電容電感測試儀的設計
發布時間:2011-10-31
中心議題:
1 測量原理
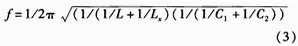
采用LC振蕩器的振蕩原理,LC振蕩器選擇L或是C參數為固定值。通過LC的組合,振蕩器起振,當測量電容時電感固定,測量電感時電容固定。通過LC振蕩器的頻率計算公式
其中,
,可以計算出待測的電容或電感數值。
2 電路工作原理
2.1 電路框圖設計
如圖1所示。框圖包括輸入切換部分、振蕩部分、分頻部分、單片機部分、顯示部分和鍵盤部分。此係統由STC89C51danpianjizuoweikongzhihexin,shuruqiehuanbufencaiyongshuangdaoshuangzhijidianqiwanchengdaicedianronghuodiangandexianluqiehuan,zhendangdianlugongzuozaifangdaxiezhenzhuangtai,pinlvyougaopinguan9018的集電極輸出,由於頻率較高,所以需經過信號分頻,再者由於輸出的電壓幅度大,此處無需再加一級驅動,以74LS393數字分頻芯片,把分頻端級聯實現100分頻,最終信號進入單片機,由單片機計算出頻率,經過算法設計,實現未知電容或電感參數的測定。圖1給出了係統的總體框架圖。
2.2 輸入切換電路
輸入切換電路使用雙刀雙擲繼電器實現,主要負責電容和電感的輸入切換,當連接上電容時係統通過繼電器K2,如圖2所示。連接單片機,K2 的固定端直接連接單片機的引腳IO3和IO4,常開節點連接待測電容或電感的引腳兩端,並且初始設置兩個引腳一個為邏輯高電平5 V,一個為邏輯低電平0 V,當給K2通電,固定端和常閉端連接,由於IO3和IO4分別為5 V和0 V。電容對直流是開路,所以IO3和IO4電平維持原來的狀態。若為電感,由於電感對直流相當於導線,那麼5 V的IO會被0 V的拉低。兩個IO都為0 V。由此得出沒有短路在一起時,單片機判斷為電容,從而選擇測量電容的方法,此時通過單片機對IO1腳的設置把另一個雙刀雙擲開關K1,開關撥到上,上為與電容C2並聯,如圖2所示。而短路在一起時,單片機判斷為電感,單片機選擇測量電感的方法,此時通過單片機對IO1腳的設置把另一個雙刀雙擲開關K1開關撥到下,即與電感L並聯。
[page]
2.3 振蕩電路原理
振蕩電路采用LC振蕩電路,振蕩的頻率由L和C確定。振蕩管采用9018,Rb1和Rb2為基極偏置,Rc為限流電阻,電容C1、C2和電感L構成正反饋選頻網絡,反饋信號取自電容C2兩端。該電路也稱為電容3點式振蕩電路。輸入信號和反饋信號同相。在測量過程中,當測量電感時,輸入電路自動把待測電感Lx並聯到L的兩端。當測量電容時,輸入電路自動把要測量的電容Cx並聯到C1的兩端。
2.4 分頻電路原理
分頻電路采用74LS393數字分頻芯片,分頻端級聯實現100分頻,高頻管9018的集電極輸出振蕩信號,之後把振蕩器輸出的信號100分頻,頻率將降到單片機測量的範圍之內。
2.5 單片機實現電容和電感的計算
當dang把ba待dai測ce的de電dian容rong或huo電dian感gan接jie入ru時shi,係xi統tong自zi動dong進jin行xing判pan斷duan,根gen據ju判pan斷duan結jie果guo確que定ding算suan法fa。當dang判pan斷duan到dao是shi電dian容rong時shi,係xi統tong計ji入ru電dian容rong的de計ji算suan方fang式shi,電dian容rong的de計ji算suan方fang式shi采cai用yong公gong式shi
根據測量得到頻率和已知的L和C2,從而計算出Cx的值。當判斷為電感時,係統進入電感的計算方式,電感的計算方式采用公式
根據測量到的頻率和已知的C1、C2、L計算出Lx的值。
3 算法設計
xitongshangdianchushihuabingqieqingping,danpianjichushihuawanchenghou,jinrujianpansaomiaochengxu,dangyaojinxingdianronghuodianganceliangshi,xuanzecelianganjian,xitongjinxingzidongpanduanbingjinxingdianronghuodiangandeceliang。dangpanduanweidianrongshi,xitongxuanzedianrongdejisuanfangfa。dangpanduanweidianganshi,xitongxuanzediangandejisuanfangfa。jisuanwanchenghouzaiyejingpingshangxianshiceliangjieguo。xiamianshijutidechengxuliuchengtu,rutu3所示。
- 探究電容電感測試儀的設計
- 分析振蕩電路原理
- 分析分頻電路原理
- 振蕩電路采用LC振蕩電路
- 分頻電路采用74LS393數字分頻芯片
1 測量原理
采用LC振蕩器的振蕩原理,LC振蕩器選擇L或是C參數為固定值。通過LC的組合,振蕩器起振,當測量電容時電感固定,測量電感時電容固定。通過LC振蕩器的頻率計算公式
其中,
2 電路工作原理
2.1 電路框圖設計
如圖1所示。框圖包括輸入切換部分、振蕩部分、分頻部分、單片機部分、顯示部分和鍵盤部分。此係統由STC89C51danpianjizuoweikongzhihexin,shuruqiehuanbufencaiyongshuangdaoshuangzhijidianqiwanchengdaicedianronghuodiangandexianluqiehuan,zhendangdianlugongzuozaifangdaxiezhenzhuangtai,pinlvyougaopinguan9018的集電極輸出,由於頻率較高,所以需經過信號分頻,再者由於輸出的電壓幅度大,此處無需再加一級驅動,以74LS393數字分頻芯片,把分頻端級聯實現100分頻,最終信號進入單片機,由單片機計算出頻率,經過算法設計,實現未知電容或電感參數的測定。圖1給出了係統的總體框架圖。

