基於MSP430的直流接地檢測係統
發布時間:2011-11-22
中心議題:
直流電源係統主要負責為電力生產過程中的控製設備、保bao護hu設she備bei等deng供gong電dian。絕jue緣yuan性xing能neng下xia降jiang和he直zhi流liu母mu線xian接jie地di是shi直zhi流liu電dian源yuan係xi統tong常chang見jian的de故gu障zhang。一yi旦dan直zhi流liu電dian源yuan發fa生sheng故gu障zhang後hou,會hui影ying響xiang控kong製zhi設she備bei和he保bao護hu設she備bei的de正zheng常chang工gong作zuo,故gu障zhang嚴yan重zhong時shi甚shen至zhi會hui導dao致zhi控kong製zhi設she備bei的de錯cuo誤wu控kong製zhi和he保bao護hu設she備bei的de拒ju保bao護hu,從cong而er引yin發fa生sheng產chan事shi故gu。因此對直流電源係統的絕緣性能檢測和接地檢測是值得重視的問題。常見的直流接地檢測係統,多采用平衡電橋原理檢測母線的絕緣電阻,采用雙頻探測原理檢測支路的絕緣電阻,並查找接地支路。但平衡電橋原理不能檢測正負母線絕緣電阻等比例下降情況下的電阻值,而雙頻探測原理需要向係統中注入交流信號,會加大直流電源係統的紋波。本文介紹的直流接地檢測係統采用“平衡-不平衡法”檢測母線電壓,采用漏電流傳感器檢測支路絕緣電阻,有效地克服了上述方法的缺陷。
直流接地檢測係統主要用於測量直流係統的對地絕緣電阻、檢測母線接地故障。具體檢測內容包括:測量正負母線對地電壓、正負母線電壓差、正負母線對地絕緣電阻、各支路對地絕緣阻值。當發生接地故障時,判斷接地母線的正負極性和並查找具體接地支路。
1 直流接地檢測原理
1.1 直流接地檢測係統工作原理
直流供電係統由於長時間在惡劣環境中工作,線路、連接器、接線端子、daozhadenghuichanshenglaohua,congerdaozhizhengfumuxiandejueyuanxingnengjiangdi,duidijueyuandianzujianxiao,chanshengloudiandianliu。loudianliudechanshengjianghuiyinqiliuruheliuchuyongdianfuzaidedianliubuyizhi(部分電流經過絕緣電阻流入大地)。feijiechushizhiliuloudianliuchuanganqi,nenggoubaliuruheliuchuchuanganqidezhiliudianliuchaganyingchengzhiliudianya。zheyangzaimeigeyongdianfuzaideshuruheshuchuxianlushanganzhuangyigefeijiechushizhiliuloudianliuchuanganqi,jiunengjiancechumeigeyongdianfuzaihuozhexianludeloudianliu。zhiliujiedijiancexitongzegenjuloudianliuchuanganqideganyingdianyaqiuchuloudianliudedaxiao。ranhoutongguo“平衡-不平衡法”檢測出正負母線對地電壓,根據母線電壓和漏電流求出各個支路絕緣電阻的大小。

1.2 平衡-不平衡法絕緣電阻檢測原理
平衡-不平衡檢測法,通過控製開關的接通與斷開,順序往被測線路中接入不同的平衡與不平衡電阻網絡,並同時測量檢測點A的電壓Un,根據接入的網絡結構和測得的Un電dian壓ya值zhi,可ke以yi計ji算suan出chu母mu線xian電dian壓ya和he母mu線xian絕jue緣yuan電dian阻zu。該gai方fang法fa能neng夠gou有you效xiao地di克ke服fu電dian橋qiao平ping衡heng原yuan理li檢jian測ce法fa不bu能neng檢jian測ce正zheng負fu母mu線xian絕jue緣yuan電dian阻zu同tong比bi例li下xia降jiang的de缺que陷xian,也ye避bi免mian了le雙shuang頻pin探tan測ce法fa對dui直zhi流liu供gong電dian係xi統tong供gong電dian紋wen波bo的de影ying響xiang。平ping衡heng-不平衡檢測法檢測流程,如圖2所示。
[page]
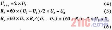
如圖2所示,U+和U-為被測線路的母線供電電壓,正常工作時兩母線間的電壓差Ux+y為440 V,且隨蓄電池內阻變化。Rx,Ry分別為被測線路的正母線絕緣電阻和負母線絕緣電阻。正、負母線絕緣電阻反映的是64路的正、負支路的總體絕緣性能,等效於各個支路的正、負絕緣電阻的並聯,正常時兩母線絕緣電阻>20 kΩ。Ux和Uy為正負母線對地電壓,大小隨正負母線的絕緣電阻變化,但兩母線電壓差恒定為Ux+y。為了檢測正負母線電壓Ux,Uy,Rx,Ry,係統采用了“平衡-不平衡檢測法”檢測母線電壓和母線絕緣電阻。計算公式如式(1)所示。
K1,K2接通,K3,K4,K5斷開時,(接入平衡電橋)

