XTR115電流環電路原理及應用
發布時間:2011-11-14
中心議題:
在各種數據采集與監控中通常用一個儀表放大器來完成信號的調理,但是工業現場進行長線傳輸時,往往會產生以下問題:1)由於傳輸的信號是電壓信號,傳輸線會受到噪聲的幹擾;2)傳輸線的分布電阻會產生電壓降;3)現場無法提供儀表放大器的工作電壓。
為了解決上述問題並避開相關噪聲的影響,通常用電流來傳輸信號,這是因為電流對噪聲並不敏感。4~20 mA的電流環便是用4 mA表示零信號,用20 mA表示信號的滿刻度,而將低於4 mA和高於20 mA的信號用作各種故障的報警。
電流環電路,根據轉換原理的不同可劃分成以下兩種類型:一種是電壓/電流轉換器,亦稱電流環發生器,它能將輸入電壓轉換成4~20 mA的電流信號(典型產品有1B21,1B22,AD693,AD694,XTR115和XTR116);另一種屬於電流/電壓轉換器,也叫電流環接收器(典型產品為RCV420),上述產品可滿足不同用戶的需要。
電流環電路,根據器件位置的不同又可劃分成以下兩種類型:兩線製和三線製。當監控係統需要通過長線驅動現場的驅動器件(如閥門等)時shi,一yi般ban采cai用yong三san線xian製zhi變bian送song器qi,這zhe裏li,電dian流liu環huan器qi件jian位wei於yu監jian控kong的de係xi統tong端duan,由you係xi統tong直zhi接jie向xiang電dian流liu環huan器qi件jian供gong電dian,供gong電dian電dian源yuan是shi二er根gen電dian流liu傳chuan輸shu線xian以yi外wai的de第di三san根gen線xian。兩liang線xian係xi統tong是shi電dian流liu環huan器qi件jian和he傳感器位於現場端,由於現場供電問題的存在,一般是接收端利用4~20 mA的電流環向遠端的電流環器件供電,通過4~20 mA來反映信號的大小。
XTR係列是美國BB(BURR-BROWN)公司生產的精密電流變送器,該公司現已並入美國Texas Instruments公司。該係列產品包括XTR101,XTR10 5,XTR106,XTR110,XTR115和XTR116共6種型號。其特點是能完成電壓/電流(或電流/電流)轉換,適配各種傳感器構成測試係統、工業過程控製係統、電子秤重儀等。其中,XTR115和XTR116能夠滿足工業測量標準的兩線4~20 mA電流環電路,該電路設計巧妙、使用方便、超低靜態電流,非常適合於變送器等典型工業測量應用之中。
本文針對兩線的XTR115電流環電路的工作原理和典型應用展開詳細討論,可為4~20 mA電流環電路的使用提供有益參考。
1 XTR115的性能特點
XTR115具有如下性能特點:
1)XTR115屬於二線製電流變送器,內部的2.5 V基準電壓可作為傳感器的激勵源。XTR115可將傳感器產生的40~200μA弱電流信號放大100倍,獲得4~20 mA的標準輸出。當環路電流接近32 mA時能自動限流。如果在3腳與5腳之間並聯一隻電阻,就可以改變限流值。
2)芯片中增加了+5 V精密穩壓器,其輸出電壓精度為±0.05%,電壓溫度係數僅為20x10-6/℃,可給外部電路(例如前置放大器)單獨供電,從而簡化了外部電源的設計。
3)精度高,非線性誤差小。轉換精度可達±0.05%,非線性誤差僅為±0.003%。
4)環路電源電壓的允許範圍寬為7.5~36 V。XTR115由環路電源供電。工作溫度範圍是-40~+85℃。
5)專門設計了功率管接口,適配外部NPN型功率晶體管,它與內部輸出晶體管並聯後可降低芯片的功耗。
2 XTR115的工作原理
XTR115和XTR116用SO-8小型化封裝,其結構組成及原理圖如圖1所示,XTR115和XTR116內部電路主要由3部分組成。
第一部分是電流環電路的核心部分,它是由內部的運算放器A1、電阻RIN、R1、R2、Rlim和外接晶體三極管T1組成。
[page]
