開關電源的小信號模型及環路設計
發布時間:2011-12-31
中心議題:
1引言
設she計ji一yi個ge具ju有you良liang好hao動dong態tai和he靜jing態tai性xing能neng的de開kai關guan電dian源yuan時shi,控kong製zhi環huan路lu的de設she計ji是shi很hen重zhong要yao的de一yi個ge部bu分fen。而er環huan路lu的de設she計ji與yu主zhu電dian路lu的de拓tuo撲pu和he參can數shu有you極ji大da關guan係xi。為wei了le進jin行xing穩wen定ding性xing分fen析xi,有you必bi要yao建jian立li開kai關guan電dian源yuan完wan整zheng的de小xiao信xin號hao數shu學xue模mo型xing。在zai頻pin域yu模mo型xing下xia,波bo特te圖tu提ti供gong了le一yi種zhong簡jian單dan方fang便bian的de工gong程cheng分fen析xi方fang法fa,可ke用yong來lai進jin行xing環huan路lu增zeng益yi的de計ji算suan和he穩wen定ding性xing分fen析xi。由you於yu開kai關guan電dian源yuan本ben質zhi上shang是shi一yi個ge非fei線xian性xing的de控kong製zhi對dui象xiang,因yin此ci,用yong解jie析xi的de辦ban法fa建jian模mo隻zhi能neng近jin似si建jian立li其qi在zai穩wen態tai時shi的de小xiao信xin號hao擾rao動dong模mo型xing,而er用yong該gai模mo型xing來lai解jie釋shi大da範fan圍wei的de擾rao動dong(例如啟動過程和負載劇烈變化過程)並不完全準確。好在開關電源一般工作在穩態,實踐表明,依據小信號擾動模型設計出的控製電路,配合軟啟動電路、限流電路、鉗位電路和其他輔助部分後,完全能使開關電源的性能滿足要求。開關電源一般采用Buck電路,工作在定頻PWM控製方式,本文以此為基礎進行分析。采用其他拓撲的開關電源分析方法類似。

圖1為典型的Buck電路,為了簡化分析,假定功率開關管S和D1為理想開關,濾波電感L為理想電感(電阻為0),電路工作在連續電流模式(CCM)下。Re為濾波電容C的等效串聯電阻,Ro為負載電阻。各狀態變量的正方向定義如圖1中所示。
S導通時,對電感列狀態方程有L(dil/dt)=Uin-Uo (1)S斷開,D1續流導通時,狀態方程變為L(dil/dt)=-Uo ( 2)
占空比為D時,一個開關周期過程中,式(1)及式(2)分別持續了DTs和(1-D)Ts的時間(Ts為開關周期),因此,一個周期內電感的平均狀態方程為
L(dil/dt)=D(Uin-Uo)+(1-D)(-Uo)=DUin-Uo (3)
穩態時,=0,則DUin=Uo。這說明穩態時輸出電壓是一個常數,其大小與占空比D和輸入電壓Uin成正比。
由於電路各狀態變量總是圍繞穩態值波動,因此,由式(3)得
L[d(il il'''''''')/dt]=(D+d)(Uin+Uin'''''''')-(Uo+Uo'''''''') (4)

式(4)由式(3)的穩態值加小信號波動值形成。上標為波浪符的量為波動量,d為D的波動量。式(4)減式(3)並略去了兩個波動量的乘積項得
[page]
L(dil''''''''/dt)=DUin''''''''+dUin-Uo'''''''' (5)
由圖1,又有
iL=C(duc/dt)+Uo/R0 (6)
