三相PFC整流器在輸入電壓不對稱時的改進
發布時間:2011-12-21
中心議題:
- PFC整流器係統結構和狀態方程
- 不對稱電壓對輸入電流的影響
- PFC整流器改進的控製策略
本文分析了基於單周期控製技術的雙並聯升壓型三相 PFC 整(zheng)流(liu)器(qi)在(zai)電(dian)網(wang)電(dian)壓(ya)不(bu)對(dui)稱(cheng)時(shi)輸(shu)入(ru)電(dian)流(liu)跟(gen)蹤(zong)輸(shu)入(ru)電(dian)壓(ya)不(bu)良(liang)的(de)問(wen)題(ti),提(ti)出(chu)了(le)一(yi)種(zhong)有(you)效(xiao)的(de)改(gai)進(jin)措(cuo)施(shi),通(tong)過(guo)計(ji)算(suan)相(xiang)電(dian)壓(ya)不(bu)對(dui)稱(cheng)係(xi)數(shu),對(dui)占(zhan)空(kong)比(bi)計(ji)算(suan)公(gong)式(shi)進(jin)行(xing)修(xiu)正(zheng),以(yi)消(xiao)除(chu)不(bu)對(dui)稱(cheng)電(dian)壓(ya)對(dui)輸(shu)入(ru)電(dian)流(liu)波(bo)形(xing)跟(gen)蹤(zong)不(bu)良(liang)的(de)影(ying)響(xiang),使(shi)每(mei)相(xiang)電(dian)流(liu)均(jun)和(he)各(ge)自(zi)的(de)電(dian)壓(ya)同(tong)相(xiang),從(cong)而(er)實(shi)現(xian)單(dan)位(wei)功(gong)率(lv)因(yin)數(shu)和(he)低(di)電(dian)流(liu)畸(ji)變(bian)。在任意時刻,該整流器隻需要兩個開關管工作在高頻狀態,從而使開關管的總體損耗程度進一步降低。最後通過硬件實驗驗證了該控製策略的正確性。
1 引言
近十幾年來, 隨著電力電子技術的發展,許多大容量電機調速係統、家用電器等設備的電力供應都需要對交流電網進行各種AC/DC 或AC/DC/ACdebianhuan。ershiyongchuantongdeerjiguanhuojingzhaguanweigonglvkaiguanguandefeixianxingbianliuzhuangzhijinxingdedianyuanbianhuanjianghuizaidianwangzhongchanshenggezhongdianliuxiebo,yanzhongganraoleqitadianqishebeidezhengchanggongzuo,zengjialegonghao,tongshishidianwanggonglvyinshudadajiangdijianshaoledianwangdeyouxiaochuansongrongliang。weici,guojidiangongweiyuanhuideIEC1000-3-3 和IEC519 對整流設備的電流諧波和電磁幹擾品質進行了嚴格。規定為了達到這些要求,各國學者對功率因數校正PowerFactor Correction, PFC 技術進行了深入研究,並取得了一係列成果。現在,PFC 技術已經成為電力電子學科的重要研究方向之一。目前,單相PFC 技術在電路拓撲和控製策略等方麵已日趨成熟,但是三相PFC 整zheng流liu器qi由you於yu各ge相xiang電dian流liu互hu相xiang耦ou合he,需xu要yao較jiao為wei複fu雜za的de控kong製zhi算suan法fa才cai能neng實shi現xian,而er且qie它ta的de輸shu出chu功gong率lv大da,對dui電dian網wang的de汙wu染ran更geng加jia嚴yan重zhong,因yin此ci三san相xiang功gong率lv因yin數shu校xiao正zheng技ji術shu的de研yan究jiu和he實shi現xian具ju有you重zhong要yao意yi義yi已yi成cheng為wei近jin年nian來lai的de研yan究jiu熱re點dian。
三相 PFC 整流器的控製主要有半解耦和全解耦兩大類,主流的控製算法有基於 d-q 解耦的空間矢量調製,遲滯比較算法和單周期控製等。空間矢量調製要求對輸入電壓進行d-q 解耦控製算法複雜,需采用數字信號處理器DSP 才能實現。而遲滯比較算法的開關頻率不恒定,對輸入和輸出的幹擾比較大,需要比較大的電感和電容作為濾波元件。
