian)可(ke)以(yi)完(wan)成(cheng)這(zhe)項(xiang)工(gong)作(zuo)。結(jie)果(guo),該(gai)串(chuan)聯(lian)組(zu)件(jian)具(ju)有(you)巨(ju)大(da)的(de)損(sun)耗(hao),並(bing)在(zai)充(chong)電(dian)事(shi)件(jian)發(fa)生(sheng)期(qi)間(jian)產(chan)生(sheng)溫(wen)升(sheng)。大(da)多(duo)數(shu)熱(re)插(cha)拔(ba)設(she)備(bei)的(de)製(zhi)造(zao)廠(chang)商(shang)都(dou)建(jian)議(yi)您(nin)查(zha)閱(yue)安(an)全(quan)工(gong)作(zuo)區(qu)域(yu) (SOA) 曲線,以便設備免受過應力損害。圖 1 所示 SOA 曲線顯示了可接受能量區域和設備功耗,其一般為一個非常保守的估計。MOSFET 的de主zhu要yao憂you慮lv是shi其qi結jie溫wen不bu應ying超chao出chu最zui大da額e定ding值zhi。該gai曲qu線xian以yi圖tu形xing的de形xing式shi向xiang您nin表biao明ming,由you於yu設she備bei散san熱re電dian容rong的de存cun在zai它ta可ke以yi處chu理li短duan暫zan的de高gao功gong耗hao。這zhe樣yang可ke以yi幫bang助zhu您nin開kai發fa一yi個ge精jing確que的de散san熱re模mo型xing,以yi進jin行xing更geng加jia保bao守shou、現實的估算。

圖1 MOSFET SOA曲線表明了允許能耗的起始點
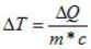
在【電源設計小貼士9】中,我們討論了一種電氣等效電路,用於估算係統的散熱性能。我們提出在散熱與電流、溫wen度du與yu電dian壓ya以yi及ji散san熱re與yu電dian阻zu之zhi間jian均jun存cun在zai模mo擬ni電dian路lu。在zai本ben設she計ji小xiao貼tie士shi中zhong,我wo們men將jiang增zeng加jia散san熱re與yu電dian容rong之zhi間jian的de模mo擬ni電dian路lu。如ru果guo將jiang熱re量liang加jia到dao大da量liang的de材cai料liao之zhi中zhong,其qi溫wen升sheng可ke以yi根gen據ju能neng量liang (Q)、質量 (m) 和比熱 (c) 計算得到,即:
能量正好是功率隨時間變化的積分:
然後合並上述兩個方程式,我們得到我們的電容散熱模擬 (m*c) 如下:
表1列出了一些常見材料及其比熱和密度,其或許有助於建模熱插拔器件內部的散熱電容。

表1 常見材料的物理屬性
隻需通過估算您建模的各種係統組件的物理尺寸,便可得到散熱電容。散熱能力等於組件體積、密度和比熱的乘積。這樣便可以使用圖 2 所示的模型結構。
gaimoxingyizuoshangjiaoyigedianliuyuanzuoweikaishi,qiweixitongzengjiareliangdemoni。dianliuliuruluopiandererongjiqirezu。reliangcongluopianliuruyinxiankuanghefengzhuangguanfengcailiao。liujingyinxiankuangdereliangzailiurufengzhuanghe散熱片之間的接觸麵。熱量從散熱片流入熱環境中。遍及整個網絡的電壓代表高於環境的溫升。

圖2 將散熱電容加到DC電氣模擬
熱阻和熱容的粗略估算顯示在整個網絡中。該模型可以進行環境和DC模擬,可幫助根據製造廠商提供的SOA曲線圖進行一些保守計算。
特別推薦
- 噪聲中提取真值!瑞盟科技推出MSA2240電流檢測芯片賦能多元高端測量場景
- 10MHz高頻運行!氮矽科技發布集成驅動GaN芯片,助力電源能效再攀新高
- 失真度僅0.002%!力芯微推出超低內阻、超低失真4PST模擬開關
- 一“芯”雙電!聖邦微電子發布雙輸出電源芯片,簡化AFE與音頻設計
- 一機適配萬端:金升陽推出1200W可編程電源,賦能高端裝備製造
技術文章更多>>
- 貿澤EIT係列新一期,探索AI如何重塑日常科技與用戶體驗
- 算力爆發遇上電源革新,大聯大世平集團攜手晶豐明源線上研討會解鎖應用落地
- 創新不止,創芯不已:第六屆ICDIA創芯展8月南京盛大啟幕!
- AI時代,為什麼存儲基礎設施的可靠性決定數據中心的經濟效益
- 築基AI4S:摩爾線程全功能GPU加速中國生命科學自主生態
技術白皮書下載更多>>
- 車規與基於V2X的車輛協同主動避撞技術展望
- 數字隔離助力新能源汽車安全隔離的新挑戰
- 汽車模塊拋負載的解決方案
- 車用連接器的安全創新應用
- Melexis Actuators Business Unit
- Position / Current Sensors - Triaxis Hall
熱門搜索
微波功率管
微波開關
微波連接器
微波器件
微波三極管
微波振蕩器
微電機
微調電容
微動開關
微蜂窩
位置傳感器
溫度保險絲
溫度傳感器
溫控開關
溫控可控矽
聞泰
穩壓電源
穩壓二極管
穩壓管
無焊端子
無線充電
無線監控
無源濾波器
五金工具
物聯網
顯示模塊
顯微鏡結構
線圈
線繞電位器
線繞電阻




