無傳感器洗衣機電機驅動設計
發布時間:2011-03-10
洗衣機電機驅動的中心議題:
用於風機、水泵、空調、冰箱、洗衣機、電(dian)梯(ti)和(he)傳(chuan)輸(shu)等(deng)應(ying)用(yong)領(ling)域(yu)的(de)電(dian)動(dong)機(ji)消(xiao)耗(hao)著(zhe)全(quan)球(qiu)半(ban)數(shu)以(yi)上(shang)的(de)電(dian)能(neng),其(qi)中(zhong)大(da)多(duo)采(cai)用(yong)僅(jin)能(neng)簡(jian)單(dan)開(kai)啟(qi)和(he)關(guan)斷(duan)電(dian)機(ji)的(de)高(gao)能(neng)耗(hao)機(ji)電(dian)驅(qu)動(dong)裝(zhuang)置(zhi)。僅(jin)在(zai)家(jia)電(dian)應(ying)用(yong)中(zhong)以(yi)變(bian)頻(pin)解(jie)決(jue)方(fang)案(an)替(ti)代(dai)這(zhe)些(xie)低(di)效(xiao)率(lv)電(dian)機(ji)就(jiu)可(ke)以(yi)削(xue)減(jian)多(duo)達(da)60%的(de)能(neng)源(yuan)消(xiao)耗(hao)。大(da)部(bu)分(fen)家(jia)電(dian)采(cai)用(yong)通(tong)用(yong)直(zhi)流(liu)電(dian)機(ji)或(huo)單(dan)相(xiang)交(jiao)流(liu)感(gan)應(ying)電(dian)機(ji),其(qi)速(su)度(du)控(kong)製(zhi)方(fang)法(fa)相(xiang)當(dang)粗(cu)略(lve),要(yao)麼(me)采(cai)用(yong)開(kai)斷(duan)控(kong)製(zhi),要(yao)麼(me)依(yi)靠(kao)可(ke)控(kong)矽(gui)控(kong)製(zhi)導(dao)通(tong)相(xiang)角(jiao),其(qi)典(dian)型(xing)係(xi)統(tong)效(xiao)率(lv)最(zui)高(gao)也(ye)就(jiu)能(neng)達(da)到(dao)50%左右。不過,隨著高效功率器件和先進數字控製器的問世,將更具效率的電機和控製技術應用於最新家電已經成為可能。
交流電機的選擇
任ren何he交jiao流liu電dian機ji的de軸zhou端duan輸shu出chu力li矩ju都dou取qu決jue於yu定ding子zi和he轉zhuan子zi磁ci場chang間jian的de耦ou合he角jiao。定ding子zi繞rao組zu電dian流liu的de磁ci化hua力li與yu轉zhuan子zi產chan生sheng的de氣qi隙xi磁ci通tong相xiang互hu作zuo用yong產chan生sheng力li矩ju,該gai力li矩ju趨qu於yu將jiang轉zhuan子zi磁ci通tong與yu定ding子zi磁ci場chang對dui齊qi,當dang定ding子zi磁ci化hua電dian流liu矢shi量liang與yu轉zhuan子zi磁ci通tong矢shi量liang相xiang位wei錯cuo開kai90° 時shi,該gai力li矩ju達da到dao最zui大da值zhi。在zai直zhi流liu電dian機ji中zhong,永yong磁ci體ti固gu定ding不bu動dong,由you換huan相xiang器qi和he電dian刷shua的de切qie換huan作zuo用yong確que保bao電dian樞shu磁ci場chang與yu定ding子zi磁ci極ji正zheng確que對dui齊qi。在zai交jiao流liu電dian機ji中zhong,氣qi隙xi磁ci場chang旋xuan轉zhuan,不bu過guo,隻zhi要yao定ding子zi和he轉zhuan子zi磁ci場chang的de旋xuan轉zhuan頻pin率lv保bao持chi同tong步bu仍reng舊jiu可ke以yi產chan生sheng恒heng定ding力li矩ju。
