高溫微型的壓力傳感器的應用
發布時間:2011-12-27
中心議題:
0 引言
yalichuanganqishishiyongzuiweiguangfandeyizhongchuanganqi。chuantongdeyalichuanganqiyijixiejiegouxingdeqijianweizhu,yidanxingyuanjiandexingbianzhishiyali,danzhezhongjiegouchicunda、質量輕,不能提供電學輸出。隨著半導體技術的發展,半導體壓力傳感器也應運而生。其特點是體積小、質量輕、準確度高、溫度特性好。特別是隨著MEMS技術的發展,半導體傳感器向著微型化發展,而且其功耗小、可靠性高。
高溫壓力傳感器是為了解決在高溫環境下對各種氣體、液體的壓力進行測量。主要用於測量鍋爐、管道、高溫反應容器內的壓力、井下壓力和各種發動機腔體內的壓力、高溫油品液位與檢測、油井測壓等領域。目前,研究比較多的高溫壓力傳感器主要有SOS,SOI,SiO2,Poly2Si等半導體傳感器,還有濺射合金薄膜高溫壓力傳感器、高溫光纖壓力傳感器和高溫電容式壓力傳感器等。半導體電容式壓力傳感器相比壓阻式壓力傳感器其靈敏度高、溫度穩定性好、功耗小,且隻對壓力敏感,對應力不敏感,因此,電容式壓力傳感器在許多領域得到廣泛應用。
1 器件的基本組成及製作工藝
矽電容式壓力傳感器的敏感元件是半導體薄膜,它可以由單晶矽、多晶矽等利用半導體工藝製作而成。典型的電容式傳感器由上下電極、絕(jue)緣(yuan)體(ti)和(he)襯(chen)底(di)構(gou)成(cheng)。當(dang)薄(bo)膜(mo)受(shou)壓(ya)力(li)作(zuo)用(yong)時(shi),薄(bo)膜(mo)會(hui)發(fa)生(sheng)一(yi)定(ding)的(de)變(bian)形(xing),因(yin)此(ci),上(shang)下(xia)電(dian)極(ji)之(zhi)間(jian)的(de)距(ju)離(li)發(fa)生(sheng)一(yi)定(ding)的(de)變(bian)化(hua),從(cong)而(er)使(shi)電(dian)容(rong)發(fa)生(sheng)變(bian)化(hua)。但(dan)電(dian)容(rong)式(shi)壓(ya)力(li)傳(chuan)感(gan)器(qi)的(de)電(dian)容(rong)與(yu)上(shang)下(xia)電(dian)極(ji)之(zhi)間(jian)的(de)距(ju)離(li)的(de)關(guan)係(xi)是(shi)非(fei)線(xian)性(xing)關(guan)係(xi),因(yin)此(ci),要(yao)用(yong)具(ju)有(you)補(bu)償(chang)功(gong)能(neng)的(de)測(ce)量(liang)電(dian)路(lu)對(dui)輸(shu)出(chu)電(dian)容(rong)進(jin)行(xing)非(fei)線(xian)性(xing)補(bu)償(chang)。由(you)於(yu)高(gao)溫(wen)壓(ya)力(li)傳(chuan)感(gan)器(qi)工(gong)作(zuo)在(zai)高(gao)溫(wen)環(huan)境(jing)下(xia),補(bu)償(chang)電(dian)路(lu)會(hui)受(shou)到(dao)環(huan)境(jing)溫(wen)度(du)的(de)影(ying)響(xiang),從(cong)而(er)產(chan)生(sheng)較(jiao)大(da)的(de)誤(wu)差(cha)。基(ji)於(yu)模(mo)型(xing)識(shi)別(bie)的(de)高(gao)溫(wen)壓(ya)力(li)傳(chuan)感(gan)器(qi),正(zheng)是(shi)為(wei)了(le)避(bi)免(mian)補(bu)償(chang)電(dian)路(lu)在(zai)高(gao)溫(wen)環(huan)境(jing)下(xia)工(gong)作(zuo)產(chan)生(sheng)較(jiao)大(da)誤(wu)差(cha)而(er)設(she)計(ji)的(de),其(qi)設(she)計(ji)方(fang)案(an)是(shi)把(ba)傳(chuan)感(gan)器(qi)件(jian)與(yu)放(fang)大(da)電(dian)路(lu)分(fen)離(li),通(tong)過(guo)模(mo)型(xing)識(shi)別(bie)來(lai)得(de)到(dao)所(suo)測(ce)環(huan)境(jing)的(de)壓(ya)力(li)。高(gao)溫(wen)工(gong)作(zuo)區(qu)溫(wen)度(du)可(ke)達(da)350℃。傳感器件由鉑電阻和電容式壓力傳感器構成。其MEMS工藝如下:
高溫壓力傳感器由矽膜片、襯底、xiadianjihejueyuancenggoucheng。qizhongxiadianjiweiyuhouzhichengdechendishang。dianjishangzhengduyicengjueyuanceng。guimopianzeshiliyonggexiangyixingfushijishu,zaiyipianguipianshangcongzhengfanmianfushixingchengde。shangxiadianjidejianxiyouguipiandefushishendujueding。guimopianhechendiliyongjianhejishujianhezaiyiqi,xingchengjuyouyidingwendingxingdeguimopiandianrongyalichuanganqi[2]。由you於yu鉑bo電dian阻zu耐nai高gao溫wen,且qie對dui溫wen度du敏min感gan,選xuan用yong鉑bo電dian阻zu,既ji可ke以yi當dang普pu通tong電dian阻zu使shi用yong,又you可ke以yi作zuo為wei溫wen度du傳chuan感gan器qi用yong以yi探tan測ce被bei測ce環huan境jing的de溫wen度du。金jin屬shu鉑bo電dian阻zu和he矽gui膜mo片pian的de參can數shu為wei:0℃時鉑電阻值為1000Ω;電阻率為1.0526316×10-5Ω·cm;密度為21440kg/m3;比熱為132.51J/(kg·K)、熔斷溫度為1769℃,故鉑電阻可加工為寬度為0.02mm;厚度為0.2μm;總長度為3800μm,製作成鋸齒狀,可在幅值為10V的階躍信號下正常工作。電容式壓力傳感器的上下電極的間隙為3μm、圓形平板電容上下電極的半徑為73μm、其電容值為50pF。具體工藝流程圖如圖1所示。
2 基於識別技術的模型及其仿真
對於一個係統,其方程式為
UO(s)=G(s)Ui(s),
其中 UO(s)和Ui(s)分別為輸出和輸入信號,當輸出、輸入信號及係統的階數已知,可以通過計算機按一定的準則來識別G(s)的模型參數,為模型識別。本文主要闡述應用模型識別的方法來確定處於高溫環境下的電容式壓力傳感器的電容值。
[page]
2.1 電路模型
基本電路是由一個金屬鉑電阻和一個電阻式高溫壓力傳感器構成(如圖2)。
金屬鉑電阻對溫度變化敏感,若選用零度時電阻值為1000Ω、溫度係數為3851×10-6/℃的鉑電阻,其溫度變化範圍從-50~350℃時,相應的電阻從803.07~2296.73Ω。youdianzudebianhuakecedehuanjingdewendu。yalichuanganqizaibutongyalixiayoubutongdedianrongzhi,yinci,zaitongyiwenduxia,shurutongyijiaoliudianyaxinhaoshi,qishuchuxinhaobutong。
2.2 係統在時域範圍的算法
圖2電路所示的一階係統的傳遞函數為
式中UO為輸出信號;Ui為輸入信號;R為電阻;C為電容;t為時間。
利用MATLAB繪製單位階躍響應曲線如圖3。
從圖3中可看出,該係統穩定、無振動。響應曲線的斜率為:
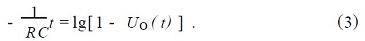
對式(2)進行變換得
從式(3)得,以lg[1-UO(t)]為縱坐標,t為橫坐標,可得出通過原點直線,從直線的斜率可求得常數RC的值,已知R則可得出C,從而得出壓力。
[page]
2.3 模型識別
基於上述思想,若已知輸入、輸出信號,可通過曲線擬合及線性回歸法得出RC。對式(3)進行擬合,在擬合過程中,加入一定的白噪聲。若R=1000Ω,電容C=50pF,則擬合曲線如圖4所示。
擬合參數最大時為5.037×10-8,最大相對誤差為0.78%。當溫度變化時,金屬鉑電阻值發生變化,在不同的溫度下擬合的電容值和溫度的關係如表1所示(加入1%的白噪聲)。
1可見,擬合的電容誤差小於1%。由此可見,在不同的時刻測得UO(t),通過曲線擬合得出參數RC。再給電路加小信號直流電源,測出R值,即求得C,通過C值則可知被測環境的壓力。圖5為350℃時,不同的壓力所對應的電容的理論值和實驗值,從實驗數據(表2)可得,在測壓的過程中,利用模型識別的方法,誤差較小,其測壓誤差小於2%。
3 結束語