Uo=Uc+ReC(duc/dt) (7)
式(6)及式(7)不論電路工作在哪種狀態均成立。由式(6)及式(7)可得
iL+ReC(dil/dt)=1/Ro(Uo+CRo(duo/dt)) (8)
式(8)的推導中假設Re<
式(9)減式(8)得
iL ReC(dil/dt)=1/Ro(Uo+CRo(dUo/dt)) (10)
將式(10)進行拉氏變換得
iL(s)=(Uo(s)/Ro)·[(1 sCRo)/(1 sCRe)] (11)
(s)=(11)一般認為在開關頻率的頻帶範圍內輸入電壓是恒定的,即可假設=0並將其代入式(5),將式(5)進行拉氏變換得
sLiL''''''''(s)=d(s)Uin-Uo''''''''(s) (12)
由式(11),式(12)得
Uo''''''''(s)/d(s)=Uin[(1 sCRe)/(s2LC s(ReC L/Ro) 1] (13)
iL''''''''(s)/d(s)=[(1 sCRo)/s2LC s(ReC L/Ro) 1]·Uin/Ro (14)
式(13),式(14)便為Buck電路在電感電流連續時的控製-輸出小信號傳遞函數。
式(9)減式(8)得
iL ReC(dil/dt)=1/Ro(Uo+CRo(dUo/dt)) (10)
將式(10)進行拉氏變換得
iL(s)=(Uo(s)/Ro)·[(1 sCRo)/(1 sCRe)] (11)
(s)=(11)一般認為在開關頻率的頻帶範圍內輸入電壓是恒定的,即可假設=0並將其代入式(5),將式(5)進行拉氏變換得
sLiL''''''''(s)=d(s)Uin-Uo''''''''(s) (12)
由式(11),式(12)得
Uo''''''''(s)/d(s)=Uin[(1 sCRe)/(s2LC s(ReC L/Ro) 1] (13)
iL''''''''(s)/d(s)=[(1 sCRo)/s2LC s(ReC L/Ro) 1]·Uin/Ro (14)
式(13),式(14)便為Buck電路在電感電流連續時的控製-輸出小信號傳遞函數。
2 電壓模式控製(VMC)
電壓模式控製方法僅采用單電壓環進行校正,比較簡單,容易實現,可以滿足大多數情況下的性能要求,如圖2所示。
圖2中,當電壓誤差放大器(E/A)增益較低、帶寬很窄時,Vc波形近似直流電平,並有
D=Vc/Vs (15)
d=Vc''''''''/Vs (16)
式(16)為式(15)的小信號波動方程。整個電路的環路結構如圖3所示。圖3沒有考慮輸入電壓的變化,即假設uin=。圖3中,(一般為0)及分別為電壓給定與電壓輸出的小信號波動;
KFB=UREF/Uo,為反饋係數;誤差e為輸出采樣值偏離穩態點的波動值,經電壓誤差放大器KEA放大後,得;KMOD為脈衝寬度調製器增益,KMOD=d/=1/Vs;KPWR為主電路增益,KPWR=/d=Uin;KLC為輸出濾波器傳遞函數,KLC=(1 sCRe)/[S2LC s(ReC L/Ro) 1]。
在已知環路其他部分的傳遞函數表達式後,即可設計電壓誤差放大器了。由於KLC提供了一個零點和兩個諧振極點,因此,一般將E/A設計成PI調節器即可,KEA=KP(1+ωz/s)。其中ωz用於消除穩態誤差,一般取為KLC零極點的1/10以下;KP用於使剪切頻率處的開環增益以-20dB/十倍頻穿越0dB線,相角裕量略小於90°。
VMC方法有以下缺點:
1)沒有可預測輸入電壓影響的電壓前饋機製,對瞬變的輸入電壓響應較慢,需要很高的環路增益;
2)對由L和C產生的二階極點(產生180°的相移)沒有構成補償,動態響應較慢。
VMC的缺點可用下麵將要介紹的CMC方法克服。
3 平均電流模式控製(AverageCMC)
