連續或脈衝輸出功率可調LD驅動電源設計
發布時間:2012-01-18
中心議題:
- LD驅動電源的電路結構及原理
- LC驅動電源電路的設計
解決方案:
- 基準電壓源電路的設計
- 恒流源電路的設計
- 脈衝控製電路的設計
LD(激光二極管)不僅具有一般激光器高單色性、高相幹性、高方向性和準直性的特點,還具有尺寸小、重量輕、低電壓驅動、直接調製等特性,因而廣泛應用於國防、科研、醫療、光通信等領域。然而,由於LD是shi一yi種zhong高gao功gong率lv密mi度du並bing具ju有you極ji高gao量liang子zi效xiao率lv的de器qi件jian,對dui於yu電dian衝chong擊ji的de承cheng受shou能neng力li差cha,微wei小xiao的de電dian流liu波bo動dong將jiang導dao致zhi光guang功gong率lv輸shu出chu的de極ji大da變bian化hua和he器qi件jian參can數shu的de變bian化hua,這zhe些xie變bian化hua直zhi接jie危wei及ji器qi件jian的de安an全quan使shi用yong,因yin而er在zai實shi際ji應ying用yong中zhong對dui驅qu動dong電dian源yuan的de性xing能neng和he安an全quan保bao護hu有you著zhe很hen高gao的de要yao求qiu。在zai驅qu動dong電dian源yuan的de設she計ji過guo程cheng中zhong,同tong時shi考kao慮lv對duiLD進行安全有效保護,如防止浪湧衝擊,慢啟動等問題。
1 電路結構及原理
LD是依靠載流子直接注入而工作的,注入電流的穩定性對激光器的輸出有直接、明顯的影響,因此,LD驅動電源需要為LD提供一個紋波小,毛刺少的穩恒電流。該LD驅動電源包括4部分:基準電壓源,恒流源電路,脈衝控製電路,保護電路。結構框圖如圖1所示。

1.1 基準電壓源電路
基準電壓源電路構成如圖2所示,其作用是為恒流源電路提供一個高精度,低溫漂的電壓參考,同時,為電路中的集成電路(如光耦合器、運算放大器、反相器等)提供穩定工作電壓。

LM317是美國國家半導體公司的三端可調正穩壓器集成電路,輸出電壓範圍是1.2~37 V,負載電流最大為1.5 A,使用簡單。其工作過程如下:輸出電壓Vout通過R1、VQ1,對C2充電,開始時VQ1飽和導通,Vout最低(約1.5 V)。隨著C2上電壓的升高,VQ1逐漸退出飽和並趨於截止,Vout逐漸升高至額定電壓。改變R1、C2的常數可改變軟啟動的時間。改變可變電阻R2的值,可調整輸出電壓Vout的值。VD1用於關機後使C2上的電荷快速泄放。其輸出電壓為:
![]()
[page]
1.2 恒流源電路
為了實現高的電流穩定度,驅動電路大多采用負反饋的控製方法,恒流控製原理如圖3所示。穩流電路由基準電壓電路、電壓-電流轉換電路、恒流輸出電路和反饋電路組成。電路工作時,基準電壓經過適當放大後送入運放A1的同相端,運放A1控製VQ1基極電流的大小,從而獲得相應的輸出電流,輸出電流在取樣電阻R上產生取樣電壓,該取樣電壓經A2放大後作為反饋電壓反饋回電壓放大器A1的反相輸入端,並與同相輸入端的電壓進行比較,對輸出電壓進行調整,進而對VQ1基極的輸出電流進行調整,使整個閉環反饋係統處於動態的平衡中,以達到穩定輸出電流的目的。

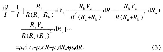
但在實際情況下電阻的溫度係數和基準電壓的溫度係數將影響輸出電流的穩定性。對式(2)進行全微分並化簡可得電流穩定度的表達式:
輸出電流I與設定的基準電壓Vc的關係可由負反饋原理得到:

式中,Vc為基準電壓,Ra、Rb為反饋網絡中的電阻,R為取樣電阻,在理想情況下R、Ra、Rb恒定不變。
由式(2)可知,輸出電流I與基準電壓Vc呈線性關係。


由於選取的取樣電阻R為歐姆級,而(Ra+Rb)為數十千歐姆級,因此有:μ2>μ1>μ3≈μ4,這說明影響輸出電流穩定度的主要因素是取樣電阻的溫度係數和電壓基準的穩定度。在本恒流源中,選用取樣電阻精度是0.1%,溫度係數是±2.5×10-5/℃,電壓基準的溫度係數小於1×10-6/℃。
[page]
1.3 脈衝控製電路
對許多LD應用來說,有時希望脈衝輸出,因為脈衝輸出時LD結發熱很小。LD工作在低占空比和短脈寬狀態時允許比CW電流電平高得多的脈衝電流電平,而且多數不需要製冷。
脈衝LD電源控製技術的關鍵在於對電流脈衝波形的控製,外控調製信號采用TTL方波,LD輸出跟隨控製信號以開關方式輸出。
根據上述設計思想設計脈衝控製接口電路,其原理圖如圖4所示。由非門單元,晶體管VQ3,光電耦合器組成。當脈衝為高電平時,非門輸出低電壓,使光電耦合器截止,光電耦合器輸出低電平,使晶體管VQ3截止,VQ3集電極輸出高電平使VQ1、VQ2導通,LD正常工作;反之,光電耦合器導通,使VQ3導通,VQ3集電極輸出低電平,使VQl、VQ2截止,LD不工作。在沒有外控脈衝控製信號時,接口懸空,非門輸入高電平,輸出低電壓,光電耦合器不工作,晶體管VQ3截止,VQ3集電極為高電平,使VQ1導通,保證LD的正常連續發光。

1.4 保護電路
考慮到LD的易損性,在穩流控製中保護電路的設計也是很重要的一個方麵。本設計中,選用供電電壓波動較小,內部具有慢啟動、過流、過熱保護、尖峰電流限製功能的集成直流穩壓器,隻需在LD兩端反向並聯一個普通二極管以防止反向過壓,同時並聯小容量電容防止回路電流毛刺損壞管芯。
2 結果與分析
表1是該電路驅動波長650 nm,功率200 mW的LD連續工作時,基準電壓與輸出電流的測試結果,其電壓-電流關係如圖5所示。


圖5結果表明基準電壓與輸出電流成正比例關係,通過調節基準電壓,可以改變LD的輸出功率,即LD輸出功率連續可調。
[page]
圖6顯示了該驅動電源輸出的脈衝波形。曲線Input為輸入控製脈衝信號,曲線Output為LD上電壓脈衝。結果表明:LD上電壓脈衝的上升和下降時間都很短,中間段電壓的穩定使輸出電流恒定,恒定的電流幅度保證了LD輸出功率的穩定。通過改變輸入脈衝的頻率、脈寬,可得到所需的LD激光脈衝信號。

3 結論
本文提出了可用於連續或脈衝輸出的半導體激光器驅動電源的設計方法,測試結果表明:1)驅動波長範圍為650~980 nm:2)輸出功率0~300 mW連續可調;3)連續或脈衝輸出可選。電源穩定、可靠、控製簡單,功率連續可調,可廣泛地用於對半導體激光驅動電源體積要求較小的應用中。
- 噪聲中提取真值!瑞盟科技推出MSA2240電流檢測芯片賦能多元高端測量場景
- 10MHz高頻運行!氮矽科技發布集成驅動GaN芯片,助力電源能效再攀新高
- 失真度僅0.002%!力芯微推出超低內阻、超低失真4PST模擬開關
- 一“芯”雙電!聖邦微電子發布雙輸出電源芯片,簡化AFE與音頻設計
- 一機適配萬端:金升陽推出1200W可編程電源,賦能高端裝備製造
- 貿澤EIT係列新一期,探索AI如何重塑日常科技與用戶體驗
- 算力爆發遇上電源革新,大聯大世平集團攜手晶豐明源線上研討會解鎖應用落地
- 創新不止,創芯不已:第六屆ICDIA創芯展8月南京盛大啟幕!
- AI時代,為什麼存儲基礎設施的可靠性決定數據中心的經濟效益
- 矽典微ONELAB開發係列:為毫米波算法開發者打造的全棧工具鏈
- 車規與基於V2X的車輛協同主動避撞技術展望
- 數字隔離助力新能源汽車安全隔離的新挑戰
- 汽車模塊拋負載的解決方案
- 車用連接器的安全創新應用
- Melexis Actuators Business Unit
- Position / Current Sensors - Triaxis Hall