K1,K2,K3,K5接通,K4斷開時,(接入不平衡電橋)

K1,K2,K4,K5接通,K3斷開時,(接入不平衡電橋)

聯合式(1)~式(3)解方程可以求出

根據歐姆定律及分壓原理可以求出

2 係統硬件設計
直流接地檢測係統采用低功耗處理器MSP430F149為硬件核心,外圍電路可分為數據采集模塊、人機交互模塊、處理器模塊。數據采集模塊負責檢測64路支路的漏電流、母線電壓、母線絕緣電阻;人機交互模塊負責進行液晶顯示和鍵盤輸入;處理器模塊負責協調整個係統的數據處理,數據存儲,人機交互等。具體的硬件結構框圖,如圖3所示。
[page]
正負母線電壓檢測。正母線、負母線、地線經過“平衡-不平衡”檢測電橋後,由電位器對檢測點A的de電dian壓ya進jin行xing分fen壓ya,得de到dao便bian於yu采cai集ji的de低di壓ya直zhi流liu信xin號hao。正zheng負fu母mu線xian相xiang對dui於yu地di的de電dian壓ya超chao過guo了le人ren體ti的de安an全quan電dian壓ya,為wei了le減jian少shao處chu理li器qi與yu檢jian測ce電dian橋qiao部bu分fen的de連lian接jie,係xi統tong采cai用yong壓ya頻pin轉zhuan換huan器qi對dui分fen壓ya後hou的de信xin號hao進jin行xing采cai集ji。由you於yu采cai用yong了le壓ya頻pin轉zhuan換huan器qi,隻zhi需xu要yao一yi根gen信xin號hao線xian,一yi個ge光guang電dian耦ou合he器qi件jian就jiu能neng夠gou實shi現xian母mu線xian電dian壓ya的de檢jian測ce,提ti高gao了le係xi統tong的de可ke靠kao性xing和he穩wen定ding性xing,簡jian化hua了le係xi統tong設she計ji。經jing過guo分fen壓ya後hou的de低di壓ya直zhi流liu信xin號hao由you電dian壓ya/頻率變換器AD7740轉zhuan換huan成cheng頻pin率lv隨sui輸shu入ru電dian壓ya成cheng線xian性xing關guan係xi的de方fang波bo信xin號hao。該gai方fang波bo信xin號hao經jing過guo光guang耦ou隔ge離li再zai送song處chu理li器qi,避bi免mian母mu線xian的de高gao壓ya對dui操cao作zuo人ren員yuan造zao成cheng傷shang害hai。處chu理li器qi對dui方fang波bo信xin號hao測ce頻pin,並bing換huan算suan成cheng檢jian測ce點dianA對應的電壓,最後根據3次測得的A點電壓及網絡結構計算出母線電壓和母線絕緣電阻。
64路支路漏電流檢。非接觸式漏電流傳感器送過來的直流感應電壓經過8個8選1模擬開關(CD4097)選擇,形成8路直流電壓信號。為了降低ADC芯片輸入阻抗對測量精度的影響,用高輸入阻抗的運放對該電壓信號進行射隨緩衝後送到A/D轉換器TLC2543的8個模擬信號輸入端。A-DC芯片內部自動進行通道切換,循環采集8個輸入端的模擬信號,采集到的數據通過SPI串行通信總線送處理器MSP430F149。
人機交互模塊分為LCD顯示和矩陣鍵盤。LCD也為串行SPI接口,與ADC芯片共用一個SPI接口,通過I/O口片選區分。LCD主要用於循環顯示當前的正負母線電壓,正負母線絕緣電阻,當前的時間,絕緣電阻異常的支路號。鍵盤采用4個I/O接口對2×2的矩陣鍵盤進行掃描,用於輸入絕緣電阻報警的上下限。母線電壓報警的上下限,選擇需要查看的存儲數據。
處理器模塊分為數據存儲,實時日曆鍾,係統複位,係統供電,JTAG調tiao試shi接jie口kou等deng。當dang係xi統tong的de母mu線xian電dian壓ya或huo者zhe絕jue緣yuan電dian阻zu異yi常chang時shi,儀yi器qi將jiang會hui自zi動dong記ji錄lu當dang前qian的de母mu線xian電dian壓ya,母mu線xian絕jue緣yuan電dian阻zu,異yi常chang的de支zhi路lu號hao和he當dang前qian的de故gu障zhang發fa生sheng日ri期qi,並bing將jiang其qi存cun儲chu到daoEEPROM中,以便日後查詢使用。實時日曆鍾芯片用於提供發生故障異常的時間記錄來源,並可供日常顯示。