平均電流模式控製含有電壓外環和電流內環兩個環路,如圖4所示。電壓環提供電感電流的給定,電流環采用誤差放大器對送入的電感電流給定(Vcv)和反饋信號(iLRs)之差進行比較、放大,得到的誤差放大器輸出Vc再和三角波Vs進行比較,最後即得控製占空比的開關信號。圖4中Rs為采樣電阻。對於一個設計良好的電流誤差放大器,Vc不會是一個直流量,當開關導通時,電感電流上升,會導致Vc下降;開關關斷,電感電流下降時,會導致Vc上升。電流環的設計原則是,不能使Vc上升斜率超過三角波的上升斜率,兩者斜率相等時就是最優。原因是:如果Vc上升斜率超過三角波的上升斜率,會導致Vc峰值超過Vs的峰值,在下個周波時Vc和Vs就可能不會相交,造成次諧波振蕩。
[page]
采用斜坡匹配的方法進行最優設計後,PWM控製器的增益會隨占空比D的變化而變,如圖5所示。

當D很大時,較小的Vc會引起D較大的改變,而D較小時,即使Vc變化很大,D的改變也不大,即增益下降。所以有
d=DV''''''''/Vs (17)
不妨設電壓環帶寬遠低於電流環,則在分析電流環時Vcv為常數。當Vc的上升斜率等於三角波斜率時,在開關頻率fs處,電流誤差放大器的增益GCA為
GCA[d(iLRs)/dt]=GCA(Vo/L)Rs=Vsfs (18)
GCA=Vc''''''''/(iL''''''''Rs)=VsfsL/(UoRs) (19)
高頻下,將式(14)分子中的“1”和分母中的低階項忽略,並化簡,得
iL''''''''(s)=[d(s)Uin]/sL (20)
由式(17)及式(20)有
(iL''''''''Rs)/Vc''''''''=[Rsd(s)Uin/(sL)]/[d(s)Vs/D]=(RsUinD)/(sLVs) (21)
將式(19)與式(21)相乘,得整個電流環的開環傳遞函數為
(RsUinD/sLVs)·(VsfsL)/(UoRs)=fs/s (22)
將s=2πfc代入上式,並令上式等於1時,可得環路的剪切頻率fc=fs/(2π)。因此,可將電流環等效為延時時間常數為一個開關周期的純慣性環節,如圖6所示。顯然,當電流誤差放大器的增益GCA小於最優值時,電流響應的延時將會更長。
GCA中一般要在fs處或更高頻處形成一個高頻極點,以使fs以後的電流環開環增益以-40dB/dec的de斜xie率lv下xia降jiang,這zhe樣yang雖sui然ran使shi相xiang角jiao裕yu量liang稍shao變bian小xiao,但dan可ke以yi消xiao除chu電dian流liu反fan饋kui波bo形xing上shang的de高gao頻pin毛mao刺ci的de影ying響xiang,提ti高gao電dian流liu環huan的de抗kang幹gan擾rao能neng力li。低di頻pin下xia一yi般ban要yao加jia一yi個ge零ling點dian,使shi電dian流liu環huan開kai環huan增zeng益yi變bian大da,減jian小xiao穩wen態tai誤wu差cha。
整個環路的結構如圖7所示。其中KEA,KFB定義如前。可見相對VMC而言(參見圖3),平均CMC消除了原來由濾波電感引起的極點(新增極點fs很大,對電壓環影響很小),將環路校正成了一階係統,電壓環增益可以保持恒定,不隨輸入電壓Vin而變,外環設計變得更加容易。
4 峰值電流模式控製(PeakCMC)
平均CMC由於要采樣濾波電感的電流,有時顯得不太方便,因此,實踐中經常采用一種變通的電流模式控製方法,即峰值CMC,如圖8所示。電壓外環輸出控製量(Vc)和由電感電流上升沿形成的斜坡波形(Vs)通過電壓比較器進行比較後,直接得到開關管的關斷信號(開通信號由時鍾自動給出),因此,電壓環的輸出控製量是電感電流的峰值給定量,由電感電流峰值控製占空比。
