基於超級電容-鉛酸蓄電池混合儲能的太陽能充電器
發布時間:2011-10-20
中心議題:
- 鉛酸蓄電池充電特性
- 基於UC3909 控製器的四階段充電
- 太陽能充電器充電電路設計
解決方案:
- 鉛酸蓄電池的溫度補償
- 太陽能充電器的DC/ DC變換器設計
- 超級電容器組在太陽能充電器係統中的應用
獨立型太陽能照明係統存在鉛酸蓄電池使用壽命短且弱光條件下係統充電能力不足的缺點, 為了改進係統性能, 文中設計了基於超級電容-鉛酸蓄電池混合儲能的太陽能充電器, 采用UC3909 智能管理芯片實現對鉛酸蓄電池具有溫度補償功能的的四階段充電管理; 並利用超級電容器組及升降壓轉換電路實現弱光充電功能, 優化鉛酸蓄電池充放電過程, 提高係統效率及穩定性。
1 鉛酸蓄電池充電特性
鉛酸蓄電池的充電特性是由其最大接受充電能力來體現, 是在保證蓄電池析氣率較低、溫升較低時所能承受的最大充電電流。其充電特性曲線方程式為:
![]()
式中, I 為充電電流; I 0為初始最大充電電流; a 為最大接受力比; t 為充電時間。
在實際的電池充電管理過程中, 要使蓄電池的充電過程完全吻合該充電特性曲線存在較大困難。因此本著提高充電效率、保障蓄電池使用壽命、實現合理有效充電的原則, 參考充電特性曲線, 采用智能控製芯片UC3909 實現對膠體密封鉛酸蓄電池分段充放電控製管理。
2 基於UC3909 控製器的四階段充電
目前獨立型太陽能照明係統中蓄電池充電控製器一般采用的是三階段充電方式,即先恒流充電、再恒壓充電、後浮充充電。但由於某些應用場合的蓄電池會經常出現過度放電的情況, 如果一開始就直接進入較大電流充電的恒流充電階段, 容易造成熱失控, 易損壞蓄電池。所以在最開始的時候應該采用小電流IT 充電的涓流充電模式, 等蓄電池的端電壓達到設定的充電使能電壓UT 時, 再進行恒流充電。UC3909 芯片可以根據蓄電池的狀態實現涓流充電、恒流充電、恒壓充電和浮充充電四個階段合理充電, 如圖1 所示。

圖1 UC3909 的四階段充電曲線[page]
狀態1: 涓流充電
當蓄電池電壓低於充電使能電壓UT , 充電器提供很小的涓流IT 進行充電, IT 一般約為0. 01C( C 為蓄電池容量)
狀態2: 恒流充電
當蓄電池的電壓達到充電使能電壓UT 時, 充電器提供一個大電流I BULK 對蓄電池進行恒流充電, 這一階段是充電的主要階段, 蓄電池端電壓上升很快, 直至電壓上升到過壓充電電壓UOC 時進入恒壓充電階段。
狀態3: 恒壓充電
在此階段, 充電器提供一個略高於蓄電池額定值的電壓UOC進行恒壓充電, 電路的充電電流將按指數規律逐漸減小, 直至電流大小等於充電終止電流I OCT(約為10 % IBULK ) , 蓄電池已被充滿, 充電器進入浮充充電狀態。
狀態4: 浮充充電
浮充充電階段, 充電器提供浮充電壓UF 對蓄電池以很小的浮充電流進行充電, 以彌補蓄電池自放電造成的容量損失。同時由於蓄電池的浮充電壓隨溫度變化而變化, 因此需要選擇與蓄電池相同溫度係數的熱敏電阻進行溫度補償, 確保在任何溫度下都能以精確的浮充電壓進行浮充充電。溫度係數一般選擇- 3. 5~ - 5 mV/ .
3 充電電路設計
圖2 所示為基於U C3909 太陽能蓄電池充電器電路框圖, 光伏陣列經過電壓電流采樣再經模數轉換將數字信號反饋至單片機, 單片機根據光伏陣列的工作狀況輸出PWM 信號去驅動PMOS 管, 實現對光伏陣列的最大功率跟蹤。超級電容器組、DC/ DC 變換器、UC3909 用來實現對閥控鉛酸蓄電池的四階段充電控製, 並利用超級電容的特性優化充放電過程。本文側重對超級電容器組、U C3909 及DC/ DC 變換器等部分實現對閥控鉛酸蓄電池四階段的充電分析及設計。