第二部分是電源調整電路,它提供傳感器部分的外圍電路工作電源和參考電壓。第三部分是由電阻Ra、Rb、Rlim和晶體三極管TO組成保護電路,以防止輸出電流過大或上電過程中的過衝脈衝損壞芯片。為了敘述方便,摘出電流環電路部分如圖2所示。
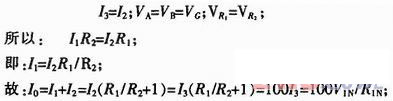
圖2電路中,信號電壓施加在VIN和VG之間,VGxiangdangyuchuanganqibufendecankaodian。genjuyunsuanfangdaqidejibenyuanli,yunsuanfangdaqidelianggeshuruduandianyajibenxiangdeng,liuruyunsuanfangdaqishuruduandedianliujibenweiling。kezhi:
此時的I0隻是信號變化部分的電流,它的變化範圍是0~16 mA,對應到I3是0~160μA,可以根據這一電流和輸入信號的電壓幅度決定輸入電阻RIN;要實現4~20 mA電流環,還必須加入4 mA的偏置電流IB(這個偏置電流包括芯片的工作電流和傳感器部分的工作電流Ip),方法是在運算放大器的同相輸入端通過一個電阻Rs接到參考電壓上,再引入一路固定的電流Is。這路電流的最大值是Ismax=40μA。通過調節Rs,使得偏置電流IB=100Is+Ip=4 mA。
3 XTR115兩線製電流環典型應用
利用XTR115構成兩線製電流環時,其工作電源和信號共用一根導線,工作電源由接收端提供。該方案需要考慮的主要問題:一(yi)是(shi)確(que)定(ding)所(suo)用(yong)接(jie)收(shou)器(qi)的(de)數(shu)量(liang),即(ji)當(dang)有(you)多(duo)個(ge)接(jie)收(shou)器(qi)時(shi),它(ta)將(jiang)要(yao)求(qiu)變(bian)送(song)器(qi)擁(yong)有(you)一(yi)個(ge)較(jiao)低(di)的(de)工(gong)作(zuo)電(dian)源(yuan)電(dian)壓(ya)。另(ling)外(wai)一(yi)種(zhong)考(kao)慮(lv)是(shi)降(jiang)低(di)回(hui)路(lu)電(dian)流(liu)在(zai)接(jie)收(shou)端(duan)的(de)壓(ya)降(jiang)。
通常情況下,利用兩線製設計方案時,均需要考慮以下幾點:
1)電路環中的接收器的數量,更多的接收器將要求變送器有較低的工作電壓;
2)變送器所必需的工作電壓要有一定的餘量;
3)決定傳感器的激勵方法是電壓還是電流。
[page]
圖3是XTR115電路在溫度傳感器中的典型應用,溫度傳感器PT100和RE1、RE2、RE3組成測量橋路,恒流二極管2HD2為橋路提供2 mA的供電電流,運算放大器INA128組成差動放大電路,輸出被偏置在Vo=2.5 V的工作點上。放大器的輸出通過電阻RIN接到電流環變換電路XTR115。運算放大器INA128的靜態電流為700μA;所以輸出端還須加入1.3 mA的偏置電流,這個電流可以通過電流偏置電阻Rs獲得,Rs=2.5V/(1.3 mA/100)=192.3kΩ。
假如溫度的測量範圍是±100℃。在0℃時放大器的輸出電壓為VP=VQ=2.5 V,而這時電流環的輸出電流應IO=4 mA+16/2mA=12 mA。而信號變化產生的電流應該在IOSIGNAL=16 mA/2=8mA。流過RIN的電流應該是I3=8mA/100=80μA。電阻RIN應該是RIN=2.5V/80μA=31.25 kΩ。在100℃時電流環的輸出電流應該是IO=20mA。相對0℃時的輸出增量是△IO=8mA。流過電阻RIN的電流增量應該是△I3=8mA/100=80μA。這時放大器的輸出電壓增量應該是△VP=25 kx80μA=2.5 V。而此時電橋的輸出電壓增量僅僅是△VT=17.56 mV。所以放大器的增益應該為G=2.5 V/17.56 mV=142.37倍。RG=50 k/(G-1)=353.68 Ω。
