高精度MOSFET設計技巧
發布時間:2011-12-02 來源:飛兆半導體
中心議題:
- MOSFET的設計方法
- 頂部MOSFET損耗
- 同步整流器設計
隨著個人計算機行業向著工作電流為200A的1V核心電壓推進,為了滿足那些需求,並為該市場提供量身定製新型器件所需要的方法,半導體行業正遭受著巨大的壓力。過去,MOSFET設計工程師隻要逐漸完善其性能就能滿足市場的需求並通常獲得滿意的結果。
現在,他們麵臨的要求根本背離被動響應或主動前攝的設計方法,這種方法本來應該讓他們能夠提供更大的電流、更高的效率和更小的占位麵積以滿足日益增長的需求,從而應對分配給DC-DC轉換器越來越小的體積資源所帶來的挑戰。為此,本文在此提出一種具有外科手術式精度的設計方法,來針對該市場的需求設計MOSFET。這種根本的變革被證明是正當的,因為市場之大,足以證明所需要的花費是正當的,並且能夠提供非常滿足市場需求的解決方案。
MOSFET設計方法
同步升壓轉換器是個人電腦行業為DC-DC轉zhuan換huan器qi所suo選xuan擇ze的de拓tuo撲pu結jie構gou,並bing且qie被bei廣guang泛fan地di用yong於yu電dian信xin其qi它ta市shi場chang。我wo們men在zai本ben文wen中zhong將jiang僅jin僅jin考kao慮lv這zhe種zhong拓tuo撲pu,但dan是shi同tong一yi方fang法fa也ye可ke能neng適shi用yong於yu其qi它ta的de拓tuo撲pu。我wo們men將jiang嚐chang試shi根gen據ju兩liang個ge因yin素su推tui導dao計ji算suan最zui優you化huaMOSFET裸片麵積的方程。

圖1:升壓轉換器。
1. 它在電路中的作用是功率開關MOSFET或同步整流器;
2. 與這種特殊的MOSFET相關的總的損耗。
選擇總損耗作為確定因素的直接原因是業界需要更高的效率和更低的損耗。裸片麵積經過最優化的MOSFET,當被用於其目標應用—即開關MOSFET或同步整流器—時,可以提供最少的損耗。顯然,這樣的方程取決於用於製造器件的特殊工藝及利用該工藝進行的特殊器件設計。
通tong過guo把ba器qi件jian麵mian積ji與yu物wu理li應ying用yong參can數shu聯lian係xi起qi來lai,我wo們men可ke以yi考kao察cha這zhe些xie參can數shu對dui器qi件jian的de不bu同tong影ying響xiang,並bing且qie在zai最zui佳jia情qing況kuang下xia,我wo們men能neng夠gou根gen據ju應ying用yong需xu求qiu精jing密mi設she計ji一yi種zhong器qi件jian,或huo換huan言yan之zhi,一yi種zhong針zhen對dui特te殊shu應ying用yong的deMOSFET。這(zhe)種(zhong)方(fang)法(fa)使(shi)功(gong)率(lv)半(ban)導(dao)體(ti)行(xing)業(ye)能(neng)夠(gou)每(mei)一(yi)次(ci)都(dou)生(sheng)產(chan)滿(man)足(zu)要(yao)求(qiu)的(de)功(gong)率(lv)器(qi)件(jian),並(bing)消(xiao)除(chu)設(she)計(ji)過(guo)程(cheng)中(zhong)的(de)推(tui)測(ce)工(gong)作(zuo),從(cong)而(er)使(shi)開(kai)發(fa)周(zhou)期(qi)更(geng)短(duan)且(qie)費(fei)用(yong)更(geng)低(di)。
為了簡化導出的方程,我們把損耗的計算限製為兩種起支配作用的損耗源:
1. 傳導損耗;
2. 動態或開關損耗。
一直以來,人們忽略了門極到源極之間以及漏極到源極之間電容的充放電。在給定的300KHz開關頻率和12V輸入電壓的條件下,這兩種損耗源在整個器件的損耗中占很小的百分比。另一方麵,通過引入這兩種損耗源,確實使利用Maple軟件的數學推導過程更為複雜,它使所導出的方程過於複雜,難以利用它來研究應用參數對器件麵積的影響。
頂部MOSFET損耗
讓我們考慮開關MOSFET中的這兩種來源的損耗:第一種是傳導損耗或歐姆損耗,第二種是動態損耗。傳導損耗是簡單的I2R x 占空周期損耗,而動態損耗或開關損耗是由MOSFET打開或關閉過程中因漏極到源極之間的電壓及流過它的電流有限所致。損耗可能由下式計算:
(1)
其中:tr和tf =上升和下降時間;Vin =輸入電壓;ILoad =負載電流;Fs =開關頻率;RDS(ON) = MOSFET導通電阻;ΔPWM = 占空周期;Rpackage =封裝阻抗;
[page]
為了計算tr和tf,我們需要作出下列假設:
tr ≈ tf
對於開關,僅僅考慮門極到漏極的電荷成分Qgd,因為門極電荷Qg在開關中不發揮任何作用。