輸入切換電路使用雙刀雙擲繼電器實現,主要負責電容和電感的輸入切換,當連接上電容時係統通過繼電器K2,如圖2所示。連接單片機,K2 的固定端直接連接單片機的引腳IO3和IO4,常開節點連接待測電容或電感的引腳兩端,並且初始設置兩個引腳一個為邏輯高電平5 V,一個為邏輯低電平0 V,當給K2通電,固定端和常閉端連接,由於IO3和IO4分別為5 V和0 V。電容對直流是開路,所以IO3和IO4電平維持原來的狀態。若為電感,由於電感對直流相當於導線,那麼5 V的IO會被0 V的拉低。兩個IO都為0 V。由此得出沒有短路在一起時,單片機判斷為電容,從而選擇測量電容的方法,此時通過單片機對IO1腳的設置把另一個雙刀雙擲開關K1,開關撥到上,上為與電容C2並聯,如圖2所示。而短路在一起時,單片機判斷為電感,單片機選擇測量電感的方法,此時通過單片機對IO1腳的設置把另一個雙刀雙擲開關K1開關撥到下,即與電感L並聯。

2.3 振蕩電路原理
振蕩電路采用LC振蕩電路,振蕩的頻率由L和C確定。振蕩管采用9018,Rb1和Rb2為基極偏置,Rc為限流電阻,電容C1、C2和電感L構成正反饋選頻網絡,反饋信號取自電容C2兩端。該電路也稱為電容3點式振蕩電路。輸入信號和反饋信號同相。在測量過程中,當測量電感時,輸入電路自動把待測電感Lx並聯到L的兩端。當測量電容時,輸入電路自動把要測量的電容Cx並聯到C1的兩端。
2.4 分頻電路原理
分頻電路采用74LS393數字分頻芯片,分頻端級聯實現100分頻,高頻管9018的集電極輸出振蕩信號,之後把振蕩器輸出的信號100分頻,頻率將降到單片機測量的範圍之內。
2.5 單片機實現電容和電感的計算
當dang把ba待dai測ce的de電dian容rong或huo電dian感gan接jie入ru時shi,係xi統tong自zi動dong進jin行xing判pan斷duan,根gen據ju判pan斷duan結jie果guo確que定ding算suan法fa。當dang判pan斷duan到dao是shi電dian容rong時shi,係xi統tong計ji入ru電dian容rong的de計ji算suan方fang式shi,電dian容rong的de計ji算suan方fang式shi采cai用yong公gong式shi
3 算法設計
xitongshangdianchushihuabingqieqingping,danpianjichushihuawanchenghou,jinrujianpansaomiaochengxu,dangyaojinxingdianronghuodianganceliangshi,xuanzecelianganjian,xitongjinxingzidongpanduanbingjinxingdianronghuodiangandeceliang。dangpanduanweidianrongshi,xitongxuanzedianrongdejisuanfangfa。dangpanduanweidianganshi,xitongxuanzediangandejisuanfangfa。jisuanwanchenghouzaiyejingpingshangxianshiceliangjieguo。xiamianshijutidechengxuliuchengtu,rutu3所示。

特別推薦
- 噪聲中提取真值!瑞盟科技推出MSA2240電流檢測芯片賦能多元高端測量場景
- 10MHz高頻運行!氮矽科技發布集成驅動GaN芯片,助力電源能效再攀新高
- 失真度僅0.002%!力芯微推出超低內阻、超低失真4PST模擬開關
- 一“芯”雙電!聖邦微電子發布雙輸出電源芯片,簡化AFE與音頻設計
- 一機適配萬端:金升陽推出1200W可編程電源,賦能高端裝備製造
技術文章更多>>
- 貿澤EIT係列新一期,探索AI如何重塑日常科技與用戶體驗
- 算力爆發遇上電源革新,大聯大世平集團攜手晶豐明源線上研討會解鎖應用落地
- 創新不止,創芯不已:第六屆ICDIA創芯展8月南京盛大啟幕!
- AI時代,為什麼存儲基礎設施的可靠性決定數據中心的經濟效益
- 矽典微ONELAB開發係列:為毫米波算法開發者打造的全棧工具鏈
技術白皮書下載更多>>
- 車規與基於V2X的車輛協同主動避撞技術展望
- 數字隔離助力新能源汽車安全隔離的新挑戰
- 汽車模塊拋負載的解決方案
- 車用連接器的安全創新應用
- Melexis Actuators Business Unit
- Position / Current Sensors - Triaxis Hall
熱門搜索
微波功率管
微波開關
微波連接器
微波器件
微波三極管
微波振蕩器
微電機
微調電容
微動開關
微蜂窩
位置傳感器
溫度保險絲
溫度傳感器
溫控開關
溫控可控矽
聞泰
穩壓電源
穩壓二極管
穩壓管
無焊端子
無線充電
無線監控
無源濾波器
五金工具
物聯網
顯示模塊
顯微鏡結構
線圈
線繞電位器
線繞電阻