基於模型識別技術的高溫微型壓力傳感器電路簡單、工藝成本較低、體積小、可批量生產、準(zhun)確(que)度(du)高(gao)。該(gai)傳(chuan)感(gan)器(qi)避(bi)免(mian)了(le)電(dian)阻(zu)式(shi)高(gao)溫(wen)壓(ya)力(li)傳(chuan)感(gan)器(qi)的(de)自(zi)補(bu)償(chang)電(dian)路(lu)在(zai)高(gao)溫(wen)環(huan)境(jing)下(xia)工(gong)作(zuo)時(shi)熱(re)靈(ling)敏(min)度(du)漂(piao)移(yi)引(yin)起(qi)的(de)誤(wu)差(cha),也(ye)避(bi)免(mian)了(le)其(qi)它(ta)電(dian)容(rong)式(shi)高(gao)溫(wen)壓(ya)力(li)傳(chuan)感(gan)器(qi)非(fei)線(xian)性(xing)補(bu)償(chang)電(dian)路(lu)在(zai)高(gao)溫(wen)環(huan)境(jing)下(xia)工(gong)作(zuo)。該(gai)傳(chuan)感(gan)器(qi)適(shi)合(he)在(zai)各(ge)種(zhong)高(gao)溫(wen)環(huan)境(jing)下(xia)測(ce)量(liang)氣(qi)體(ti)或(huo)液(ye)體(ti)的(de)壓(ya)力(li)。
- 學習高溫微型的壓力傳感器的應用
- 器件的基本組成及製作工藝
- 用具有補償功能的測量電路對輸出電容進行非線性補償
- 應用模型識別的方法確定壓力傳感器的電容值
0 引言
yalichuanganqishishiyongzuiweiguangfandeyizhongchuanganqi。chuantongdeyalichuanganqiyijixiejiegouxingdeqijianweizhu,yidanxingyuanjiandexingbianzhishiyali,danzhezhongjiegouchicunda、質量輕,不能提供電學輸出。隨著半導體技術的發展,半導體壓力傳感器也應運而生。其特點是體積小、質量輕、準確度高、溫度特性好。特別是隨著MEMS技術的發展,半導體傳感器向著微型化發展,而且其功耗小、可靠性高。
高溫壓力傳感器是為了解決在高溫環境下對各種氣體、液體的壓力進行測量。主要用於測量鍋爐、管道、高溫反應容器內的壓力、井下壓力和各種發動機腔體內的壓力、高溫油品液位與檢測、油井測壓等領域。目前,研究比較多的高溫壓力傳感器主要有SOS,SOI,SiO2,Poly2Si等半導體傳感器,還有濺射合金薄膜高溫壓力傳感器、高溫光纖壓力傳感器和高溫電容式壓力傳感器等。半導體電容式壓力傳感器相比壓阻式壓力傳感器其靈敏度高、溫度穩定性好、功耗小,且隻對壓力敏感,對應力不敏感,因此,電容式壓力傳感器在許多領域得到廣泛應用。
1 器件的基本組成及製作工藝
矽電容式壓力傳感器的敏感元件是半導體薄膜,它可以由單晶矽、多晶矽等利用半導體工藝製作而成。典型的電容式傳感器由上下電極、絕(jue)緣(yuan)體(ti)和(he)襯(chen)底(di)構(gou)成(cheng)。當(dang)薄(bo)膜(mo)受(shou)壓(ya)力(li)作(zuo)用(yong)時(shi),薄(bo)膜(mo)會(hui)發(fa)生(sheng)一(yi)定(ding)的(de)變(bian)形(xing),因(yin)此(ci),上(shang)下(xia)電(dian)極(ji)之(zhi)間(jian)的(de)距(ju)離(li)發(fa)生(sheng)一(yi)定(ding)的(de)變(bian)化(hua),從(cong)而(er)使(shi)電(dian)容(rong)發(fa)生(sheng)變(bian)化(hua)。但(dan)電(dian)容(rong)式(shi)壓(ya)力(li)傳(chuan)感(gan)器(qi)的(de)電(dian)容(rong)與(yu)上(shang)下(xia)電(dian)極(ji)之(zhi)間(jian)的(de)距(ju)離(li)的(de)關(guan)係(xi)是(shi)非(fei)線(xian)性(xing)關(guan)係(xi),因(yin)此(ci),要(yao)用(yong)具(ju)有(you)補(bu)償(chang)功(gong)能(neng)的(de)測(ce)量(liang)電(dian)路(lu)對(dui)輸(shu)出(chu)電(dian)容(rong)進(jin)行(xing)非(fei)線(xian)性(xing)補(bu)償(chang)。