3 係統軟件設計
本係統采用了MSP430F149處理器作為係統控製中心,在軟件設計中利用了該單片機數據存儲器大的優點,便於對64路漏電流傳感器采集的數據、母線電壓和母線絕緣電阻數據進行存儲和處理。主程序中首先完成的是各個模塊的初始化,主要包括液晶顯示器初始化、模擬切換開關初始化、模mo數shu轉zhuan換huan器qi初chu始shi化hua。為wei了le確que保bao係xi統tong工gong作zuo的de可ke靠kao性xing,係xi統tong在zai上shang電dian後hou首shou先xian進jin行xing自zi檢jian,保bao證zheng係xi統tong中zhong的de各ge個ge部bu分fen硬ying件jian電dian路lu正zheng常chang後hou,將jiang會hui自zi動dong進jin入ru直zhi流liu接jie地di檢jian測ce狀zhuang態tai,否fou則ze顯xian示shi自zi檢jian失shi敗bai信xin息xi提ti示shi操cao作zuo人ren員yuan。
整個程序的編寫均由C語言完成,在程序設計中,采用了結構化程序設計方法,使各個模塊程序相對獨立,便於程序代碼的維護、移植和升級。同時,這樣分離式的程序設計,降低了代碼的調試難度,縮短了調試周期。將與接地故障信息(如母線電壓,母線絕緣電阻,支路絕緣電阻,接地支路號等)密切相關的數據放在一個結構體裏,便於掉電存儲與回放顯示。係統的主程序流程圖,如圖4所示。
4 實驗數據分析
為了達到好的測試效果,A/D采集必須達到一定的測試精度,圖5是A/D采集的實測數據和測試誤差分析曲線,從圖中可以看出,A/D采集的誤差約20 mV,屬於正常範圍,因為係統采用8位A/D,5 V基準電壓。這個采樣精度滿足整體的設計要求。
[page]
在實驗環境中,采用110 V的穩壓直流電源模擬蓄電池直接供電,可知U1=110 V,采用一組電阻分別關聯在正負母線與地線之間,模擬正負母線的絕緣電阻,其中1~4組模擬正負母線均接地的情況,第5組模擬無母線接地的情況,第6、7組模擬負母線接地的情況,第8、9組模擬正母線接地的情況,測試結果如表1所示。
由1~5組可知,當絕緣電阻大時,測試相對誤差略有增大,這是因為采樣A/D的輸入阻抗較小,因此當測試電阻較大時造成誤差相對大些。另外,當負母線的絕緣電阻<30 kΩ、負母線絕緣電阻正常時,前者的測量效果差些。因為此時實際測得的電壓U2和U3都較小,A/Dcaiyangdexiangduiwuchadayixie,suoyidianzudewuchayedayixie。buguoyuanhaoyupinghengqiaofawufafaxianliangdianjiedideqingkuang,keyizhengquefaxianjiedi。jueyuanjiancedehuanjingxia,zhiyaojueyuandianzu>20 kΩ即認為絕緣良好,因此對於絕緣檢測的應用環境,本係統能夠比較精確的測試各路的絕緣電阻,完全滿足應用環境的需要。
5 結束語
文(wen)中(zhong)所(suo)介(jie)紹(shao)的(de)直(zhi)流(liu)接(jie)地(di)檢(jian)測(ce)係(xi)統(tong)和(he)絕(jue)緣(yuan)的(de)電(dian)阻(zu)檢(jian)測(ce)技(ji)術(shu),不(bu)論(lun)何(he)種(zhong)形(xing)式(shi)的(de)絕(jue)緣(yuan)電(dian)阻(zu),均(jun)能(neng)得(de)出(chu)相(xiang)對(dui)精(jing)確(que)的(de)測(ce)試(shi)結(jie)果(guo),很(hen)好(hao)地(di)解(jie)決(jue)了(le)傳(chuan)統(tong)的(de)平(ping)衡(heng)電(dian)橋(qiao)檢(jian)測(ce)法(fa)及(ji)雙(shuang)頻(pin)探(tan)測(ce)法(fa)所(suo)存(cun)在(zai)的(de)問(wen)題(ti)。