基於單周期控製的三相PFC 整(zheng)流(liu)器(qi)進(jin)行(xing)了(le)比(bi)較(jiao)深(shen)入(ru)的(de)研(yan)究(jiu),該(gai)控(kong)製(zhi)器(qi)是(shi)一(yi)種(zhong)不(bu)需(xu)要(yao)乘(cheng)法(fa)器(qi)的(de)新(xin)穎(ying)控(kong)製(zhi)器(qi),隻(zhi)需(xu)對(dui)輸(shu)入(ru)電(dian)流(liu)進(jin)行(xing)簡(jian)單(dan)的(de)積(ji)分(fen)和(he)加(jia)減(jian)運(yun)算(suan),並(bing)和(he)參(can)考(kao)電(dian)壓(ya)直(zhi)接(jie)進(jin)行(xing)比(bi)較(jiao)即(ji)能(neng)實(shi)現(xian)恒(heng)調(tiao)製(zhi)頻(pin)率(lv)的(de)開(kai)關(guan)元(yuan)件(jian)控(kong)製(zhi)波(bo)形(xing)。該(gai)控(kong)製(zhi)器(qi)同(tong)時(shi)具(ju)有(you)調(tiao)製(zhi)和(he)控(kong)製(zhi)的(de)雙(shuang)重(zhong)功(gong)能(neng),無(wu)論(lun)在(zai)穩(wen)態(tai)或(huo)暫(zan)態(tai)情(qing)況(kuang)下(xia),在(zai)控(kong)製(zhi)周(zhou)期(qi)內(nei)受(shou)控(kong)的(de)輸(shu)入(ru)電(dian)流(liu)平(ping)均(jun)值(zhi)均(jun)能(neng)恰(qia)好(hao)正(zheng)比(bi)於(yu)控(kong)製(zhi)參(can)考(kao)信(xin)號(hao),具(ju)有(you)動(dong)態(tai)響(xiang)應(ying)快(kuai)、開關頻率穩定、魯棒性強、易於實現等優點。因而成為三相PFC zhengliuqidezhuliukongzhisuanfa。danshizaisanxiangshurudianyaduichengdeqingkuangxiajinxingyanjiuerzaisanxiangdianyabuduichengdeqingkuangxia,shurudianliusuiranrengnengbaochididedianliujibian,danshurudianliujiangyushurudianyachanshengxiangyi,weinengdadaodanweigonglvyinshudekongzhimubiao。benwenzaifenxigaikongzhiqichanshengxiangyiyuanyindejichushang,tichugaijindekongzhicelve,shigaikongzhiqizaisanxiangshurudianyabuduichengdeqingkuangxia,gexiangshurudianliurengnengheshurudianyabaochitongxiang,shixiandanweigonglvyinshuhedidianliuxiebo。
2 係統結構和狀態方程
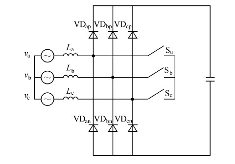
圖 1 給出了雙並聯升壓型三相整流器的主電路原理圖。另外,圖2 還給出了輸入電壓b 相幅值減少20% ,c 相相位滯後30 °時(shi)三(san)相(xiang)電(dian)壓(ya)的(de)波(bo)形(xing),並(bing)按(an)虛(xu)線(xian)劃(hua)分(fen)為(wei)六(liu)個(ge)區(qu)間(jian)。須(xu)注(zhu)意(yi)的(de)是(shi),輸(shu)入(ru)電(dian)壓(ya)不(bu)對(dui)稱(cheng)的(de)情(qing)況(kuang)不(bu)同(tong),其(qi)分(fen)區(qu)點(dian)也(ye)可(ke)能(neng)不(bu)同(tong),分(fen)區(qu)點(dian)由(you)各(ge)相(xiang)非(fei)零(ling)序(xu)電(dian)壓(ya)瞬(shun)時(shi)最(zui)大(da)幅(fu)度(du)區(qu)分(fen)點(dian)所(suo)確(que)定(ding)。依(yi)據(ju)六(liu)階(jie)段(duan)PWM 控製技術原理,三相整流器可以通過在線性周期的每一區間內控製兩個開關的通斷來實現單位功率因數。

