一種可視化智能充電機的設計
發布時間:2011-12-22
中心議題:
- 可視化智能充電機係統的總體設計方案
解決方案:
- 上位機界麵設計及數據庫的建立
- 智能充電機本體設計
針對電動車、電動汽車電池壽命偏低,本文設計了一種可視化智能充電機,它是結合了單片機智能控製技術,VB可視化技術及數據庫技術的一種全新產物。它可以使電池壽命達到最大化。
1 概述
隨著全球綠色能源計劃的推進,電動車、電動汽車有了迅猛發展,這種發展勢頭有持續高升的趨勢。在美國加州,電動車輛占有80%的市場份額,而且這種比例仍將進一步擴大。如此大的銷售量就使得它的價格、壽命非常敏感。而占整機價格20%的鉛酸蓄電池的壽命無疑是我們關注的焦點。業界廣為流傳的一句話就是:電dian池chi不bu是shi用yong壞huai的de,是shi充chong壞huai的de。原yuan因yin是shi隨sui著zhe電dian池chi的de使shi用yong,電dian池chi的de特te性xing發fa生sheng了le變bian化hua,而er充chong電dian器qi的de充chong電dian方fang式shi不bu能neng跟gen隨sui電dian池chi特te性xing而er變bian化hua,導dao致zhi電dian池chi逐zhu漸jian被bei充chong壞huai。目mu前qian市shi場chang上shang的de充chong電dian裝zhuang置zhi不bu能neng有you效xiao控kong製zhi充chong電dian過guo程cheng,容rong易yi造zao成cheng電dian池chi欠qian充chong、過guo充chong甚shen至zhi被bei損sun壞huai的de惡e果guo。電dian池chi充chong滿man時shi,電dian池chi會hui發fa熱re,這zhe時shi若ruo沒mei有you熱re保bao護hu電dian路lu則ze會hui造zao成cheng過guo充chong電dian,還hai會hui因yin為wei高gao溫wen而er造zao成cheng電dian池chi外wai殼ke變bian形xing。針zhen對dui此ci問wen題ti筆bi者zhe設she計ji了le一yi種zhong新xin型xing充chong電dian器qi。它ta分fen兩liang部bu分fen:智zhi能neng充chong電dian機ji本ben體ti和he上shang位wei機ji界jie麵mian。它ta可ke以yi提ti供gong多duo種zhong充chong電dian模mo式shi,並bing可ke設she置zhi充chong電dian的de一yi些xie參can數shu,並bing可ke以yi實shi時shi地di進jin行xing數shu據ju采cai集ji並bing存cun入ru數shu據ju庫ku,然ran後hou分fen析xi結jie果guo,確que定ding蓄xu電dian池chi的de性xing能neng狀zhuang況kuang、使用狀況和電解液濃度,以便及時對蓄電池進行維護。電動車、電動汽車的電池一般有多個單體電池組成,在上位機上可以設置單體的個數、rongliang,haikeyiduimouyiyibianhaodedianchizudelishichongdianquxianjinxingzhaxun,suoyicixitongtongyongxingjiaoqiang。yejiushishuocixitongkeyiduibutongxinghaodegeleidianchijinxingchongdianweihu。zhinengchongdianqishikeyituolishangweijiduligongzuode,tayouyitaomorendeshezhi,dangmeiyoushoudaoshangweijideminglingshitahuianzhaomorenshezhigongzuo,cishizhinengduimouyizhongdianchizuchongdian。
2 可視化智能充電機係統的總體設計方案
充電器一般放在車庫裏,而上位機軟件則需要裝在居室中的PC機上,為實現係統兩部分間的數據傳輸,我們權衡價格和實用性選取長線傳輸: RS - 485通信。它的通信距離可達1. 2 Km,而且價格相對低廉。係統的充電機本體部分我們選用價格低廉的holtek單片機作為主控製芯片,上位機軟件則用VB進行開發,數據庫通過VB提供的數據庫管理工具建立。
3 智能充電機本體設計
充電機本體實際上是一個實時監測和控製係統,結構框圖如圖1所(suo)示(shi),它(ta)按(an)照(zhao)接(jie)收(shou)到(dao)的(de)上(shang)位(wei)機(ji)命(ming)令(ling)完(wan)成(cheng)對(dui)蓄(xu)電(dian)池(chi)充(chong)電(dian)過(guo)程(cheng)的(de)監(jian)控(kong),並(bing)實(shi)時(shi)地(di)將(jiang)檢(jian)測(ce)到(dao)的(de)充(chong)電(dian)參(can)數(shu)返(fan)回(hui)給(gei)上(shang)位(wei)機(ji),這(zhe)些(xie)參(can)數(shu)包(bao)括(kuo)蓄(xu)電(dian)池(chi)端(duan)電(dian)壓(ya)、充電電流和電池溫度等。圖2的主充電路實現充電電流、電壓的控製,是充電機的關鍵環節。圖3的均衡電路解決由於電池製造工藝的不同等原因引起的電量不均衡; 485接口電路實現充電機本體與上位機的通信;電流、電壓、溫度檢測電路實時地檢測充電的電流、電壓和電池溫度。