峰值CMC控製的是電感電流的峰值,而不是電感電流(經濾波後即負載電流),而峰值電流和平均電流之間存在誤差,因此,峰值CMC性能不如平均CMC。一般滿載時電感電流在導通期間的電流增量設計為額定電流的10%左右,因此,最好情況下峰值電感電流和平均值之間的誤差也有5%,負載越輕誤差越大,特別是進入不連續電流(DCM)工作區後誤差將超過100%,係統有時可能會出現振蕩現象。在剪切頻率fc以下,由圖6可知平均CMC的電流環開環增益可升到很高(可以>1000),電流可完全得到控製,但峰值CMC的電流環開環增益隻能保持在10以內不變(峰值電流和平均值之間的誤差引起),因此,峰值CMC更適用於滿載場合。
峰值CMC的缺點還包括對噪音敏感,需要進行斜坡補償解決次諧波振蕩等問題。但由於峰值CMC存在逐周波限流等特有的優點,且容易通過脈衝電流互感器等簡單辦法複現電感電流峰值,因此,它在Buck電路中仍然得到了廣泛應用。
5 結語
采用平均狀態方程的方法可以得到Buck電路的小信號頻域模型,並可依此進行環路設計。電壓模式控製、平均電流模式控製和峰值電流模式控製方法均可用來進行環路設計,各有其優缺點,適用的範圍也不盡相同。
- 開關電源的小信號模型及環路設計
- 平均電流模式控製
- 采用變通的電流模式控製方法
- 采用平均狀態方程的方法
- 環路設計
1引言
設she計ji一yi個ge具ju有you良liang好hao動dong態tai和he靜jing態tai性xing能neng的de開kai關guan電dian源yuan時shi,控kong製zhi環huan路lu的de設she計ji是shi很hen重zhong要yao的de一yi個ge部bu分fen。而er環huan路lu的de設she計ji與yu主zhu電dian路lu的de拓tuo撲pu和he參can數shu有you極ji大da關guan係xi。為wei了le進jin行xing穩wen定ding性xing分fen析xi,有you必bi要yao建jian立li開kai關guan電dian源yuan完wan整zheng的de小xiao信xin號hao數shu學xue模mo型xing。在zai頻pin域yu模mo型xing下xia,波bo特te圖tu提ti供gong了le一yi種zhong簡jian單dan方fang便bian的de工gong程cheng分fen析xi方fang法fa,可ke用yong來lai進jin行xing環huan路lu增zeng益yi的de計ji算suan和he穩wen定ding性xing分fen析xi。由you於yu開kai關guan電dian源yuan本ben質zhi上shang是shi一yi個ge非fei線xian性xing的de控kong製zhi對dui象xiang,因yin此ci,用yong解jie析xi的de辦ban法fa建jian模mo隻zhi能neng近jin似si建jian立li其qi在zai穩wen態tai時shi的de小xiao信xin號hao擾rao動dong模mo型xing,而er用yong該gai模mo型xing來lai解jie釋shi大da範fan圍wei的de擾rao動dong(例如啟動過程和負載劇烈變化過程)並不完全準確。好在開關電源一般工作在穩態,實踐表明,依據小信號擾動模型設計出的控製電路,配合軟啟動電路、限流電路、鉗位電路和其他輔助部分後,完全能使開關電源的性能滿足要求。開關電源一般采用Buck電路,工作在定頻PWM控製方式,本文以此為基礎進行分析。采用其他拓撲的開關電源分析方法類似。

S導通時,對電感列狀態方程有L(dil/dt)=Uin-Uo (1)S斷開,D1續流導通時,狀態方程變為L(dil/dt)=-Uo ( 2)