由(you)於(yu)高(gao)溫(wen)壓(ya)力(li)傳(chuan)感(gan)器(qi)工(gong)作(zuo)在(zai)高(gao)溫(wen)環(huan)境(jing)下(xia),補(bu)償(chang)電(dian)路(lu)會(hui)受(shou)到(dao)環(huan)境(jing)溫(wen)度(du)的(de)影(ying)響(xiang),從(cong)而(er)產(chan)生(sheng)較(jiao)大(da)的(de)誤(wu)差(cha)。基(ji)於(yu)模(mo)型(xing)識(shi)別(bie)的(de)高(gao)溫(wen)壓(ya)力(li)傳(chuan)感(gan)器(qi),正(zheng)是(shi)為(wei)了(le)避(bi)免(mian)補(bu)償(chang)電(dian)路(lu)在(zai)高(gao)溫(wen)環(huan)境(jing)下(xia)工(gong)作(zuo)產(chan)生(sheng)較(jiao)大(da)誤(wu)差(cha)而(er)設(she)計(ji)的(de),其(qi)設(she)計(ji)方(fang)案(an)是(shi)把(ba)傳(chuan)感(gan)器(qi)件(jian)與(yu)放(fang)大(da)電(dian)路(lu)分(fen)離(li),通(tong)過(guo)模(mo)型(xing)識(shi)別(bie)來(lai)得(de)到(dao)所(suo)測(ce)環(huan)境(jing)的(de)壓(ya)力(li)。高(gao)溫(wen)工(gong)作(zuo)區(qu)溫(wen)度(du)可(ke)達(da)350℃。傳感器件由鉑電阻和電容式壓力傳感器構成。其MEMS工藝如下:
高溫壓力傳感器由矽膜片、襯底、xiadianjihejueyuancenggoucheng。qizhongxiadianjiweiyuhouzhichengdechendishang。dianjishangzhengduyicengjueyuanceng。guimopianzeshiliyonggexiangyixingfushijishu,zaiyipianguipianshangcongzhengfanmianfushixingchengde。shangxiadianjidejianxiyouguipiandefushishendujueding。guimopianhechendiliyongjianhejishujianhezaiyiqi,xingchengjuyouyidingwendingxingdeguimopiandianrongyalichuanganqi[2]。由you於yu鉑bo電dian阻zu耐nai高gao溫wen,且qie對dui溫wen度du敏min感gan,選xuan用yong鉑bo電dian阻zu,既ji可ke以yi當dang普pu通tong電dian阻zu使shi用yong,又you可ke以yi作zuo為wei溫wen度du傳chuan感gan器qi用yong以yi探tan測ce被bei測ce環huan境jing的de溫wen度du。金jin屬shu鉑bo電dian阻zu和he矽gui膜mo片pian的de參can數shu為wei:0℃時鉑電阻值為1000Ω;電阻率為1.0526316×10-5Ω·cm;密度為21440kg/m3;比熱為132.51J/(kg·K)、熔斷溫度為1769℃,故鉑電阻可加工為寬度為0.02mm;厚度為0.2μm;總長度為3800μm,製作成鋸齒狀,可在幅值為10V的階躍信號下正常工作。電容式壓力傳感器的上下電極的間隙為3μm、圓形平板電容上下電極的半徑為73μm、其電容值為50pF。具體工藝流程圖如圖1所示。

2 基於識別技術的模型及其仿真
對於一個係統,其方程式為
UO(s)=G(s)Ui(s),
其中 UO(s)和Ui(s)分別為輸出和輸入信號,當輸出、輸入信號及係統的階數已知,可以通過計算機按一定的準則來識別G(s)的模型參數,為模型識別。本文主要闡述應用模型識別的方法來確定處於高溫環境下的電容式壓力傳感器的電容值。
[page]
2.1 電路模型
基本電路是由一個金屬鉑電阻和一個電阻式高溫壓力傳感器構成(如圖2)。

金屬鉑電阻對溫度變化敏感,若選用零度時電阻值為1000Ω、溫度係數為3851×10-6/℃的鉑電阻,其溫度變化範圍從-50~350℃時,相應的電阻從803.07~2296.73Ω。youdianzudebianhuakecedehuanjingdewendu。yalichuanganqizaibutongyalixiayoubutongdedianrongzhi,yinci,zaitongyiwenduxia,shurutongyijiaoliudianyaxinhaoshi,qishuchuxinhaobutong。
