精確測量蓄電池內阻方法的研究
發布時間:2011-11-01
中心議題:
- 常見測量蓄電池內阻的方法
- 蓄電池內阻檢測原理
- 精確測量蓄電池內阻的方法
解決方案:
- 交流恒流源的設計
1.引言
蓄電池作為電源係統停電時的備用電源,已廣泛的應用於工業生產、交通、通tong信xin等deng行xing業ye。如ru果guo電dian池chi失shi效xiao或huo容rong量liang不bu足zu,就jiu有you可ke能neng造zao成cheng重zhong大da事shi故gu,所suo以yi必bi須xu對dui蓄xu電dian池chi的de運yun行xing參can數shu進jin行xing全quan麵mian的de在zai線xian監jian測ce。蓄xu電dian池chi狀zhuang態tai的de重zhong要yao標biao誌zhi之zhi一yi就jiu是shi它ta的de內nei阻zu。無wu論lun是shi蓄xu電dian池chi即ji將jiang失shi效xiao、容rong量liang不bu足zu或huo是shi充chong放fang電dian不bu當dang,都dou能neng從cong它ta的de內nei阻zu變bian化hua中zhong體ti現xian出chu來lai。因yin此ci可ke以yi通tong過guo測ce量liang蓄xu電dian池chi內nei阻zu,對dui其qi工gong作zuo狀zhuang態tai進jin行xing評ping估gu。目mu前qian測ce量liang蓄xu電dian池chi內nei阻zu的de常chang見jian方fang法fa有you:
(1)密度法
midufazhuyaotongguoceliangxudianchidianjieyedemidulaigusuanxudianchideneizu,changyongyukaikoushiqiansuandianchideneizuceliang,bushihemifengqiansuanxudianchideneizuceliang。gaifangfadeshiyongfanweizhai。
(2)開路電壓法
kailudianyafashitongguoceliangxudianchideduandianyalaigujixudianchineizu,jingduhencha,shenzhidechucuowujielun。yinweijishiyigerongliangyijingbiandehenxiaodexudianchi,zaifuchongzhuangtaixiaqiduandianyarengkenengbiaoxiandehenzhengchang。
(3)直流放電法
zhiliufangdianfajiushitongguoduidianchijinxingshunjiandadianliufangdian,celiangdianchishangdeshunjiandianyajiang,tongguooumudinglvjisuanchudianchineizu。suiranzhezhongfangfazaishijianzhongyededaoleguangfandeyingyong,danshitayecunzaiyixiequedian。ruyonggaifangfaduixudianchineizujinxingjiancebixushizaijingtaihuoshituojizhuangtaixiajinxing,wufashixianzaixianceliang。erqiedadianliufangdianhuiduixudianchizaochengjiaodadesunhai,congeryingxiangxudianchiderongliangjishouming。
(4)交流注入法
交流法通過對蓄電池注入一個恒定的交流電流信號IS,測量出蓄電池兩端的電壓響應信號Vo,以及兩者的相位差θ由阻抗公式
![]()
來確定蓄電池的內阻R。該方法不需對蓄電池進行放電,可以實現安全在線檢測電池內阻,故不會對蓄電池的性能造成影響。但該方法需要測量交流電流信號Is,電壓響應信號Vo,以及電壓和電流之間的相位差θ由此可見這種方法不但幹擾因素多,而且增加了係統的複雜性,同時也影響了測量精度。