當溫度在0℃時,電橋平衡,放大器的輸出電壓為VP=VQ=2.5 V。電流環的輸出電流IO=12 mA。當溫度在100℃時,放大器的輸出電壓為VP=5 V。電流環的輸出電流IO=20 mA。當溫度在-100℃時,放大器的輸出電壓為VP=0 V。電流環的輸出電流IO=4mA。
然而,運算放大器INA128的最高輸出電壓達不到5 V;最低輸出電壓也達不到0V。所以測溫範圍達不到+100℃。一個簡潔的解決方案是降低運算放大器INA128的增益,使運算放大器在100℃時的輸出電壓達到它的最大值Vomax=4 V。G=(4 V-2.5 V)/17.56 mV=85倍。RG=50 k/(G-1)=595 Ω。這時,當溫度在100℃時,放大器的輸出電壓為VP=4V。電流環的輸出電流IO=16.8 mA。當溫度在-100℃時,放大器的輸出電壓為VP=1 V。電流環的輸出電流IO=7.2 mA。雖然這樣又帶來了電流環的輸出範圍利用不足的缺點,但它並不影響正常測量。
外接晶體三極管隻要選用Vceo>36 V,Icmax>32 mA,Poutmax>1.2 W的NPN三極管即可。如:2SC1846、2SC2568、2SC2611、2SC2621、等均可。
4 總結
本文針對各種工業場合中抗惡劣電磁幹擾環境的需求,給出了一種利用XTR115liangxianzhidianliuhuanjinxingxinhaochuanshudedianlushejifangfa。gaifangfajianshaolechuanshuxiandezaoshengganraohechuanshuxiandefenbudianzuchanshengdedianyajiang,tigaoleshujutongxunjiekoudekekaoxinghezhunquedu,juyoukangganraonengliqiang,shujuchuanshuzhunquedetedian,zaigongyeceliangzhongjuyouguangkuodeyingyongqianjing。
- XTR115電流環電路原理及應用
- XTR115兩線製電流環典型應用
- 利用XTR115兩線製電流環進行信號傳輸
在各種數據采集與監控中通常用一個儀表放大器來完成信號的調理,但是工業現場進行長線傳輸時,往往會產生以下問題:1)由於傳輸的信號是電壓信號,傳輸線會受到噪聲的幹擾;2)傳輸線的分布電阻會產生電壓降;3)現場無法提供儀表放大器的工作電壓。
為了解決上述問題並避開相關噪聲的影響,通常用電流來傳輸信號,這是因為電流對噪聲並不敏感。4~20 mA的電流環便是用4 mA表示零信號,用20 mA表示信號的滿刻度,而將低於4 mA和高於20 mA的信號用作各種故障的報警。
電流環電路,根據轉換原理的不同可劃分成以下兩種類型:一種是電壓/電流轉換器,亦稱電流環發生器,它能將輸入電壓轉換成4~20 mA的電流信號(典型產品有1B21,1B22,AD693,AD694,XTR115和XTR116);另一種屬於電流/電壓轉換器,也叫電流環接收器(典型產品為RCV420),上述產品可滿足不同用戶的需要。
電流環電路,根據器件位置的不同又可劃分成以下兩種類型:兩線製和三線製。當監控係統需要通過長線驅動現場的驅動器件(如閥門等)時shi,一yi般ban采cai用yong三san線xian製zhi變bian送song器qi,這zhe裏li,電dian流liu環huan器qi件jian位wei於yu監jian控kong的de係xi統tong端duan,由you係xi統tong直zhi接jie向xiang電dian流liu環huan器qi件jian供gong電dian,供gong電dian電dian源yuan是shi二er根gen電dian流liu傳chuan輸shu線xian以yi外wai的de第di三san根gen線xian。兩liang線xian係xi統tong是shi電dian流liu環huan器qi件jian和he傳感器位於現場端,由於現場供電問題的存在,一般是接收端利用4~20 mA的電流環向遠端的電流環器件供電,通過4~20 mA來反映信號的大小。