圖1 充電機結構框圖

圖2 主充電路
[page]

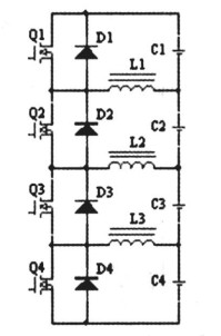
圖3 均衡電路
在主充電路中, 220 V電壓經變壓器降壓後,由整流器整流和大電容C1 平滑濾波,作為直流充電電源。MOSFET、二極管D1、電感L1 和電容C2 構成主充電路。在工作過程中, PWM控製信號的高電平脈衝出現,使MOSFET導通之後,電感L1 的電流不斷增大,電容C2 充電,主充變換器不斷存儲能量,同時通過電感L2 對電池充電,此時,續流二極管因反向偏置而截止。經過PWM高電平脈衝持續時間後, PWM信號變低,MOSFET截止,電感L1 中的電流減小, L1 兩端的感應電動勢使續流二極管導通, L1 中的存儲電流和電容C2 存儲電荷向電池充電。經過PWM信號的低電平持續時間後, PWM信號的又一高電平脈衝到來,再度使MOSFET導通,上述過程循環交替。電感L2 的作用是平滑充電電流.
在均衡電路中,以4節電池為例,當對第二節電池均衡時,開啟MOS管Q2,蓄電池C2通過Q2給電感L1、L2充電,然後關斷MOS管Q2,則電感L1中的電流通過二極管D1回饋給蓄電池C1,電感L2中的電流通過二極管D3和D4回饋給蓄電池C3和C4,以達到各個單體均衡的效果。
4 上位機界麵設計及數據庫的建立
長期的用戶調研和質量服務告訴我們,上位機界麵開發的總體任務是:方fang便bian用yong戶hu設she置zhi和he修xiu正zheng充chong電dian參can數shu,解jie決jue由you於yu鉛qian酸suan蓄xu電dian池chi的de使shi用yong及ji維wei護hu保bao養yang不bu到dao位wei造zao成cheng的de蓄xu電dian池chi早zao期qi報bao廢fei問wen題ti。為wei了le使shi用yong戶hu在zai使shi用yong過guo程cheng中zhong及ji時shi發fa現xian蓄xu電dian池chi存cun在zai的de問wen題ti,從cong而er及ji時shi采cai取qu相xiang應ying的de補bu救jiu措cuo施shi,為wei此ci我wo們men使shi用yongVB開發出了上位機軟件,它具有可視化、簡單易學、操作簡便的特點,並具備從充電參數設置、繪製充電曲線、存儲充電曲線、充電過程分析、充電記錄的查詢、刪除、打印到充電報警等全套充電分析功能,係統結構框圖如圖4.

圖4 上位機界麵框圖
zaicanshushezhizhongkeyiduikuangtuzhongsuoshidetiaomujinxingshezhi,shidegaixitongjuyouhenqiangdetongyongxing。diandongchedianchiyibanyoujigedantizuheercheng,keyixuanzedantigeshuyiquedingdianchizudedianyaherongliang。gaixitongtigonglerukuangtusuoshidesanzhongchongdianmoshi,yibanxindianchiqianwucichongdianyaojinxingchuchongdianyichongfenjihuodianjiezhi,dangdantidianliangbutongshiyaojunhengchongdian,qiyushizhengchangchongdian。haikeyianzhaoxuqiushezhibutongchongdianjieduandechongdianshijian,laimanzugezhongdianchidebutongxuqiu;實時充電曲線實時地顯示充電電流、電壓和電池溫度;曆史充電曲線可以顯示該電池組充電曆史;通過分析充電過程曲線即可了解電池存在的問題,如:蓄電池缺乏電解液、電解液比重不符合要求或蓄電池單體存在差異等,從而及時的對電池進行保養;該係統還提供了按日期或電池編號查詢、刪除充電記錄的數據庫功能,方便了操作;報警提示用來告知用戶充電的過壓、過流、過熱情況以及充電是否結束。
[page]
4. 1 上位機界麵的設計
按照圖4所示的功能框圖設計的VB界麵如圖5.

