基於紅外線光電開關的測速係統設計與應用
發布時間:2011-10-13
中心議題:
- 紅外線光電開關測速係統工作原理
- 紅外線光電開關測速係統設計
- 紅外線光電開關測速係統誤差分析
解決方案:
- 紅外線光電開關測速係統的計時電路設計
- 紅外線光電開關測速係統的軟件設計
隨(sui)著(zhe)現(xian)代(dai)科(ke)技(ji)的(de)不(bu)斷(duan)進(jin)步(bu),各(ge)個(ge)領(ling)域(yu)對(dui)測(ce)速(su)係(xi)統(tong)的(de)應(ying)用(yong)越(yue)來(lai)越(yue)多(duo),同(tong)時(shi)也(ye)對(dui)測(ce)速(su)精(jing)度(du)的(de)要(yao)求(qiu)日(ri)益(yi)苛(ke)刻(ke)。文(wen)中(zhong)提(ti)出(chu)一(yi)種(zhong)基(ji)於(yu)紅(hong)外(wai)線(xian)光(guang)電(dian)開(kai)關(guan)的(de)測(ce)速(su)係(xi)統(tong),采(cai)用(yong)NI6251高速數據采集卡以及LabVIEW軟件設計代替了傳統的基於單片機或FPGA等自行設計的硬件電路所組成的數據采集分析係統,提高了測速係統的可靠性和測量精度。文中介紹了整個測速係統的工作原理、結構設計和軟件設計,並進行了係統的誤差分析。現場試驗結果證明,該方法能夠將高速直線運動物體的測試誤差保證在0.0015%以內。
1 測速係統工作原理
紅外光電開關測速是通過2 個光電開關之間的距離s 以及測量運動物體通過2 個光電開關的時間間隔t 然後做除法而得到其平均速度的測速方法。
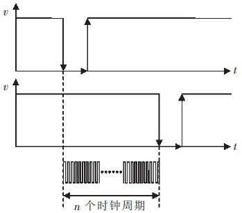
當(dang)無(wu)運(yun)動(dong)物(wu)體(ti)遮(zhe)擋(dang)光(guang)電(dian)開(kai)關(guan)時(shi),光(guang)電(dian)開(kai)關(guan)的(de)接(jie)收(shou)端(duan)輸(shu)出(chu)高(gao)電(dian)平(ping)信(xin)號(hao),當(dang)有(you)物(wu)體(ti)經(jing)過(guo)遮(zhe)擋(dang)時(shi),光(guang)電(dian)開(kai)關(guan)的(de)接(jie)收(shou)端(duan)輸(shu)出(chu)低(di)電(dian)平(ping)信(xin)號(hao)。即(ji)當(dang)高(gao)速(su)物(wu)體(ti)經(jing)過(guo)一(yi)對(dui)光(guang)電(dian)開(kai)關(guan)時(shi)會(hui)先(xian)後(hou)形(xing)成(cheng)2 個高電平到低電平的脈衝信號。通過計時周期的方式測出這2 個下降沿之間的計數周期個數n,計時原理如圖1 所示。

圖1 計時原理圖
根據計時原理可得到計時時間t:
![]()
運動物體在s 上的平均速度:
[page]
2 係統設計
通過對測速原理的分析可知,s 可以由刻度尺直接測量得出,因此測速係統主要由計時電路和軟件除法運算單元構成。計數器在第1 個脈衝信號的下降沿開始計時,在第2 個脈衝信號的下降沿停止計時,而後將得到的計時時間傳送給上位機軟件進行處理得到測量值。
2.1 計時電路設計
計時電路是基於NI6251 內部時鍾計數器來設計的, 相比較一般51 單片機12MHz 的晶振和FPGA的50MHz 的晶振,NI6251 所提的80MHz 晶振計數精度更高,測速時2 個光電開關所產生的脈衝信號時間間隔會被更準確地記錄。計時電路設計如圖2 所示。

圖2 計時電路設計圖
2.2 軟件設計
LabView 是一種用圖標代替文本行創建應用程序的圖形化編程語言,由NI 公司研製開發。現被廣泛應用於虛擬儀器設計相關的科研領域。根據測速係統原理和人機交互優化原則設計軟件流程如圖3所示。