圖2 係統框圖
3. 1 UC3909 充電器主要參數設計
基於UC3909 的充放電電路如圖3 所示。

圖3 基於UC3909的充放電電路[page]
根據UC3909 內部集成電路及光伏陣列、超級電容參數並結合閥控鉛酸蓄電池的容量及額定電壓等參數對電路各個部分進行合理計算設計。本設計使用賽特公司生產的12 V, 65 Ah膠體密封鉛酸蓄電池, 根據廠家提供的蓄電池充電參數, 浮充電壓UF 取13. 8 V,充電使能電壓UT 取10. 8 V; 過壓充電電壓UOC 14. 7V; 涓流充電電流I TC 取0. 26 A; 恒流充電電流I BU LK 取係統最大充電電流6. 5 A; 過充終止電流IOCT 取1 A.
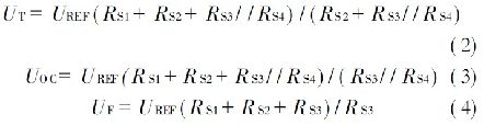
根據以上廠家所提供的蓄電池參數, 參照UC3909 芯片資料及相關參考文獻,計算U C3909 外圍元件參數, R S1、RS2 、RS3、RS4計算公式如下:

式中, UREF 為UC3909 內部基準電壓2. 3 V.代入相關值計算得( R S1、RS2、RS3、RS4 分別為245 k Ω 、16 kΩ 、53kΩ 、975 kΩ 。
另外, 可以根據流入U C3909 內部電流誤差放大器反向輸出端CA 的固定控製電流ITRCK 、涓流充電電流I T 、恒流充電電流IBULK及過充終止電流IOCT 計算得出RG1、RG2 , R OVC1和ROVC2 , 其基本計算公式如下:

RSET 取11. 5 k , 電流采樣電阻RS 取55 m , 代入式( 5)、( 6) 得:

ROVC1和R OVC2滿足以下關係式:
![]()
最終ROVC1和ROVC2 分別選取為1 k Ω , 10 kΩ 。
3. 2 鉛酸蓄電池的溫度補償
光伏係統中的鉛酸蓄電池一般與太陽能板一起安裝在戶外, 而周圍溫度的變化對鉛酸蓄電池的性能有重大影響, 有研究表明,鉛酸蓄電池的浮充電流對溫度極為敏感, 溫度每變化10℃, 浮充電流成倍增長, 對於本設計中用到的蓄電池, 根據廠家提供的參數, 同一浮充電流下, 其溫度係數為- 3. 9 mV/ ℃ , 也就是說如果要防止浮充電流增加, 當溫度升高1 時, 其浮充電壓應該降低3. 9 mV ; 同理, 當溫度降低1 時, 其浮充電壓應該升高3. 9 mV才能保持浮充電流不變。

圖4 鉛酸蓄電池溫度補償電路[page]
UC3909 內部集成了具有鉛酸蓄電池溫度補償功能的電路如圖4 所示, A1 為電流/ 電壓轉換元件, 其輸入端分別接10 kΩ 普通電阻及10 k Ω 熱敏電阻。A2 與外接四個20 kΩ 電阻組成差動運算放大電路。RT HM 一般貼附在鉛酸蓄電池的表麵殼體用於檢測其溫度, 當鉛酸蓄電池內部溫度變化時, 通過熱敏電阻RTHM 的反饋使U C3909 的基準電壓2. 3 V 也隨溫度按- 3. 9 mV/℃ 的溫度係數變化。從而確保鉛酸蓄電池在浮充狀態下準確工作於安全的浮充電壓, 保護了鉛酸蓄電池。
3. 3 DC/ DC變換器設計
由於光伏陣列受外界環境影響較大, 本係統中12 V的太陽能板輸出電壓的變化範圍約為0~ 20 V,如果直接為鉛酸蓄電池充電, 由於鉛酸蓄電池的正常工作電壓要高於10. 8 V, 因此當弱光條件下, 太陽能板的輸出電壓低於鉛酸蓄電池的端電壓時, 其產生的電能不能被鉛酸蓄電池吸收。因此本係統采用把太陽能板輸出經過超級電容器組, 再由超級電容器組先經升降壓後為鉛酸蓄電池充電, 有效增強係統弱光充電能力, 提高利用效率。
本設計采用升降壓模式, 如圖5 所示, 超級電容器組接DC/ DC 轉換電路的輸入端, 設定輸入範圍為4. 5~ 20 V, 輸出電壓範圍為10. 8~ 14. 7 V.Q1 由單片機輸出PWM 信號控製, Q2 由UC3909 的5 腳經MOS 管驅動電路控製, 5 腳輸出PWM 頻率由UC3909 的18 腳所接電阻RSET 及19 管腳所接電容CT決定, 公式如下:
![]()