占空比為D時,一個開關周期過程中,式(1)及式(2)分別持續了DTs和(1-D)Ts的時間(Ts為開關周期),因此,一個周期內電感的平均狀態方程為
L(dil/dt)=D(Uin-Uo)+(1-D)(-Uo)=DUin-Uo (3)
穩態時,=0,則DUin=Uo。這說明穩態時輸出電壓是一個常數,其大小與占空比D和輸入電壓Uin成正比。
由於電路各狀態變量總是圍繞穩態值波動,因此,由式(3)得
L[d(il il'''''''')/dt]=(D+d)(Uin+Uin'''''''')-(Uo+Uo'''''''') (4)

[page]
L(dil''''''''/dt)=DUin''''''''+dUin-Uo'''''''' (5)
由圖1,又有
iL=C(duc/dt)+Uo/R0 (6)
Uo=Uc+ReC(duc/dt) (7)
式(6)及式(7)不論電路工作在哪種狀態均成立。由式(6)及式(7)可得
iL+ReC(dil/dt)=1/Ro(Uo+CRo(duo/dt)) (8)
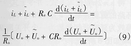
式(8)的推導中假設Re<
式(9)減式(8)得
iL ReC(dil/dt)=1/Ro(Uo+CRo(dUo/dt)) (10)
將式(10)進行拉氏變換得
iL(s)=(Uo(s)/Ro)·[(1 sCRo)/(1 sCRe)] (11)
(s)=(11)一般認為在開關頻率的頻帶範圍內輸入電壓是恒定的,即可假設=0並將其代入式(5),將式(5)進行拉氏變換得
sLiL''''''''(s)=d(s)Uin-Uo''''''''(s) (12)
由式(11),式(12)得
Uo''''''''(s)/d(s)=Uin[(1 sCRe)/(s2LC s(ReC L/Ro) 1] (13)
iL''''''''(s)/d(s)=[(1 sCRo)/s2LC s(ReC L/Ro) 1]·Uin/Ro (14)
式(13),式(14)便為Buck電路在電感電流連續時的控製-輸出小信號傳遞函數。
式(9)減式(8)得
iL ReC(dil/dt)=1/Ro(Uo+CRo(dUo/dt)) (10)
將式(10)進行拉氏變換得
iL(s)=(Uo(s)/Ro)·[(1 sCRo)/(1 sCRe)] (11)
(s)=(11)一般認為在開關頻率的頻帶範圍內輸入電壓是恒定的,即可假設=0並將其代入式(5),將式(5)進行拉氏變換得
sLiL''''''''(s)=d(s)Uin-Uo''''''''(s) (12)
由式(11),式(12)得
Uo''''''''(s)/d(s)=Uin[(1 sCRe)/(s2LC s(ReC L/Ro) 1] (13)
iL''''''''(s)/d(s)=[(1 sCRo)/s2LC s(ReC L/Ro) 1]·Uin/Ro (14)
式(13),式(14)便為Buck電路在電感電流連續時的控製-輸出小信號傳遞函數。

2 電壓模式控製(VMC)
電壓模式控製方法僅采用單電壓環進行校正,比較簡單,容易實現,可以滿足大多數情況下的性能要求,如圖2所示。
圖2中,當電壓誤差放大器(E/A)增益較低、帶寬很窄時,Vc波形近似直流電平,並有
D=Vc/Vs (15)
d=Vc''''''''/Vs (16)
式(16)為式(15)的小信號波動方程。整個電路的環路結構如圖3所示。圖3沒有考慮輸入電壓的變化,即假設uin=。圖3中,(一般為0)及分別為電壓給定與電壓輸出的小信號波動;