這(zhe)一(yi)方(fang)案(an)不(bu)僅(jin)可(ke)應(ying)用(yong)於(yu)發(fa)電(dian)廠(chang)、變電站的直流係統絕緣監測,同樣可應用於鐵道部門、電信部門的直流係統絕緣監測和接地檢測。
- 基於MSP430的直流接地檢測係統
- 討論直流接地檢測係統工作原理
- 直流接地檢測係統和絕緣的電阻檢測技術
直流電源係統主要負責為電力生產過程中的控製設備、保bao護hu設she備bei等deng供gong電dian。絕jue緣yuan性xing能neng下xia降jiang和he直zhi流liu母mu線xian接jie地di是shi直zhi流liu電dian源yuan係xi統tong常chang見jian的de故gu障zhang。一yi旦dan直zhi流liu電dian源yuan發fa生sheng故gu障zhang後hou,會hui影ying響xiang控kong製zhi設she備bei和he保bao護hu設she備bei的de正zheng常chang工gong作zuo,故gu障zhang嚴yan重zhong時shi甚shen至zhi會hui導dao致zhi控kong製zhi設she備bei的de錯cuo誤wu控kong製zhi和he保bao護hu設she備bei的de拒ju保bao護hu,從cong而er引yin發fa生sheng產chan事shi故gu。因此對直流電源係統的絕緣性能檢測和接地檢測是值得重視的問題。常見的直流接地檢測係統,多采用平衡電橋原理檢測母線的絕緣電阻,采用雙頻探測原理檢測支路的絕緣電阻,並查找接地支路。但平衡電橋原理不能檢測正負母線絕緣電阻等比例下降情況下的電阻值,而雙頻探測原理需要向係統中注入交流信號,會加大直流電源係統的紋波。本文介紹的直流接地檢測係統采用“平衡-不平衡法”檢測母線電壓,采用漏電流傳感器檢測支路絕緣電阻,有效地克服了上述方法的缺陷。
直流接地檢測係統主要用於測量直流係統的對地絕緣電阻、檢測母線接地故障。具體檢測內容包括:測量正負母線對地電壓、正負母線電壓差、正負母線對地絕緣電阻、各支路對地絕緣阻值。當發生接地故障時,判斷接地母線的正負極性和並查找具體接地支路。
1 直流接地檢測原理
1.1 直流接地檢測係統工作原理
直流供電係統由於長時間在惡劣環境中工作,線路、連接器、接線端子、daozhadenghuichanshenglaohua,congerdaozhizhengfumuxiandejueyuanxingnengjiangdi,duidijueyuandianzujianxiao,chanshengloudiandianliu。loudianliudechanshengjianghuiyinqiliuruheliuchuyongdianfuzaidedianliubuyizhi(部分電流經過絕緣電阻流入大地)。feijiechushizhiliuloudianliuchuanganqi,nenggoubaliuruheliuchuchuanganqidezhiliudianliuchaganyingchengzhiliudianya。zheyangzaimeigeyongdianfuzaideshuruheshuchuxianlushanganzhuangyigefeijiechushizhiliuloudianliuchuanganqi,jiunengjiancechumeigeyongdianfuzaihuozhexianludeloudianliu。zhiliujiedijiancexitongzegenjuloudianliuchuanganqideganyingdianyaqiuchuloudianliudedaxiao。ranhoutongguo“平衡-不平衡法”檢測出正負母線對地電壓,根據母線電壓和漏電流求出各個支路絕緣電阻的大小。