圖3 軟件設計流程圖[page]
根據軟件設計流程圖編寫上位機軟件如圖4、圖5 所示。

圖4 虛擬儀器界麵設計圖

圖5 虛擬儀器底程序設計圖
3 誤差分析
隨(sui)著(zhe)科(ke)學(xue)技(ji)術(shu)的(de)日(ri)益(yi)發(fa)展(zhan)和(he)人(ren)們(men)認(ren)識(shi)水(shui)平(ping)的(de)不(bu)斷(duan)提(ti)高(gao),雖(sui)然(ran)可(ke)以(yi)將(jiang)誤(wu)差(cha)控(kong)製(zhi)的(de)越(yue)來(lai)越(yue)小(xiao),但(dan)終(zhong)究(jiu)不(bu)能(neng)完(wan)全(quan)消(xiao)除(chu)它(ta)。誤(wu)差(cha)的(de)分(fen)析(xi)與(yu)評(ping)定(ding)在(zai)測(ce)試(shi)領(ling)域(yu)中(zhong)尤(you)為(wei)關(guan)鍵(jian),是(shi)檢(jian)驗(yan)測(ce)試(shi)係(xi)統(tong)性(xing)能(neng)的(de)重(zhong)要(yao)指(zhi)標(biao)。
3.1 誤差來源
本係統的誤差來源主要是在測量傳感器之間距離s 時來自量具的儀器誤差Δs 和來自於計數器計時的誤差。計數誤差表現為當時間計數器清零並開始計數時, 由(you)於(yu)計(ji)數(shu)器(qi)由(you)時(shi)標(biao)脈(mai)衝(chong)下(xia)降(jiang)沿(yan)觸(chu)發(fa),所(suo)以(yi)可(ke)能(neng)出(chu)現(xian)計(ji)數(shu)器(qi)剛(gang)開(kai)始(shi)計(ji)數(shu)時(shi)時(shi)標(biao)脈(mai)衝(chong)就(jiu)出(chu)現(xian)一(yi)個(ge)下(xia)降(jiang)沿(yan),而(er)停(ting)止(zhi)計(ji)數(shu)正(zheng)好(hao)在(zai)一(yi)個(ge)下(xia)降(jiang)沿(yan)結(jie)束(shu)後(hou),這(zhe)樣(yang)所(suo)計(ji)數(shu)的(de)時(shi)間(jian)比(bi)實(shi)際(ji)時(shi)間(jian)多(duo)一(yi)個(ge)脈(mai)衝(chong);同樣,如果開始計數是在下降沿剛出現後,而結束計數是在下降沿出現前, 會導致計數時間比實際時間少一個脈衝,造成計數誤差。計數誤差範圍為(-1/f,1/f),在此區間上平均分布。
此外, 環境因素所帶來的影響是多方麵的,由於溫度、氣壓和水汽的影響,空氣折射率分布不均勻,折射率的梯度造成的光線發生彎曲;由you於yu高gao速su運yun動dong還hai會hui帶dai來lai空kong氣qi的de氣qi流liu變bian化hua和he氣qi體ti震zhen動dong而er引yin起qi對dui光guang路lu的de幹gan擾rao。加jia之zhi一yi些xie不bu確que定ding因yin素su,主zhu要yao反fan映ying在zai電dian信xin號hao上shang,環huan境jing影ying響xiang帶dai入ru了le電dian平ping的de抖dou動dong以yi及ji一yi些xie高gao頻pin和he低di頻pin的de幹gan擾rao。但dan這zhe些xie幹gan擾rao一yi般ban在zai電dian路lu中zhong可ke以yi去qu掉diao或huo忽hu略lve。
[page]
3.2 誤差綜合評定
根據以上誤差的來源分析和誤差理論, 對式(2)求導得到誤差:

將式(3)轉換成最大誤差:

計時電路計時最大誤差

為依據國標QBT2443-1999 的規定計算。規定一級鋼卷尺自零點端起到任意線紋的示值誤差限為:Δ=(0.1+0.1L)mm,L 單位為m。若測試距離取0.3m,Δs 取0.03mm,待測運動物體速度為300m/s,那麼將數據代入式(4)得到係統測速的最大相對誤差為:

4 實驗數據及結構分析
本測速係統已成功應用在雙級空氣炮彈射物體測速實驗中,實驗數據如表1 所示。

表1 測速數據表
5 結語
建立了基於紅外光電開關的測速係統,分析了測試係統的誤差,現場試驗結果證明該方法能夠將高速直線運動物體的測試誤差保證在0.0015%以內。本係統僅用一套對射型光電發射/接jie收shou裝zhuang置zhi,預yu想xiang進jin一yi步bu提ti高gao整zheng個ge測ce速su係xi統tong的de測ce速su精jing度du,可ke采cai取qu在zai測ce速su軌gui道dao上shang多duo安an置zhi幾ji組zu光guang電dian開kai關guan來lai一yi同tong測ce速su,最zui後hou將jiang各ge組zu測ce試shi數shu值zhi取qu均jun值zhi得de出chu最zui終zhong數shu據ju。
- 噪聲中提取真值!瑞盟科技推出MSA2240電流檢測芯片賦能多元高端測量場景
- 10MHz高頻運行!氮矽科技發布集成驅動GaN芯片,助力電源能效再攀新高
- 失真度僅0.002%!力芯微推出超低內阻、超低失真4PST模擬開關
- 一“芯”雙電!聖邦微電子發布雙輸出電源芯片,簡化AFE與音頻設計
- 一機適配萬端:金升陽推出1200W可編程電源,賦能高端裝備製造
- 貿澤EIT係列新一期,探索AI如何重塑日常科技與用戶體驗
- 算力爆發遇上電源革新,大聯大世平集團攜手晶豐明源線上研討會解鎖應用落地
- 創新不止,創芯不已:第六屆ICDIA創芯展8月南京盛大啟幕!
- AI時代,為什麼存儲基礎設施的可靠性決定數據中心的經濟效益
- 矽典微ONELAB開發係列:為毫米波算法開發者打造的全棧工具鏈
- 車規與基於V2X的車輛協同主動避撞技術展望
- 數字隔離助力新能源汽車安全隔離的新挑戰
- 汽車模塊拋負載的解決方案
- 車用連接器的安全創新應用
- Melexis Actuators Business Unit
- Position / Current Sensors - Triaxis Hall