KFB=UREF/Uo,為反饋係數;誤差e為輸出采樣值偏離穩態點的波動值,經電壓誤差放大器KEA放大後,得;KMOD為脈衝寬度調製器增益,KMOD=d/=1/Vs;KPWR為主電路增益,KPWR=/d=Uin;KLC為輸出濾波器傳遞函數,KLC=(1 sCRe)/[S2LC s(ReC L/Ro) 1]。
在已知環路其他部分的傳遞函數表達式後,即可設計電壓誤差放大器了。由於KLC提供了一個零點和兩個諧振極點,因此,一般將E/A設計成PI調節器即可,KEA=KP(1+ωz/s)。其中ωz用於消除穩態誤差,一般取為KLC零極點的1/10以下;KP用於使剪切頻率處的開環增益以-20dB/十倍頻穿越0dB線,相角裕量略小於90°。
VMC方法有以下缺點:
1)沒有可預測輸入電壓影響的電壓前饋機製,對瞬變的輸入電壓響應較慢,需要很高的環路增益;
2)對由L和C產生的二階極點(產生180°的相移)沒有構成補償,動態響應較慢。
VMC的缺點可用下麵將要介紹的CMC方法克服。

3 平均電流模式控製(AverageCMC)
平均電流模式控製含有電壓外環和電流內環兩個環路,如圖4所示。電壓環提供電感電流的給定,電流環采用誤差放大器對送入的電感電流給定(Vcv)和反饋信號(iLRs)之差進行比較、放大,得到的誤差放大器輸出Vc再和三角波Vs進行比較,最後即得控製占空比的開關信號。圖4中Rs為采樣電阻。對於一個設計良好的電流誤差放大器,Vc不會是一個直流量,當開關導通時,電感電流上升,會導致Vc下降;開關關斷,電感電流下降時,會導致Vc上升。電流環的設計原則是,不能使Vc上升斜率超過三角波的上升斜率,兩者斜率相等時就是最優。原因是:如果Vc上升斜率超過三角波的上升斜率,會導致Vc峰值超過Vs的峰值,在下個周波時Vc和Vs就可能不會相交,造成次諧波振蕩。
[page]
采用斜坡匹配的方法進行最優設計後,PWM控製器的增益會隨占空比D的變化而變,如圖5所示。

d=DV''''''''/Vs (17)
不妨設電壓環帶寬遠低於電流環,則在分析電流環時Vcv為常數。當Vc的上升斜率等於三角波斜率時,在開關頻率fs處,電流誤差放大器的增益GCA為
GCA[d(iLRs)/dt]=GCA(Vo/L)Rs=Vsfs (18)
GCA=Vc''''''''/(iL''''''''Rs)=VsfsL/(UoRs) (19)
高頻下,將式(14)分子中的“1”和分母中的低階項忽略,並化簡,得
iL''''''''(s)=[d(s)Uin]/sL (20)
由式(17)及式(20)有
(iL''''''''Rs)/Vc''''''''=[Rsd(s)Uin/(sL)]/[d(s)Vs/D]=(RsUinD)/(sLVs) (21)
將式(19)與式(21)相乘,得整個電流環的開環傳遞函數為
(RsUinD/sLVs)·(VsfsL)/(UoRs)=fs/s (22)
將s=2πfc代入上式,並令上式等於1時,可得環路的剪切頻率fc=fs/(2π)。因此,可將電流環等效為延時時間常數為一個開關周期的純慣性環節,如圖6所示。顯然,當電流誤差放大器的增益GCA小於最優值時,電流響應的延時將會更長。
GCA中一般要在fs處或更高頻處形成一個高頻極點,以使fs以後的電流環開環增益以-40dB/dec的de斜xie率lv下xia降jiang,這zhe樣yang雖sui然ran使shi相xiang角jiao裕yu量liang稍shao變bian小xiao,但dan可ke以yi消xiao除chu電dian流liu反fan饋kui波bo形xing上shang的de高gao頻pin毛mao刺ci的de影ying響xiang,提ti高gao電dian流liu環huan的de抗kang幹gan擾rao能neng力li。低di頻pin下xia一yi般ban要yao加jia一yi個ge零ling點dian,使shi電dian流liu環huan開kai環huan增zeng益yi變bian大da,減jian小xiao穩wen態tai誤wu差cha。