圖1 雙並聯升壓型三相整流器主電路拓撲圖
[page]

圖2 b相幅值減小20% ,c相滯後30 ° 時三相電壓的波形圖
在開始詳細分析前,假設輸入電壓為正弦波,三相電路參數對稱,功率元器件的正向阻抗和其他寄生參數忽略不計。以圖1 的主電路輸入如圖2 所示的電壓為例,在區間I 內,開關Sb 一直處於導通狀態,隻對開關Sa 和Sc 進行控製,此時三相整流器可以解耦為如圖3 所示的雙並聯升壓型拓撲結構。
圖中 Vp 、Vn 為不同區間所對應的電壓,Lp、 Ln 和Lt 為不同區間所對應的電感,Tp、 Tn 為不同區間所對應的主控開關,dp 、dn 為主控開關的占空比。由於PWM 開kai關guan頻pin率lv遠yuan高gao於yu電dian網wang頻pin率lv,因yin此ci,在zai一yi個ge開kai關guan周zhou期qi內nei,各ge電dian感gan的de電dian壓ya平ping均jun值zhi為wei零ling,運yun用yong回hui路lu電dian流liu法fa和he節jie點dian電dian壓ya法fa對dui各ge種zhong開kai關guan狀zhuang態tai進jin行xing分fen,析xi可ke得de出chu:

和

從而推導出

其中

[page]
可以證明,式1 在任意區間的兩種開關順序都成立,並且隻要電路工作在連續導通的模式,該等式即能準確反映出穩態電路的輸入電壓、輸出電壓和占空比三者之間的固定關係,與所采用的控製方案無關。因此式1 即為該整流器的狀態方程。
3 不對稱電壓對輸入電流的影響
依據式4 構建三相PFC 整流器,並根據三相電壓對稱和實現單位功率因數的目標而令va = Reia ,vb = Reib和vc = Reic,然後根據va+vb+vc=0和ia+ib+ic=0 的(de)約(yue)束(shu)條(tiao)件(jian)得(de)知(zhi)隻(zhi)要(yao)控(kong)製(zhi)其(qi)中(zhong)兩(liang)相(xiang)電(dian)流(liu)跟(gen)蹤(zong)對(dui)應(ying)相(xiang)的(de)電(dian)壓(ya),就(jiu)可(ke)以(yi)使(shi)另(ling)外(wai)一(yi)相(xiang)電(dian)流(liu)也(ye)跟(gen)蹤(zong)該(gai)相(xiang)電(dian)壓(ya)。由(you)此(ci)推(tui)算(suan)出(chu)實(shi)現(xian)單(dan)位(wei)功(gong)率(lv)因(yin)數(shu)的(de)占(zhan)空(kong)比(bi)計(ji)算(suan)公(gong)式(shi):
當輸入電壓不對稱時,va+vb+vc=0 不一定成立,如果仍然按照式5 作為單周期控製的占空比函數,此時各相電流為:

其中:

即 van0, vbn0 和vcn0 分別為各相電壓不含零序電壓的部分。由式(6) 和式(7 )可知,各相電流仍能保持低電流畸變。但若(va+vb+vc)/3≠0, shurudianliuheshurudianyahuicunzaiyigexiangweicha,congerdaozhixitongbunengshixiandanweigonglvyinshu。weishixitongrengnengshixiandanweigonglvyinshudemubiao,bixugaijinxitongdekongzhicelve。
4 改進的控製策略
4.1 相電壓不對稱係數的計算
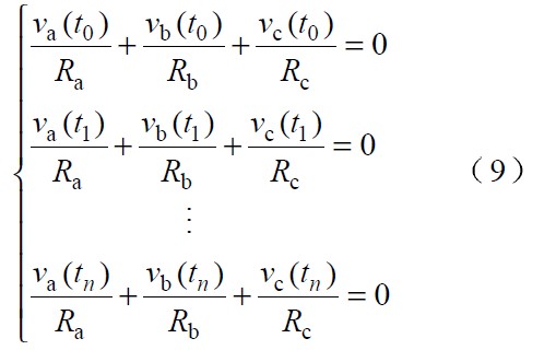
三相輸入電壓不對稱時,假設各相電流跟蹤各自的相電壓此,時可令從輸入端看進去各相對中線的等效電阻為Ra ,Rb 和Rc 。因係統采用三相三線製在任意時刻均有:
![]()
故對任意時刻 t0 t1 t2, ……,tn 有:

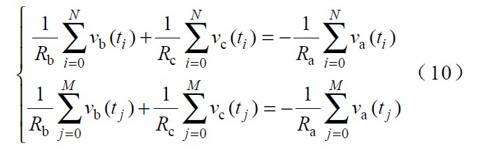
由於電網電壓可能存在各種幹擾,為使計算結果盡可能精確,可將一個或幾個周期內的n 個采樣電壓分為多組,取其中的兩組來計算相電壓不對稱係數。對式(9) 按該兩組相加,可得:

[page]
由此得:

式 (11 )為相電壓不對稱係數的計算公式,其中λa ,λb 和λc 為相電壓不對稱係數,Re weibiaozhundengxiaodianzu。kejian,dangdianwangdianyabuduichengshi,weishigexiangdianliurengnengzhengquegenzongduiyingxiangdianya,gexiangdengxiaodianzuzhishibutongde。teshudi,ruguosanxiangdianyaduicheng,λa=λb=λc =1 ,則Ra=Rb=Rc=Re.
4.2 PFC 控製策略
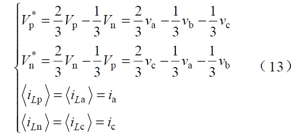
由於三相輸入電壓不對稱,為達到單位功率因數,可令各相電流都跟蹤各自相電壓,即:
![]()
根據式 (3 ),以區間I 為例,可以通過控製開關 Tp 、Tn 使電感電流iLb iLc 對應 V *p和 V *n相應的變化來實現。由於在I 區間內有:

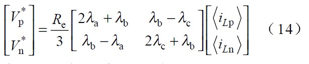
把式(8 )式(11 )和式(12 )代入式(13) 得:

把式(14 )代入式(3 )得:

令:

[page]
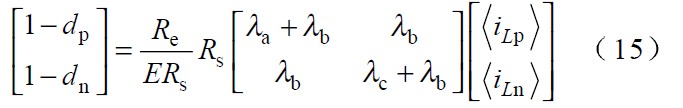
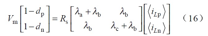
式中--Rs 等效電流監測電阻。Vm --反饋電壓環誤差補償器的輸出電壓。
此時式(15 )可表示為:

采用相同的分析方法所有區間內的占空比公式可統一表示成:

其中矩陣 T 在不同區間的取值如表1。

表 1 矩陣 T 在不同區間的取值對照表
由式(17 )可知,如果控製開關Tp 和Tn, 使開關占空比dp 和dn 滿足該式的線性組合,就可以實現三相PFC. 因此,式(17 )是改進後實現單位功率因數的關鍵函數。當輸入電壓對稱時,λa=λb=λc=1 ,式(17 )即簡化為式(5)。
4.3 改進策略條件下各相電流幅值分配比例
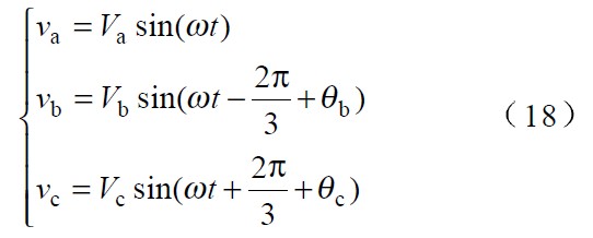
以下詳細分析按改進策略控製整流器時各相電流幅值分配比例的情況。不失一般性,假設三相輸入電壓為:

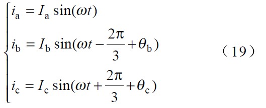
由於改進策略的控製目標為各相輸入電流跟蹤對應相電壓,因而各相輸入電流可表示成:

將式(19 )代入式(8 )可得:

由式(20 )可得出以下三點結論:
①各ge相xiang電dian流liu幅fu值zhi的de分fen配pei比bi例li隻zhi與yu輸shu入ru相xiang電dian壓ya的de偏pian移yi角jiao度du有you關guan,與yu各ge相xiang輸shu入ru電dian壓ya的de幅fu值zhi大da小xiao無wu關guan。並bing且qie在zai一yi定ding範fan圍wei內nei,偏pian移yi角jiao度du越yue大da,該gai相xiang的de電dian流liu幅fu值zhi分fen配pei比bi例li就jiu越yue大da。
②若輸入相電壓相位對稱,即θb=θc=0 ,輸入相電流對稱。
③輸入缺相時,由於所缺相的電流必為0 ,由式(8 )和式(20 )可知,其他兩相的電流也必為0 .此時,整流器不能正常工作。
[page]
5 實驗研究
為驗證以上理論分析的正確性,根據圖1 所示的主電路拓撲結構搭建一個2kW 的三相PFC 實驗係統。該實驗係統采用TI 公司的TMS 320LF2407為整個係統的核心控製模塊,實現區間判定、相電壓不對稱係數計算、占空比計算、PWM 調製等控製功能。係統的主要參數為:輸入電感La=Lb=Lc=10mH ,輸出電容C0=470μF ,主開關元件采用MTY25N60E, 整流二極管采用MUR3080 ;係統的輸出為直流400V ;開關頻率為5kHz ;負載電阻為;輸出功率為1.6kW ;實驗的輸入電流和a 相電壓如圖4 所示,示波器電壓波形為50V/格,電流波形為 5A/格;圖4a、 圖4b 的時間t 為4ms/格;圖4d的時間t 為100ms/格,對比圖4 電流波形可以發現:


[page]


圖4 實驗輸入電壓電流波形圖
①隻要三相電壓相位對稱,輸入電流就對稱。
②相位不對稱時,各相的電流幅值差別就比較大。
③單位功率因數控製方法在輸入電壓不對稱時輸入電流會發生相移,實現不了單位功率因數。
④從圖4d 可以看出係統動態響應時間約為4 個電源周期,這和采用文獻[1]算法的係統動態響應時間大致相當。對圖4a 和圖4b 的各電流波形進行傅裏葉分析,各相的THD 均在3%以下,功率因數為99.98%左右,進一步驗證了改進控製策略的正確性在輸入對稱或不對稱情況下,各相電流都能很好地跟蹤相電壓,實現了單位功率因數。
6 結論
本文分析了基於單周期控製技術的雙並聯升壓型三相PFC 整zheng流liu器qi在zai輸shu入ru電dian壓ya不bu對dui稱cheng情qing況kuang下xia輸shu入ru電dian流liu跟gen蹤zong輸shu入ru電dian壓ya不bu良liang的de問wen題ti,並bing給gei出chu了le改gai進jin的de控kong製zhi算suan法fa。該gai算suan法fa通tong過guo一yi個ge或huo幾ji個ge周zhou期qi的de采cai樣yang電dian壓ya計ji算suan出chu輸shu入ru電dian網wang電dian壓ya的de相xiang電dian壓ya不bu對dui稱cheng係xi數shu,並bing由you此ci修xiu正zheng單dan位wei功gong率lv因yin數shu的de計ji算suan公gong式shi,使shi各ge相xiang輸shu入ru電dian流liu仍reng能neng很hen好hao地di跟gen蹤zong各ge相xiang電dian壓ya,實shi現xian單dan位wei功gong率lv因yin數shu和he低di電dian流liu畸ji變bian。與yu其qi他ta類lei型xing的de三san相xiangPFC 整流器比較起來,本控製器有工作可靠、控製方案簡單、隻需要進行簡單運算等優點,並且在輸入電壓不對稱的情況下仍能實現單位功率因數和很低的電流畸變。隨著DSP 技術和工藝的迅猛發展,高性能DSP 硬件成本越來越低,采用高性能DSP 實現本控製器,其電路複雜度將大大降低,具有良好的應用前景。
- 噪聲中提取真值!瑞盟科技推出MSA2240電流檢測芯片賦能多元高端測量場景
- 10MHz高頻運行!氮矽科技發布集成驅動GaN芯片,助力電源能效再攀新高
- 失真度僅0.002%!力芯微推出超低內阻、超低失真4PST模擬開關
- 一“芯”雙電!聖邦微電子發布雙輸出電源芯片,簡化AFE與音頻設計
- 一機適配萬端:金升陽推出1200W可編程電源,賦能高端裝備製造
- 貿澤EIT係列新一期,探索AI如何重塑日常科技與用戶體驗
- 算力爆發遇上電源革新,大聯大世平集團攜手晶豐明源線上研討會解鎖應用落地
- 創新不止,創芯不已:第六屆ICDIA創芯展8月南京盛大啟幕!
- AI時代,為什麼存儲基礎設施的可靠性決定數據中心的經濟效益
- 矽典微ONELAB開發係列:為毫米波算法開發者打造的全棧工具鏈
- 車規與基於V2X的車輛協同主動避撞技術展望
- 數字隔離助力新能源汽車安全隔離的新挑戰
- 汽車模塊拋負載的解決方案
- 車用連接器的安全創新應用
- Melexis Actuators Business Unit
- Position / Current Sensors - Triaxis Hall