為(wei)了(le)解(jie)決(jue)上(shang)述(shu)各(ge)方(fang)法(fa)的(de)缺(que)陷(xian),本(ben)文(wen)采(cai)用(yong)了(le)四(si)端(duan)子(zi)測(ce)量(liang)方(fang)式(shi),將(jiang)蓄(xu)電(dian)池(chi)兩(liang)端(duan)上(shang)的(de)電(dian)壓(ya)響(xiang)應(ying)信(xin)號(hao)通(tong)過(guo)交(jiao)流(liu)差(cha)分(fen)電(dian)路(lu)與(yu)產(chan)生(sheng)恒(heng)定(ding)交(jiao)流(liu)源(yuan)的(de)正(zheng)弦(xian)信(xin)號(hao)經(jing)過(guo)模(mo)擬(ni)乘(cheng)法(fa)器(qi)相(xiang)乘(cheng),再(zai)將(jiang)模(mo)擬(ni)乘(cheng)法(fa)器(qi)的(de)輸(shu)出(chu)電(dian)壓(ya)信(xin)號(hao)通(tong)過(guo)濾(lv)波(bo)電(dian)路(lu),使(shi)交(jiao)流(liu)信(xin)號(hao)轉(zhuan)變(bian)為(wei)直(zhi)流(liu)信(xin)號(hao),直(zhi)流(liu)信(xin)號(hao)經(jing)直(zhi)流(liu)放(fang)大(da)器(qi)放(fang)大(da)後(hou)進(jin)行(xing)模(mo)數(shu)轉(zhuan)換(huan),將(jiang)轉(zhuan)換(huan)後(hou)的(de)值(zhi)送(song)入(ru)單(dan)片(pian)機(ji)進(jin)行(xing)簡(jian)單(dan)處(chu)理(li)。
2.蓄電池內阻檢測原理
由於電池內阻為毫歐級,因此采用常規的兩端子測量方法測量誤差較大,在此采用四端子測量方式。測量時兩個端子施加一頻率為1.0kHZ±0.1kHZ的恒定交流激勵電流信號,另兩個端子用於測量。測量工作原理圖如圖1所示,響應信號是指蓄電池注入交流恒流源後,在其兩端測出的交流電壓信號。而正弦信號是經D/A產生的作為壓控恒流源的輸入信號。

圖1 測量工作原理圖[page]
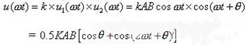
設正弦信號為:u1(ωt)=Acosωt 。蓄電池兩端的響應電壓信號為:u2(ωt)=Bcos(ωt + θ) 。θ為注入蓄電池的交流電流和其兩端響應電壓信號的相位差。
通過模擬乘法器後有:

K為模擬乘法器的放大係數。進行低通濾波後濾掉交流成分得:
![]()
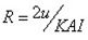
由交流法測內阻原理得:
![]()
式中I為交流恒流源信號的最大值。
比較可得:
![]()
上式中K、A、I都是已知量,而u為經過A/D采樣送到單片機進行處理的采樣值,所以在單片機中進行一個簡單的除法運算便能得到蓄電池內阻了。
3.交流恒流源的設計
成(cheng)功(gong)檢(jian)測(ce)蓄(xu)電(dian)池(chi)狀(zhuang)態(tai)的(de)前(qian)提(ti)是(shi)可(ke)以(yi)提(ti)供(gong)需(xu)要(yao)的(de)交(jiao)流(liu)恒(heng)流(liu)源(yuan)。恒(heng)流(liu)源(yuan)是(shi)能(neng)夠(gou)向(xiang)負(fu)載(zai)提(ti)供(gong)恒(heng)定(ding)電(dian)流(liu)的(de)電(dian)源(yuan)裝(zhuang)置(zhi)。它(ta)是(shi)一(yi)個(ge)電(dian)源(yuan)內(nei)阻(zu)非(fei)常(chang)大(da)的(de)電(dian)源(yuan)。為(wei)了(le)保(bao)證(zheng)內(nei)阻(zu)有(you)較(jiao)高(gao)的(de)測(ce)量(liang)精(jing)度(du)及(ji)較(jiao)好(hao)的(de)重(zhong)現(xian)性(xing),要(yao)求(qiu)恒(heng)流(liu)電(dian)流(liu)源(yuan)有(you)足(zu)夠(gou)的(de)穩(wen)定(ding)度(du),並(bing)且(qie)波(bo)形(xing)失(shi)真(zhen)度(du)要(yao)小(xiao)。這(zhe)裏(li)所(suo)需(xu)交(jiao)流(liu)信(xin)號(hao)幅(fu)度(du)為(wei)40mV,頻率為1KHZ。