整個環路的結構如圖7所示。其中KEA,KFB定義如前。可見相對VMC而言(參見圖3),平均CMC消除了原來由濾波電感引起的極點(新增極點fs很大,對電壓環影響很小),將環路校正成了一階係統,電壓環增益可以保持恒定,不隨輸入電壓Vin而變,外環設計變得更加容易。
4 峰值電流模式控製(PeakCMC)
平均CMC由於要采樣濾波電感的電流,有時顯得不太方便,因此,實踐中經常采用一種變通的電流模式控製方法,即峰值CMC,如圖8所示。電壓外環輸出控製量(Vc)和由電感電流上升沿形成的斜坡波形(Vs)通過電壓比較器進行比較後,直接得到開關管的關斷信號(開通信號由時鍾自動給出),因此,電壓環的輸出控製量是電感電流的峰值給定量,由電感電流峰值控製占空比。

峰值CMC控製的是電感電流的峰值,而不是電感電流(經濾波後即負載電流),而峰值電流和平均電流之間存在誤差,因此,峰值CMC性能不如平均CMC。一般滿載時電感電流在導通期間的電流增量設計為額定電流的10%左右,因此,最好情況下峰值電感電流和平均值之間的誤差也有5%,負載越輕誤差越大,特別是進入不連續電流(DCM)工作區後誤差將超過100%,係統有時可能會出現振蕩現象。在剪切頻率fc以下,由圖6可知平均CMC的電流環開環增益可升到很高(可以>1000),電流可完全得到控製,但峰值CMC的電流環開環增益隻能保持在10以內不變(峰值電流和平均值之間的誤差引起),因此,峰值CMC更適用於滿載場合。
峰值CMC的缺點還包括對噪音敏感,需要進行斜坡補償解決次諧波振蕩等問題。但由於峰值CMC存在逐周波限流等特有的優點,且容易通過脈衝電流互感器等簡單辦法複現電感電流峰值,因此,它在Buck電路中仍然得到了廣泛應用。
5 結語
采用平均狀態方程的方法可以得到Buck電路的小信號頻域模型,並可依此進行環路設計。電壓模式控製、平均電流模式控製和峰值電流模式控製方法均可用來進行環路設計,各有其優缺點,適用的範圍也不盡相同。
特別推薦
- 噪聲中提取真值!瑞盟科技推出MSA2240電流檢測芯片賦能多元高端測量場景
- 10MHz高頻運行!氮矽科技發布集成驅動GaN芯片,助力電源能效再攀新高
- 失真度僅0.002%!力芯微推出超低內阻、超低失真4PST模擬開關
- 一“芯”雙電!聖邦微電子發布雙輸出電源芯片,簡化AFE與音頻設計
- 一機適配萬端:金升陽推出1200W可編程電源,賦能高端裝備製造
技術文章更多>>
- 貿澤EIT係列新一期,探索AI如何重塑日常科技與用戶體驗
- 算力爆發遇上電源革新,大聯大世平集團攜手晶豐明源線上研討會解鎖應用落地
- 創新不止,創芯不已:第六屆ICDIA創芯展8月南京盛大啟幕!
- AI時代,為什麼存儲基礎設施的可靠性決定數據中心的經濟效益
- 矽典微ONELAB開發係列:為毫米波算法開發者打造的全棧工具鏈
技術白皮書下載更多>>
- 車規與基於V2X的車輛協同主動避撞技術展望
- 數字隔離助力新能源汽車安全隔離的新挑戰
- 汽車模塊拋負載的解決方案
- 車用連接器的安全創新應用
- Melexis Actuators Business Unit
- Position / Current Sensors - Triaxis Hall
熱門搜索
微波功率管
微波開關
微波連接器
微波器件
微波三極管
微波振蕩器
微電機
微調電容
微動開關
微蜂窩
位置傳感器
溫度保險絲
溫度傳感器
溫控開關
溫控可控矽
聞泰
穩壓電源
穩壓二極管
穩壓管
無焊端子
無線充電
無線監控
無源濾波器
五金工具
物聯網
顯示模塊
顯微鏡結構
線圈
線繞電位器
線繞電阻