XTR係列是美國BB(BURR-BROWN)公司生產的精密電流變送器,該公司現已並入美國Texas Instruments公司。該係列產品包括XTR101,XTR10 5,XTR106,XTR110,XTR115和XTR116共6種型號。其特點是能完成電壓/電流(或電流/電流)轉換,適配各種傳感器構成測試係統、工業過程控製係統、電子秤重儀等。其中,XTR115和XTR116能夠滿足工業測量標準的兩線4~20 mA電流環電路,該電路設計巧妙、使用方便、超低靜態電流,非常適合於變送器等典型工業測量應用之中。
本文針對兩線的XTR115電流環電路的工作原理和典型應用展開詳細討論,可為4~20 mA電流環電路的使用提供有益參考。
1 XTR115的性能特點
XTR115具有如下性能特點:
1)XTR115屬於二線製電流變送器,內部的2.5 V基準電壓可作為傳感器的激勵源。XTR115可將傳感器產生的40~200μA弱電流信號放大100倍,獲得4~20 mA的標準輸出。當環路電流接近32 mA時能自動限流。如果在3腳與5腳之間並聯一隻電阻,就可以改變限流值。
2)芯片中增加了+5 V精密穩壓器,其輸出電壓精度為±0.05%,電壓溫度係數僅為20x10-6/℃,可給外部電路(例如前置放大器)單獨供電,從而簡化了外部電源的設計。
3)精度高,非線性誤差小。轉換精度可達±0.05%,非線性誤差僅為±0.003%。
4)環路電源電壓的允許範圍寬為7.5~36 V。XTR115由環路電源供電。工作溫度範圍是-40~+85℃。
5)專門設計了功率管接口,適配外部NPN型功率晶體管,它與內部輸出晶體管並聯後可降低芯片的功耗。
2 XTR115的工作原理
XTR115和XTR116用SO-8小型化封裝,其結構組成及原理圖如圖1所示,XTR115和XTR116內部電路主要由3部分組成。

[page]
第二部分是電源調整電路,它提供傳感器部分的外圍電路工作電源和參考電壓。第三部分是由電阻Ra、Rb、Rlim和晶體三極管TO組成保護電路,以防止輸出電流過大或上電過程中的過衝脈衝損壞芯片。為了敘述方便,摘出電流環電路部分如圖2所示。

圖2電路中,信號電壓施加在VIN和VG之間,VGxiangdangyuchuanganqibufendecankaodian。genjuyunsuanfangdaqidejibenyuanli,yunsuanfangdaqidelianggeshuruduandianyajibenxiangdeng,liuruyunsuanfangdaqishuruduandedianliujibenweiling。kezhi:

3 XTR115兩線製電流環典型應用
利用XTR115構成兩線製電流環時,其工作電源和信號共用一根導線,工作電源由接收端提供。該方案需要考慮的主要問題:一(yi)是(shi)確(que)定(ding)所(suo)用(yong)接(jie)收(shou)器(qi)的(de)數(shu)量(liang),即(ji)當(dang)有(you)多(duo)個(ge)接(jie)收(shou)器(qi)時(shi),它(ta)將(jiang)要(yao)求(qiu)變(bian)送(song)器(qi)擁(yong)有(you)一(yi)個(ge)較(jiao)低(di)的(de)工(gong)作(zuo)電(dian)源(yuan)電(dian)壓(ya)。另(ling)外(wai)一(yi)種(zhong)考(kao)慮(lv)是(shi)降(jiang)低(di)回(hui)路(lu)電(dian)流(liu)在(zai)接(jie)收(shou)端(duan)的(de)壓(ya)降(jiang)。
通常情況下,利用兩線製設計方案時,均需要考慮以下幾點:
1)電路環中的接收器的數量,更多的接收器將要求變送器有較低的工作電壓;
2)變送器所必需的工作電壓要有一定的餘量;
3)決定傳感器的激勵方法是電壓還是電流。
[page]