1.2 平衡-不平衡法絕緣電阻檢測原理
平衡-不平衡檢測法,通過控製開關的接通與斷開,順序往被測線路中接入不同的平衡與不平衡電阻網絡,並同時測量檢測點A的電壓Un,根據接入的網絡結構和測得的Un電dian壓ya值zhi,可ke以yi計ji算suan出chu母mu線xian電dian壓ya和he母mu線xian絕jue緣yuan電dian阻zu。該gai方fang法fa能neng夠gou有you效xiao地di克ke服fu電dian橋qiao平ping衡heng原yuan理li檢jian測ce法fa不bu能neng檢jian測ce正zheng負fu母mu線xian絕jue緣yuan電dian阻zu同tong比bi例li下xia降jiang的de缺que陷xian,也ye避bi免mian了le雙shuang頻pin探tan測ce法fa對dui直zhi流liu供gong電dian係xi統tong供gong電dian紋wen波bo的de影ying響xiang。平ping衡heng-不平衡檢測法檢測流程,如圖2所示。
[page]

如圖2所示,U+和U-為被測線路的母線供電電壓,正常工作時兩母線間的電壓差Ux+y為440 V,且隨蓄電池內阻變化。Rx,Ry分別為被測線路的正母線絕緣電阻和負母線絕緣電阻。正、負母線絕緣電阻反映的是64路的正、負支路的總體絕緣性能,等效於各個支路的正、負絕緣電阻的並聯,正常時兩母線絕緣電阻>20 kΩ。Ux和Uy為正負母線對地電壓,大小隨正負母線的絕緣電阻變化,但兩母線電壓差恒定為Ux+y。為了檢測正負母線電壓Ux,Uy,Rx,Ry,係統采用了“平衡-不平衡檢測法”檢測母線電壓和母線絕緣電阻。計算公式如式(1)所示。
K1,K2接通,K3,K4,K5斷開時,(接入平衡電橋)
K1,K2,K3,K5接通,K4斷開時,(接入不平衡電橋)
K1,K2,K4,K5接通,K3斷開時,(接入不平衡電橋)
聯合式(1)~式(3)解方程可以求出

根據歐姆定律及分壓原理可以求出

2 係統硬件設計
直流接地檢測係統采用低功耗處理器MSP430F149為硬件核心,外圍電路可分為數據采集模塊、人機交互模塊、處理器模塊。數據采集模塊負責檢測64路支路的漏電流、母線電壓、母線絕緣電阻;人機交互模塊負責進行液晶顯示和鍵盤輸入;處理器模塊負責協調整個係統的數據處理,數據存儲,人機交互等。具體的硬件結構框圖,如圖3所示。