其中:Qgd = 門或漏極電荷;Kd = 常數;Id = 在門閥值上的門驅動電流;A = 裸片麵積;
替換(1),我們得到:
(2)
取(2)—裸片麵積A—的一階導數,我們得到:
(3)
取二階導數,我們得到:
(4)
方程(4)為正,表示為A求解(3)將產生一個函數的最小值。求解A,我們得到函數Pdissipation的最小值:
(5)
而最優化裸片麵積可能由下式計算:
(6)
用Vout/Vin替換ΔPWM,而VDrive/Rg替換ID,我們得到:
(7)
因為VoutILoad = 輸出功率 = Pout
(8)
注意:Aoptimum直接正比於√Pout而反比於Vin
同步整流器
利用相同的處理,我們可以導出針對同步整流器的方程:
(9)
類似地,做優化裸片麵積可由下式表示:
(10)
[page]
我們以頂部MOSFET為例,下圖2所示為在不同輸入電壓時最優化裸片麵積和負載電流之間的關係。仔細地考察發現,當輸入電壓從19V變到5V時,裸片麵積增加。

圖2:最優化裸片麵積是頂部MOSFET在不同輸入電壓條件下負載電流的函數。
這是因為在5V電壓時占空比會增加,而我們需要較小的RDSON,yinci,huodejiaodadeluopianmianjiyijianxiaochuandaosunhao。yinweikaiguandianyayuexiao,kaiguansunhaoyechengbilidiyuexiao,yinci,womenwomennenggourongrencunzaimouzhongchengdushangjiaodadeQgd和較大的裸片麵積。
如下圖3suoshi,shizaibutongshurudianyadeqingkuangxiazuiyouhualuopianmianjihekaiguanpinlvzhijiandeguanxi。xianran,zaidongtaisunhaohechuandaosunhaozhijianwomenxuyaocaiqubutongdehunhe,bingqiezaigaokaiguanpinlvxiadongtaihuokaiguansunhaoqizhipeizuoyong,yinci,poshibaluopianmianjizuodefeichangxiao。

圖3:最優化裸片麵積是頂部MOSFET在不同輸入電壓條件下開關頻率的函數。
這(zhe)些(xie)依(yi)賴(lai)性(xing)在(zai)某(mou)種(zhong)程(cheng)度(du)上(shang)不(bu)同(tong)於(yu)我(wo)們(men)考(kao)慮(lv)同(tong)步(bu)整(zheng)流(liu)器(qi)的(de)時(shi)候(hou),因(yin)為(wei)跨(kua)越(yue)它(ta)的(de)電(dian)壓(ya)是(shi)單(dan)隻(zhi)二(er)極(ji)管(guan)的(de)壓(ya)降(jiang),無(wu)論(lun)是(shi)體(ti)二(er)極(ji)管(guan)或(huo)是(shi)肖(xiao)特(te)基(ji)二(er)極(ji)管(guan),在(zai)此(ci),動(dong)態(tai)損(sun)耗(hao)比(bi)頂(ding)部(bu)MOSFET要小得多。
這意味著傳導損耗在這種情況下占支配地位,在此,即使以較大的Qgd為代價,也需要較大的裸片麵積和相關的小RDSON值。如圖4所示,最優化裸片麵積是頂部MOSFET在不同輸入電壓條件下負載電流的函數。盡管開關損耗在整個損耗圖中發揮的作用較小,在此,仍然要以犧牲RDSON指標為代價,進一步減小裸片麵積來實現更低的Qgd。