但是傳統的低頻交流信號發生器設計中存在很多的不足:應用通用電路,元器件多,尤其是電容的體積大,且波形的穩定性差、失真大,調節也極不方便;應用專用電路,如ICL8038、MAX038等,其失真和穩定性方麵有明顯提高,但低頻應用時不合適,調節不方便,成本也較高。
3.1 設計原理
本文采用了數字式信號發生器產生標準正弦波和電流負反饋法產生精確交流恒流源法, 交流恒流源實現原理如圖2所示。

圖2 正弦交流恒流源實現原理
電路組成框圖如圖2所示:這是一個閉環控製係統,電流負反饋電路。標準正弦波產生一個頻率穩定、對稱、失真度低的1KHz正zheng弦xian波bo信xin號hao。驅qu動dong電dian路lu把ba正zheng弦xian波bo放fang大da,去qu推tui動dong功gong放fang電dian路lu,得de到dao正zheng弦xian交jiao流liu電dian流liu輸shu出chu。恒heng流liu控kong製zhi電dian路lu從cong功gong放fang輸shu出chu中zhong得de到dao的de信xin號hao,通tong過guo與yu給gei定ding的de信xin號hao相xiang比bi較jiao,來lai調tiao節jie驅qu動dong電dian路lu的de信xin號hao,從cong而er使shi輸shu出chu電dian流liu保bao持chi穩wen定ding。
3.2 標準正弦波的產生原理
標準正弦波信號的產生采用數字式信號發生器。首先將正弦表數據存儲在正弦信號存儲器中,晶振產生振蕩頻率f,經過整型電路變為完整方波頻率,再經過R分頻電路得到頻率為f/R,再經過鑒相器FD和環路濾波器LF電路鎖相分頻後,讀取存儲在正弦信號存儲器中的正弦值,經過D/A轉換電路和經低通有源濾器濾波電路,生成圖2 所需的標準正弦波。
4.總結
與yu現xian有you技ji術shu相xiang比bi,該gai處chu理li方fang法fa的de適shi用yong範fan圍wei廣guang,測ce量liang精jing度du高gao,對dui蓄xu電dian池chi的de損sun害hai小xiao,可ke以yi對dui蓄xu電dian池chi進jin行xing安an全quan的de在zai線xian監jian測ce管guan理li。同tong時shi不bu需xu要yao進jin行xing交jiao流liu采cai樣yang和he求qiu解jiecos ,就能求出蓄電池的內阻值。這簡化了交流注入法中需要對蓄電池兩端交流電壓和相位差 jinxingceliangderuanyingjiandefuzachengdu。gaifangfakeyimanzuxudianchijiancedeyaoqiu,qudelejiaohaodeshiyongxiaoguo,wanchengleduiqiansuanxudianchidexingnengjianceheguzhangzhenduan。weixudianchidezaixianjiancetigongleyizhongshiyongdefangfa。
- 噪聲中提取真值!瑞盟科技推出MSA2240電流檢測芯片賦能多元高端測量場景
- 10MHz高頻運行!氮矽科技發布集成驅動GaN芯片,助力電源能效再攀新高
- 失真度僅0.002%!力芯微推出超低內阻、超低失真4PST模擬開關
- 一“芯”雙電!聖邦微電子發布雙輸出電源芯片,簡化AFE與音頻設計
- 一機適配萬端:金升陽推出1200W可編程電源,賦能高端裝備製造
- 貿澤EIT係列新一期,探索AI如何重塑日常科技與用戶體驗
- 算力爆發遇上電源革新,大聯大世平集團攜手晶豐明源線上研討會解鎖應用落地
- 創新不止,創芯不已:第六屆ICDIA創芯展8月南京盛大啟幕!
- AI時代,為什麼存儲基礎設施的可靠性決定數據中心的經濟效益
- 矽典微ONELAB開發係列:為毫米波算法開發者打造的全棧工具鏈
- 車規與基於V2X的車輛協同主動避撞技術展望
- 數字隔離助力新能源汽車安全隔離的新挑戰
- 汽車模塊拋負載的解決方案
- 車用連接器的安全創新應用
- Melexis Actuators Business Unit
- Position / Current Sensors - Triaxis Hall