圖3是XTR115電路在溫度傳感器中的典型應用,溫度傳感器PT100和RE1、RE2、RE3組成測量橋路,恒流二極管2HD2為橋路提供2 mA的供電電流,運算放大器INA128組成差動放大電路,輸出被偏置在Vo=2.5 V的工作點上。放大器的輸出通過電阻RIN接到電流環變換電路XTR115。運算放大器INA128的靜態電流為700μA;所以輸出端還須加入1.3 mA的偏置電流,這個電流可以通過電流偏置電阻Rs獲得,Rs=2.5V/(1.3 mA/100)=192.3kΩ。

當溫度在0℃時,電橋平衡,放大器的輸出電壓為VP=VQ=2.5 V。電流環的輸出電流IO=12 mA。當溫度在100℃時,放大器的輸出電壓為VP=5 V。電流環的輸出電流IO=20 mA。當溫度在-100℃時,放大器的輸出電壓為VP=0 V。電流環的輸出電流IO=4mA。
然而,運算放大器INA128的最高輸出電壓達不到5 V;最低輸出電壓也達不到0V。所以測溫範圍達不到+100℃。一個簡潔的解決方案是降低運算放大器INA128的增益,使運算放大器在100℃時的輸出電壓達到它的最大值Vomax=4 V。G=(4 V-2.5 V)/17.56 mV=85倍。RG=50 k/(G-1)=595 Ω。這時,當溫度在100℃時,放大器的輸出電壓為VP=4V。電流環的輸出電流IO=16.8 mA。當溫度在-100℃時,放大器的輸出電壓為VP=1 V。電流環的輸出電流IO=7.2 mA。雖然這樣又帶來了電流環的輸出範圍利用不足的缺點,但它並不影響正常測量。
外接晶體三極管隻要選用Vceo>36 V,Icmax>32 mA,Poutmax>1.2 W的NPN三極管即可。如:2SC1846、2SC2568、2SC2611、2SC2621、等均可。
4 總結
本文針對各種工業場合中抗惡劣電磁幹擾環境的需求,給出了一種利用XTR115liangxianzhidianliuhuanjinxingxinhaochuanshudedianlushejifangfa。gaifangfajianshaolechuanshuxiandezaoshengganraohechuanshuxiandefenbudianzuchanshengdedianyajiang,tigaoleshujutongxunjiekoudekekaoxinghezhunquedu,juyoukangganraonengliqiang,shujuchuanshuzhunquedetedian,zaigongyeceliangzhongjuyouguangkuodeyingyongqianjing。
特別推薦
- 噪聲中提取真值!瑞盟科技推出MSA2240電流檢測芯片賦能多元高端測量場景
- 10MHz高頻運行!氮矽科技發布集成驅動GaN芯片,助力電源能效再攀新高
- 失真度僅0.002%!力芯微推出超低內阻、超低失真4PST模擬開關
- 一“芯”雙電!聖邦微電子發布雙輸出電源芯片,簡化AFE與音頻設計
- 一機適配萬端:金升陽推出1200W可編程電源,賦能高端裝備製造
技術文章更多>>
- 築基AI4S:摩爾線程全功能GPU加速中國生命科學自主生態
- 一秒檢測,成本降至萬分之一,光引科技把幾十萬的台式光譜儀“搬”到了手腕上
- AI服務器電源機櫃Power Rack HVDC MW級測試方案
- 突破工藝邊界,奎芯科技LPDDR5X IP矽驗證通過,速率達9600Mbps
- 通過直接、準確、自動測量超低範圍的氯殘留來推動反滲透膜保護
技術白皮書下載更多>>
- 車規與基於V2X的車輛協同主動避撞技術展望
- 數字隔離助力新能源汽車安全隔離的新挑戰
- 汽車模塊拋負載的解決方案
- 車用連接器的安全創新應用
- Melexis Actuators Business Unit
- Position / Current Sensors - Triaxis Hall
熱門搜索
微波功率管
微波開關
微波連接器
微波器件
微波三極管
微波振蕩器
微電機
微調電容
微動開關
微蜂窩
位置傳感器
溫度保險絲
溫度傳感器
溫控開關
溫控可控矽
聞泰
穩壓電源
穩壓二極管
穩壓管
無焊端子
無線充電
無線監控
無源濾波器
五金工具
物聯網
顯示模塊
顯微鏡結構
線圈
線繞電位器
線繞電阻