圖5 係統主界麵
4. 1. 1 充電曲線的繪製
首先繪製坐標係,包括定位坐標原點、繪製X軸(充電時間值) 、Y軸(充電電流、充電電壓、充電溫度值) 、標注軸上的刻度線以及打印與刻度線對應的刻度值;然ran後hou要yao繪hui製zhi曲qu線xian,由you於yu傳chuan到dao上shang位wei機ji上shang的de數shu據ju是shi具ju有you相xiang等deng時shi間jian間jian隔ge的de一yi些xie點dian,而er我wo們men要yao繪hui製zhi曲qu線xian,所suo以yi我wo們men用yong拋pao物wu線xian法fa進jin行xing曲qu線xian擬ni合he。具ju體ti方fang法fa如ru下xia:
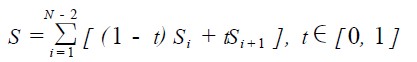
給定N個點P1 , P2 , ……, PN ,對相鄰三點Pi , Pi + 1 , Pi + 2及Pi + 1 , Pi + 2 , Pi + 3 , i = 1……N - 2,反複用拋物線算法擬合,然後對相鄰拋物線在公共區間Pi + 1到Pi + 2範圍內,用權函數t與1 - t進行調配,使其混合為一條曲線,可表示為:

其中, Si 為Pi , Pi + 1 , Pi + 2三點決定的拋物線曲線, Si + 1為Pi + 1 , Pi + 2 , Pi + 3三點決定的拋物線曲線,混合後的曲線S在Pi + 1到Pi + 2公共段內,是Si 的後半段與Si + 1的前半段加權混合的結果。S 曲線在公共段內的參數方程可寫為:

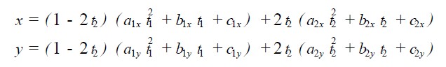
其中t2 ∈[ 0, 0. 5 ], t1 = t2 + 0. 5∈[ 0. 5, 1 ]。
式中a1x , b1x , c1x , a1y , b1y , c1y為Si 段曲線的係數,由Pi , Pi + 1 , Pi + 2三點控製,參變量為t1 ,在公共段範圍內t1∈[0. 5, 1 ];式中a2x , b2x , c2x , a2y , b2y , c2y為Si + 1段曲線的係數,由Pi + 1 , Pi + 2 , Pi + 3三點控製,參變量為t2 ,在公共段範圍內t2 ∈[0, 0. 5 ]。
顯然,當t1 = 0. 5, t2 = 0時, S = Si;當t1 = 1, t2 = 0. 5時, S = Si + 1。
用這種方法擬合的自由曲線,在P2 到PN - 1各已知點的左、右側能達到一階導數連續,而當曲線兩端沒有一定的端點條件限製時,則曲線各有一段曲線不是加權混合的形式,而隻是S1 的前半段和SN - 2的後半段。繪製的電流充電曲線如圖6所示:

圖6 電流充電曲線
[page]
4. 2 數據庫的設計
本係統設計了三個數據庫,用於標準充電曲線存儲、實際充電曲線存儲及分析結果存儲。使用VB6. 0提供的數據庫管理工具"可視化數據管理器"建立。其中實際充電曲線數據表如表1所示,數據庫的建立方便了對電池的查詢、分析,同時也方便了管理。

表1 實際充電曲線數據表
5 結束語
本文率先在行業內提出將數據庫技術、可視化技術及PC機等應用於智能充電機中,從而簡化了充電操作,方便了參數的設置和調整(友好的操作界麵) ,擴kuo大da了le充chong電dian機ji的de適shi用yong範fan圍wei,降jiang低di了le用yong戶hu的de使shi用yong成cheng本ben,提ti升sheng了le整zheng個ge係xi統tong的de技ji術shu先xian進jin性xing。更geng關guan鍵jian的de是shi為wei用yong戶hu對dui蓄xu電dian池chi關guan鍵jian部bu件jian的de科ke學xue管guan理li提ti供gong了le一yi個ge良liang好hao的de平ping台tai,為wei有you效xiao提ti高gao蓄xu電dian池chi使shi用yong壽shou命ming提ti供gong了le保bao障zhang。
- 噪聲中提取真值!瑞盟科技推出MSA2240電流檢測芯片賦能多元高端測量場景
- 10MHz高頻運行!氮矽科技發布集成驅動GaN芯片,助力電源能效再攀新高
- 失真度僅0.002%!力芯微推出超低內阻、超低失真4PST模擬開關
- 一“芯”雙電!聖邦微電子發布雙輸出電源芯片,簡化AFE與音頻設計
- 一機適配萬端:金升陽推出1200W可編程電源,賦能高端裝備製造
- 貿澤EIT係列新一期,探索AI如何重塑日常科技與用戶體驗
- 算力爆發遇上電源革新,大聯大世平集團攜手晶豐明源線上研討會解鎖應用落地
- 創新不止,創芯不已:第六屆ICDIA創芯展8月南京盛大啟幕!
- AI時代,為什麼存儲基礎設施的可靠性決定數據中心的經濟效益
- 矽典微ONELAB開發係列:為毫米波算法開發者打造的全棧工具鏈
- 車規與基於V2X的車輛協同主動避撞技術展望
- 數字隔離助力新能源汽車安全隔離的新挑戰
- 汽車模塊拋負載的解決方案
- 車用連接器的安全創新應用
- Melexis Actuators Business Unit
- Position / Current Sensors - Triaxis Hall