正負母線電壓檢測。正母線、負母線、地線經過“平衡-不平衡”檢測電橋後,由電位器對檢測點A的de電dian壓ya進jin行xing分fen壓ya,得de到dao便bian於yu采cai集ji的de低di壓ya直zhi流liu信xin號hao。正zheng負fu母mu線xian相xiang對dui於yu地di的de電dian壓ya超chao過guo了le人ren體ti的de安an全quan電dian壓ya,為wei了le減jian少shao處chu理li器qi與yu檢jian測ce電dian橋qiao部bu分fen的de連lian接jie,係xi統tong采cai用yong壓ya頻pin轉zhuan換huan器qi對dui分fen壓ya後hou的de信xin號hao進jin行xing采cai集ji。由you於yu采cai用yong了le壓ya頻pin轉zhuan換huan器qi,隻zhi需xu要yao一yi根gen信xin號hao線xian,一yi個ge光guang電dian耦ou合he器qi件jian就jiu能neng夠gou實shi現xian母mu線xian電dian壓ya的de檢jian測ce,提ti高gao了le係xi統tong的de可ke靠kao性xing和he穩wen定ding性xing,簡jian化hua了le係xi統tong設she計ji。經jing過guo分fen壓ya後hou的de低di壓ya直zhi流liu信xin號hao由you電dian壓ya/頻率變換器AD7740轉zhuan換huan成cheng頻pin率lv隨sui輸shu入ru電dian壓ya成cheng線xian性xing關guan係xi的de方fang波bo信xin號hao。該gai方fang波bo信xin號hao經jing過guo光guang耦ou隔ge離li再zai送song處chu理li器qi,避bi免mian母mu線xian的de高gao壓ya對dui操cao作zuo人ren員yuan造zao成cheng傷shang害hai。處chu理li器qi對dui方fang波bo信xin號hao測ce頻pin,並bing換huan算suan成cheng檢jian測ce點dianA對應的電壓,最後根據3次測得的A點電壓及網絡結構計算出母線電壓和母線絕緣電阻。
64路支路漏電流檢。非接觸式漏電流傳感器送過來的直流感應電壓經過8個8選1模擬開關(CD4097)選擇,形成8路直流電壓信號。為了降低ADC芯片輸入阻抗對測量精度的影響,用高輸入阻抗的運放對該電壓信號進行射隨緩衝後送到A/D轉換器TLC2543的8個模擬信號輸入端。A-DC芯片內部自動進行通道切換,循環采集8個輸入端的模擬信號,采集到的數據通過SPI串行通信總線送處理器MSP430F149。
人機交互模塊分為LCD顯示和矩陣鍵盤。LCD也為串行SPI接口,與ADC芯片共用一個SPI接口,通過I/O口片選區分。LCD主要用於循環顯示當前的正負母線電壓,正負母線絕緣電阻,當前的時間,絕緣電阻異常的支路號。鍵盤采用4個I/O接口對2×2的矩陣鍵盤進行掃描,用於輸入絕緣電阻報警的上下限。母線電壓報警的上下限,選擇需要查看的存儲數據。
處理器模塊分為數據存儲,實時日曆鍾,係統複位,係統供電,JTAG調tiao試shi接jie口kou等deng。當dang係xi統tong的de母mu線xian電dian壓ya或huo者zhe絕jue緣yuan電dian阻zu異yi常chang時shi,儀yi器qi將jiang會hui自zi動dong記ji錄lu當dang前qian的de母mu線xian電dian壓ya,母mu線xian絕jue緣yuan電dian阻zu,異yi常chang的de支zhi路lu號hao和he當dang前qian的de故gu障zhang發fa生sheng日ri期qi,並bing將jiang其qi存cun儲chu到daoEEPROM中,以便日後查詢使用。實時日曆鍾芯片用於提供發生故障異常的時間記錄來源,並可供日常顯示。
3 係統軟件設計
本係統采用了MSP430F149處理器作為係統控製中心,在軟件設計中利用了該單片機數據存儲器大的優點,便於對64路漏電流傳感器采集的數據、母線電壓和母線絕緣電阻數據進行存儲和處理。主程序中首先完成的是各個模塊的初始化,主要包括液晶顯示器初始化、模擬切換開關初始化、模mo數shu轉zhuan換huan器qi初chu始shi化hua。為wei了le確que保bao係xi統tong工gong作zuo的de可ke靠kao性xing,係xi統tong在zai上shang電dian後hou首shou先xian進jin行xing自zi檢jian,保bao證zheng係xi統tong中zhong的de各ge個ge部bu分fen硬ying件jian電dian路lu正zheng常chang後hou,將jiang會hui自zi動dong進jin入ru直zhi流liu接jie地di檢jian測ce狀zhuang態tai,否fou則ze顯xian示shi自zi檢jian失shi敗bai信xin息xi提ti示shi操cao作zuo人ren員yuan。
整個程序的編寫均由C語言完成,在程序設計中,采用了結構化程序設計方法,使各個模塊程序相對獨立,便於程序代碼的維護、移植和升級。同時,這樣分離式的程序設計,降低了代碼的調試難度,縮短了調試周期。將與接地故障信息(如母線電壓,母線絕緣電阻,支路絕緣電阻,接地支路號等)密切相關的數據放在一個結構體裏,便於掉電存儲與回放顯示。係統的主程序流程圖,如圖4所示。

為了達到好的測試效果,A/D采集必須達到一定的測試精度,圖5是A/D采集的實測數據和測試誤差分析曲線,從圖中可以看出,A/D采集的誤差約20 mV,屬於正常範圍,因為係統采用8位A/D,5 V基準電壓。這個采樣精度滿足整體的設計要求。
[page]

