【電源設計小貼士12】:如何使電源效率最大化
發布時間:2013-02-04 責任編輯:hedyxing
【導讀】在【電源設計小貼士11】中,我們討論了如何利用泰勒級數 (Taylor series) 查找電源中的損耗源。在本篇電源設計小貼士中,我們將討論如何使用相同的級數最大化特定負載電流的電源效率。
在【電源設計小貼士11】中,我們建議使用如下輸出電流函數來計算電源損耗:
下一步是利用上述簡單表達式,並將其放入效率方程式中:
這樣,輸出電流的效率就得到了優化(具體論證工作留給學生去完成)。這種優化可產生一個有趣的結果。
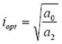
當輸出電流等於如下表達式時,效率將會最大化。

需要注意的第一件事是,a1項(xiang)對(dui)效(xiao)率(lv)達(da)到(dao)最(zui)大(da)時(shi)的(de)電(dian)流(liu)不(bu)產(chan)生(sheng)影(ying)響(xiang)。這(zhe)是(shi)由(you)於(yu)它(ta)與(yu)損(sun)耗(hao)相(xiang)關(guan),而(er)上(shang)述(shu)損(sun)耗(hao)又(you)與(yu)諸(zhu)如(ru)二(er)極(ji)管(guan)結(jie)點(dian)的(de)輸(shu)出(chu)電(dian)流(liu)成(cheng)比(bi)例(li)關(guan)係(xi)。因(yin)此(ci),當(dang)輸(shu)出(chu)電(dian)流(liu)增(zeng)加(jia)時(shi),上(shang)述(shu)損(sun)耗(hao)和(he)輸(shu)出(chu)功(gong)率(lv)也(ye)會(hui)隨(sui)之(zhi)增(zeng)加(jia),並(bing)且(qie)對(dui)效(xiao)率(lv)沒(mei)有(you)影(ying)響(xiang)。需(xu)要(yao)注(zhu)意(yi)的(de)第(di)二(er)件(jian)事(shi)是(shi),最(zui)佳(jia)效(xiao)率(lv)出(chu)現(xian)在(zai)固(gu)定(ding)損(sun)耗(hao)和(he)傳(chuan)導(dao)損(sun)耗(hao)相(xiang)等(deng)的(de)某(mou)個(ge)點(dian)上(shang)。這(zhe)就(jiu)是(shi)說(shuo),隻(zhi)要(yao)控(kong)製(zhi)設(she)置(zhi)a0和a2值的組件,便能夠獲得最佳效率。還是要努力減小a1的值,並提高效率。控製該項所得結果對所有負載電流而言均相同,因此如其他項一樣沒有出現最佳效率。a1項的目標是在控製成本的同時達到最小化。
表1概括總結了各種電源損耗項及其相關損耗係數,該表提供了一些最佳化電源效率方麵的折中方法。例如,功率MOSFET導通電阻的選擇會影響其柵極驅動要求及Coss損耗和潛在的緩衝器損耗。低導通電阻意味著,柵極驅動、Coss 和緩衝器損耗逆向增加。因此,您可通過選擇MOSFET來控製a0和a2。
壓;它們還包含兩組低壓差線性穩壓器(LDO),負責提供電源給鎖相回路 (PLL) 和SRAM或處理器的其它功能模塊。這些器件還有許多功能未列在表中,例如後備電池支持、I2C界麵和重置功能。
表1 損耗係數及相應的電源損耗

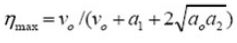
代數式下一位將最佳電流代回到效率方程式中,解得最大效率為:
需要最小化該表達式中的最後兩項,以最佳化效率。a1項很簡單,隻需對其最小化即可。末尾項能夠實現部分優化。如果假設MOSFET的Coss和柵極驅動功率與其麵積相關,同時其導通電阻與麵積成反比,則可以為它選擇最佳麵積(和電阻)。圖1顯示了裸片麵積的優化結果。裸片麵積較小時,MOSFET的導通電阻變為效率限製器。隨著裸片麵積增加,驅動和Coss損耗也隨之增加,並且在某一點上變為主要損耗組件。這種最小值相對寬泛,從而讓設計人員可以靈活控製已實現低損耗的MOSFET成本。當驅動損耗等於傳導損耗時達到最低損耗。

圖1 調節MOSFET裸片麵積來最小化滿負載功率損耗
圖2是圍繞圖1最zui佳jia點dian的de三san種zhong可ke能neng設she計ji效xiao率lv圖tu。圖tu中zhong分fen別bie顯xian示shi了le三san種zhong設she計ji的de正zheng常chang裸luo片pian麵mian積ji。輕qing負fu載zai情qing況kuang下xia,較jiao大da麵mian積ji裸luo片pian的de效xiao率lv會hui受shou不bu斷duan增zeng加jia的de驅qu動dong損sun耗hao影ying響xiang,而er在zai重zhong負fu載zai條tiao件jian下xia小xiao尺chi寸cun器qi件jian因yin高gao傳chuan導dao損sun耗hao而er變bian得de不bu堪kan重zhong負fu。這zhe些xie曲qu線xian代dai表biao裸luo片pian麵mian積ji和he成cheng本ben的de三san比bi一yi變bian化hua,注zhu意yi這zhe一yi點dian非fei常chang重zhong要yao。正zheng常chang芯xin片pian麵mian積ji設she計ji的de效xiao率lv隻zhi比bi滿man功gong率lv大da麵mian積ji設she計ji的de效xiao率lv稍shao低di一yi點dian,而er在zai輕qing載zai條tiao件jian下xia(設計常常運行在這種負載條件下)則更高。

圖2 效率峰值出現在滿額定電流之前
特別推薦
- 噪聲中提取真值!瑞盟科技推出MSA2240電流檢測芯片賦能多元高端測量場景
- 10MHz高頻運行!氮矽科技發布集成驅動GaN芯片,助力電源能效再攀新高
- 失真度僅0.002%!力芯微推出超低內阻、超低失真4PST模擬開關
- 一“芯”雙電!聖邦微電子發布雙輸出電源芯片,簡化AFE與音頻設計
- 一機適配萬端:金升陽推出1200W可編程電源,賦能高端裝備製造
技術文章更多>>
- 三星上演罕見對峙:工會集會討薪,股東隔街抗議
- 摩爾線程實現DeepSeek-V4“Day-0”支持,國產GPU適配再提速
- 築牢安全防線:智能駕駛邁向規模化應用的關鍵挑戰與破局之道
- GPT-Image 2:99%文字準確率,AI生圖告別“鬼畫符”
- 機器人馬拉鬆的勝負手:藏在主板角落裏的“時鍾戰爭”
技術白皮書下載更多>>
- 車規與基於V2X的車輛協同主動避撞技術展望
- 數字隔離助力新能源汽車安全隔離的新挑戰
- 汽車模塊拋負載的解決方案
- 車用連接器的安全創新應用
- Melexis Actuators Business Unit
- Position / Current Sensors - Triaxis Hall
熱門搜索
Tektronix
Thunderbolt
TI
TOREX
TTI
TVS
UPS電源
USB3.0
USB 3.0主控芯片
USB傳輸速度
usb存儲器
USB連接器
VGA連接器
Vishay
WCDMA功放
WCDMA基帶
Wi-Fi
Wi-Fi芯片
window8
WPG
XILINX
Zigbee
ZigBee Pro
安規電容
按鈕開關
白色家電
保護器件
保險絲管
北鬥定位
北高智