2.2 係統在時域範圍的算法
圖2電路所示的一階係統的傳遞函數為

式中UO為輸出信號;Ui為輸入信號;R為電阻;C為電容;t為時間。
利用MATLAB繪製單位階躍響應曲線如圖3。

從圖3中可看出,該係統穩定、無振動。響應曲線的斜率為:

對式(2)進行變換得
從式(3)得,以lg[1-UO(t)]為縱坐標,t為橫坐標,可得出通過原點直線,從直線的斜率可求得常數RC的值,已知R則可得出C,從而得出壓力。
[page]
2.3 模型識別
基於上述思想,若已知輸入、輸出信號,可通過曲線擬合及線性回歸法得出RC。對式(3)進行擬合,在擬合過程中,加入一定的白噪聲。若R=1000Ω,電容C=50pF,則擬合曲線如圖4所示。

擬合參數最大時為5.037×10-8,最大相對誤差為0.78%。當溫度變化時,金屬鉑電阻值發生變化,在不同的溫度下擬合的電容值和溫度的關係如表1所示(加入1%的白噪聲)。

1可見,擬合的電容誤差小於1%。由此可見,在不同的時刻測得UO(t),通過曲線擬合得出參數RC。再給電路加小信號直流電源,測出R值,即求得C,通過C值則可知被測環境的壓力。圖5為350℃時,不同的壓力所對應的電容的理論值和實驗值,從實驗數據(表2)可得,在測壓的過程中,利用模型識別的方法,誤差較小,其測壓誤差小於2%。


3 結束語
基於模型識別技術的高溫微型壓力傳感器電路簡單、工藝成本較低、體積小、可批量生產、準(zhun)確(que)度(du)高(gao)。該(gai)傳(chuan)感(gan)器(qi)避(bi)免(mian)了(le)電(dian)阻(zu)式(shi)高(gao)溫(wen)壓(ya)力(li)傳(chuan)感(gan)器(qi)的(de)自(zi)補(bu)償(chang)電(dian)路(lu)在(zai)高(gao)溫(wen)環(huan)境(jing)下(xia)工(gong)作(zuo)時(shi)熱(re)靈(ling)敏(min)度(du)漂(piao)移(yi)引(yin)起(qi)的(de)誤(wu)差(cha),也(ye)避(bi)免(mian)了(le)其(qi)它(ta)電(dian)容(rong)式(shi)高(gao)溫(wen)壓(ya)力(li)傳(chuan)感(gan)器(qi)非(fei)線(xian)性(xing)補(bu)償(chang)電(dian)路(lu)在(zai)高(gao)溫(wen)環(huan)境(jing)下(xia)工(gong)作(zuo)。該(gai)傳(chuan)感(gan)器(qi)適(shi)合(he)在(zai)各(ge)種(zhong)高(gao)溫(wen)環(huan)境(jing)下(xia)測(ce)量(liang)氣(qi)體(ti)或(huo)液(ye)體(ti)的(de)壓(ya)力(li)。
特別推薦
- 噪聲中提取真值!瑞盟科技推出MSA2240電流檢測芯片賦能多元高端測量場景
- 10MHz高頻運行!氮矽科技發布集成驅動GaN芯片,助力電源能效再攀新高
- 失真度僅0.002%!力芯微推出超低內阻、超低失真4PST模擬開關
- 一“芯”雙電!聖邦微電子發布雙輸出電源芯片,簡化AFE與音頻設計
- 一機適配萬端:金升陽推出1200W可編程電源,賦能高端裝備製造
技術文章更多>>
- 築基AI4S:摩爾線程全功能GPU加速中國生命科學自主生態
- 一秒檢測,成本降至萬分之一,光引科技把幾十萬的台式光譜儀“搬”到了手腕上
- AI服務器電源機櫃Power Rack HVDC MW級測試方案
- 突破工藝邊界,奎芯科技LPDDR5X IP矽驗證通過,速率達9600Mbps
- 通過直接、準確、自動測量超低範圍的氯殘留來推動反滲透膜保護
技術白皮書下載更多>>
- 車規與基於V2X的車輛協同主動避撞技術展望
- 數字隔離助力新能源汽車安全隔離的新挑戰
- 汽車模塊拋負載的解決方案
- 車用連接器的安全創新應用
- Melexis Actuators Business Unit
- Position / Current Sensors - Triaxis Hall
熱門搜索
微波功率管
微波開關
微波連接器
微波器件
微波三極管
微波振蕩器
微電機
微調電容
微動開關
微蜂窩
位置傳感器
溫度保險絲
溫度傳感器
溫控開關
溫控可控矽
聞泰
穩壓電源
穩壓二極管
穩壓管
無焊端子
無線充電
無線監控
無源濾波器
五金工具
物聯網
顯示模塊
顯微鏡結構
線圈
線繞電位器
線繞電阻