在實驗環境中,采用110 V的穩壓直流電源模擬蓄電池直接供電,可知U1=110 V,采用一組電阻分別關聯在正負母線與地線之間,模擬正負母線的絕緣電阻,其中1~4組模擬正負母線均接地的情況,第5組模擬無母線接地的情況,第6、7組模擬負母線接地的情況,第8、9組模擬正母線接地的情況,測試結果如表1所示。

由1~5組可知,當絕緣電阻大時,測試相對誤差略有增大,這是因為采樣A/D的輸入阻抗較小,因此當測試電阻較大時造成誤差相對大些。另外,當負母線的絕緣電阻<30 kΩ、負母線絕緣電阻正常時,前者的測量效果差些。因為此時實際測得的電壓U2和U3都較小,A/Dcaiyangdexiangduiwuchadayixie,suoyidianzudewuchayedayixie。buguoyuanhaoyupinghengqiaofawufafaxianliangdianjiedideqingkuang,keyizhengquefaxianjiedi。jueyuanjiancedehuanjingxia,zhiyaojueyuandianzu>20 kΩ即認為絕緣良好,因此對於絕緣檢測的應用環境,本係統能夠比較精確的測試各路的絕緣電阻,完全滿足應用環境的需要。
5 結束語
文(wen)中(zhong)所(suo)介(jie)紹(shao)的(de)直(zhi)流(liu)接(jie)地(di)檢(jian)測(ce)係(xi)統(tong)和(he)絕(jue)緣(yuan)的(de)電(dian)阻(zu)檢(jian)測(ce)技(ji)術(shu),不(bu)論(lun)何(he)種(zhong)形(xing)式(shi)的(de)絕(jue)緣(yuan)電(dian)阻(zu),均(jun)能(neng)得(de)出(chu)相(xiang)對(dui)精(jing)確(que)的(de)測(ce)試(shi)結(jie)果(guo),很(hen)好(hao)地(di)解(jie)決(jue)了(le)傳(chuan)統(tong)的(de)平(ping)衡(heng)電(dian)橋(qiao)檢(jian)測(ce)法(fa)及(ji)雙(shuang)頻(pin)探(tan)測(ce)法(fa)所(suo)存(cun)在(zai)的(de)問(wen)題(ti)。這(zhe)一(yi)方(fang)案(an)不(bu)僅(jin)可(ke)應(ying)用(yong)於(yu)發(fa)電(dian)廠(chang)、變電站的直流係統絕緣監測,同樣可應用於鐵道部門、電信部門的直流係統絕緣監測和接地檢測。
特別推薦
- 噪聲中提取真值!瑞盟科技推出MSA2240電流檢測芯片賦能多元高端測量場景
- 10MHz高頻運行!氮矽科技發布集成驅動GaN芯片,助力電源能效再攀新高
- 失真度僅0.002%!力芯微推出超低內阻、超低失真4PST模擬開關
- 一“芯”雙電!聖邦微電子發布雙輸出電源芯片,簡化AFE與音頻設計
- 一機適配萬端:金升陽推出1200W可編程電源,賦能高端裝備製造
技術文章更多>>
- 2026藍牙亞洲大會暨展覽在深啟幕
- 新市場與新場景推動嵌入式係統研發走向統一開發平台
- 維智捷發布中國願景
- 2秒啟動係統 • 資源受限下HMI最優解,米爾RK3506開發板× LVGL Demo演示
- H橋降壓-升壓電路中的交替控製與帶寬優化
技術白皮書下載更多>>
- 車規與基於V2X的車輛協同主動避撞技術展望
- 數字隔離助力新能源汽車安全隔離的新挑戰
- 汽車模塊拋負載的解決方案
- 車用連接器的安全創新應用
- Melexis Actuators Business Unit
- Position / Current Sensors - Triaxis Hall
熱門搜索
接口IC
介質電容
介質諧振器
金屬膜電阻
晶體濾波器
晶體諧振器
晶體振蕩器
晶閘管
精密電阻
精密工具
景佑能源
聚合物電容
君耀電子
開發工具
開關
開關電源
開關電源電路
開關二極管
開關三極管
科通
可變電容
可調電感
可控矽
空心線圈
控製變壓器
控製模塊
藍牙
藍牙4.0
藍牙模塊
浪湧保護器