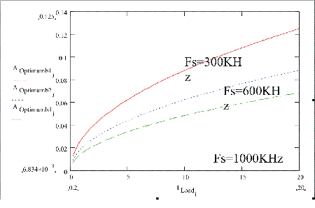
圖4:在同步整流器MOSFET不同開關頻率上的最優化裸片麵積是負載電流的函數。
[page]
如圖5所示,功耗是裸片麵積的函數,周圍是針對輸入電壓為5到12V的頂部MOSFET的最合適值。這清楚地表麵,損耗高度依賴於裸片麵積以及如果裸片麵積增加或減少時這些損耗所增加或減小的劇烈程度。

圖5:功耗是頂部MOSFET裸片麵積的函數。
顯然,我的觀點是:這些方程從為任務指定最優化MOSFET的任務中獲得推斷,並讓我們把工作重心放在開發滿足未來幾年需求的新的製造工藝的任務之上。
本文小結
我們在此已經介紹了專門針對給定應用而設計的MOSFET的概念。為了讓MOSFET設計工程師把精力集中在需求快速增長的個人電腦市場,有必要針對特定的器件給出範例。盡管對RDSON和Qgd兩個前沿課題有待做進一步完善,但是,仍然需要針對特定應用來設計MOSFET器件。
在MOSFET參數和應用之間的閉環鏈路要根據需要來使用。我們在上麵已經示出:這樣的一個鏈路可以由損耗方程中導出,因為它們由MOSFET的參數來修正。
在頂部和同步整流器MOSFET之間,前者是對設計更為重要的器件。這是因為要對RDSON和Qgd兩者進行優化,以獲得最優化的性能;而同步整流器則居於其次。
上述方程根據一組特定的固定參數清楚地確定了最優化的裸片麵積。實際上,有必要被擴展到包含一定範圍內的工作條件,如頻率、負載電流、輸shu入ru電dian壓ya和he門men驅qu動dong條tiao件jian。幸xing運yun的de是shi,在zai個ge人ren電dian腦nao市shi場chang,輸shu入ru電dian壓ya和he每mei相xiang的de電dian流liu被bei保bao持chi在zai相xiang當dang窄zhai的de範fan圍wei內nei。這zhe就jiu使shi開kai關guan頻pin率lv和he門men驅qu動dong器qi成cheng為wei唯wei一yi的de兩liang個ge真zhen實shi變bian量liang。
- 噪聲中提取真值!瑞盟科技推出MSA2240電流檢測芯片賦能多元高端測量場景
- 10MHz高頻運行!氮矽科技發布集成驅動GaN芯片,助力電源能效再攀新高
- 失真度僅0.002%!力芯微推出超低內阻、超低失真4PST模擬開關
- 一“芯”雙電!聖邦微電子發布雙輸出電源芯片,簡化AFE與音頻設計
- 一機適配萬端:金升陽推出1200W可編程電源,賦能高端裝備製造
- 貿澤EIT係列新一期,探索AI如何重塑日常科技與用戶體驗
- 算力爆發遇上電源革新,大聯大世平集團攜手晶豐明源線上研討會解鎖應用落地
- 創新不止,創芯不已:第六屆ICDIA創芯展8月南京盛大啟幕!
- AI時代,為什麼存儲基礎設施的可靠性決定數據中心的經濟效益
- 矽典微ONELAB開發係列:為毫米波算法開發者打造的全棧工具鏈
- 車規與基於V2X的車輛協同主動避撞技術展望
- 數字隔離助力新能源汽車安全隔離的新挑戰
- 汽車模塊拋負載的解決方案
- 車用連接器的安全創新應用
- Melexis Actuators Business Unit
- Position / Current Sensors - Triaxis Hall