圖5 DC/ DC轉換電路
UC3909 的工作頻率設定為200 kH z.同時在蓄電池的充電回路中還串接電流采樣電阻RS , RS兩端的電壓信號作為U C3909 芯片內部電流采樣放大電路的輸入信號分別接於CS , CS+ 輸入端, 考慮到充電電流較大, 為減少RS的功耗同時防止U C3909 芯片內部電流采樣放大電路飽和失真, RS 應盡量小, 本電路中取55 m .
3. 4 超級電容器組在係統中的作用
(1) 超級電容具有使用壽命長, 充放電限製少, 功率密度大, 充電電池比能量高, 可快速大電流充放電等優點, 是一種新型高效的儲能器件。但由於其能量密度僅為鉛酸蓄電池的1/ 5, 無法滿足太陽能路燈照明這種大功率電路係統大容量儲能的要求。因此本係統中采用蓄電池組與超級電容器組混合儲能, 結合超級電容功率密度高及鉛酸蓄電池能量密度高的特點, 提高儲能係統性能。
(2) 本係統中采用8 個2. 7 V, 1 200 F的超級電容串聯成額定電壓21. 6 V, 容量為150 F的超級電容器組, 由於12 V太陽能板在強光照射時其輸出電壓約為20 V, 采用21. 6 V超級電容器組既可確保儲能器件的安全同時可以充分吸收太陽能板輸出能量。
(3) 由於係統采用MPPT 技術來實現最大功率輸出, MOS 的高速導通與關斷都會在輸出端產生相應幹擾諧波, 在太陽能板輸出端及鉛酸蓄電池間加上超級電容器組可以有效抑製幹擾諧波, 保證鉛酸蓄電池平穩充放電, 延長鉛酸蓄電池使用壽命。
(4) 鉛酸蓄電池隻能工作在UT 至UOC 電壓範圍內( 以12 V 鉛酸蓄電池為例, 隻能工作在10. 8~ 14. 7 V之間) .相比之下, 由於超級電容器組可深度放電, 其工作電壓可以設定在較低範圍, 如該係統中設定超級電容器組的最低輸出電壓為4. 5 V.因此在弱光狀態下, 太陽能板的輸出電壓會高於超級電容器組端電壓,確保輸出電能被超級電容器組吸收儲存, 再由升降壓電路轉換輸出給鉛酸蓄電池, 即實現了弱光充電功能。
(5) 由於鉛酸蓄電池的充電條件極為嚴格, 在蓄電池的不同四個充電階段下, 其允許輸入的電量不同, 而太陽能板的輸出受外界環境影響變化很大。當太陽能板輸出的電量大於鉛酸蓄電池當前工作狀態下可接受的輸入電量時, 多餘的部分能量將保存在超級電容器組中; 反之, 當太陽能板輸出的電量小於鉛酸蓄電池可接受的輸入電量時, 超級電容器組內儲存的電量可補償不足輸出給鉛酸蓄電池。這樣既可以確保鉛酸蓄電池的平穩充電, 延長使用壽命, 也可以提高係統利用率。
[page]
3. 5 實驗仿真
如圖6 所示為protues 仿真器中當超級電容器組端電壓為4. 5 V時U C3909 5 腳輸出脈衝及此時DC/DC 的輸出波形。仿真顯示, 5 腳輸出頻率為200 kHz,DC/ DC 轉換電路的輸出較為平滑, 且電壓幅值為13. 6 V, 屬於設定輸出電壓範圍, 與實測效果基本相符, 說明係統可以實現弱光充電功能。

圖6 UC3909 5 腳輸出U5 及DC/ DC 電路U0 輸出波形
4 結語
本係統采用超級電容器組與鉛酸蓄電池做太陽能路燈照明係統混合儲能元件, 利用超級電容器組及升降壓電路實現弱光充電功能, 有效提高太陽能板利用率。同時利用U C3909 實現鉛酸蓄電池的四階段充電管理, 延長了蓄電池使用壽命, 提高係統穩定性及使用效率。
- 噪聲中提取真值!瑞盟科技推出MSA2240電流檢測芯片賦能多元高端測量場景
- 10MHz高頻運行!氮矽科技發布集成驅動GaN芯片,助力電源能效再攀新高
- 失真度僅0.002%!力芯微推出超低內阻、超低失真4PST模擬開關
- 一“芯”雙電!聖邦微電子發布雙輸出電源芯片,簡化AFE與音頻設計
- 一機適配萬端:金升陽推出1200W可編程電源,賦能高端裝備製造
- 築基AI4S:摩爾線程全功能GPU加速中國生命科學自主生態
- 一秒檢測,成本降至萬分之一,光引科技把幾十萬的台式光譜儀“搬”到了手腕上
- AI服務器電源機櫃Power Rack HVDC MW級測試方案
- 突破工藝邊界,奎芯科技LPDDR5X IP矽驗證通過,速率達9600Mbps
- 通過直接、準確、自動測量超低範圍的氯殘留來推動反滲透膜保護
- 車規與基於V2X的車輛協同主動避撞技術展望
- 數字隔離助力新能源汽車安全隔離的新挑戰
- 汽車模塊拋負載的解決方案
- 車用連接器的安全創新應用
- Melexis Actuators Business Unit
- Position / Current Sensors - Triaxis Hall