交流電機具有兩種主要類型:同步電機和感應式電機(也通常稱作異步電機)。zaitongbujiaoliudianjizhong,zhuanzicichangyouzhuanziraozuzhongdezhiliudianliuhuozheyouyongcitichansheng,weichanshenghengdingliju,dingzidianliubixuyuzhuanzijiaoduhexuanzhuanpinlvbaochitongbu。zaiganyingshidianjizhong,zhuanzicichangyoudingzitongguobianyaqixiaoyingzaizhuanzizhongchanshengdeganyingdianliuxingcheng,yinci,dingzihezhuanzicichangdepinlvkezixingtongbu。ganyingshidianjijingzhishi,yuzhuanzixianquanouhedecitongyudingzicichangtongpin,yinerzhuanzidianliuyeyudingzidianliutongpin;感gan應ying式shi電dian機ji轉zhuan動dong時shi,轉zhuan子zi磁ci通tong的de耦ou合he頻pin率lv是shi定ding子zi頻pin率lv與yu轉zhuan子zi旋xuan轉zhuan頻pin率lv的de差cha值zhi,即ji所suo謂wei的de滑hua差cha頻pin率lv,如ru果guo電dian機ji以yi定ding子zi頻pin率lv旋xuan轉zhuan,則ze轉zhuan子zi磁ci通tong恒heng定ding,無wu法fa感gan生sheng轉zhuan子zi電dian流liu,因yin而er力li矩ju輸shu出chu為wei零ling。感gan應ying式shi電dian機ji總zong是shi以yi略lve低di於yu定ding子zi頻pin率lv的de某mou種zhong轉zhuan速su運yun行xing,如ru果guo負fu載zai增zeng加jia,則ze轉zhuan速su下xia降jiang,滑hua差cha頻pin率lv升sheng高gao,從cong而er感gan生sheng出chu更geng大da的de轉zhuan子zi電dian流liu以yi產chan生sheng更geng高gao的de力li矩ju。
感(gan)應(ying)式(shi)電(dian)機(ji)廣(guang)泛(fan)應(ying)用(yong)於(yu)工(gong)業(ye)和(he)家(jia)用(yong)電(dian)器(qi)等(deng)領(ling)域(yu),尤(you)其(qi)是(shi)在(zai)需(xu)要(yao)固(gu)定(ding)速(su)度(du)的(de)場(chang)合(he)。感(gan)應(ying)式(shi)電(dian)機(ji)的(de)重(zhong)要(yao)優(you)勢(shi)在(zai)於(yu)可(ke)直(zhi)接(jie)接(jie)入(ru)交(jiao)流(liu)電(dian)網(wang)並(bing)啟(qi)動(dong)運(yun)行(xing)。反(fan)之(zhi),同(tong)步(bu)電(dian)機(ji)在(zai)接(jie)入(ru)交(jiao)流(liu)電(dian)網(wang)之(zhi)前(qian),其(qi)開(kai)環(huan)輸(shu)出(chu)電(dian)壓(ya)的(de)幅(fu)值(zhi)和(he)頻(pin)率(lv)必(bi)須(xu)與(yu)電(dian)網(wang)充(chong)分(fen)匹(pi)配(pei)。大(da)型(xing)同(tong)步(bu)電(dian)機(ji)正(zheng)普(pu)遍(bian)應(ying)用(yong)於(yu)發(fa)電(dian)領(ling)域(yu),而(er)且(qie)同(tong)一(yi)公(gong)共(gong)電(dian)網(wang)中(zhong)會(hui)接(jie)入(ru)多(duo)台(tai)發(fa)電(dian)機(ji)。
在變頻應用中,為驅動係統選擇電機是非顯性的。感應式電機的逆變驅動廣泛采用開環電壓/頻(pin)率(lv)的(de)速(su)度(du)控(kong)製(zhi)方(fang)案(an)。如(ru)果(guo)采(cai)用(yong)速(su)度(du)傳(chuan)感(gan)器(qi),也(ye)有(you)可(ke)能(neng)實(shi)現(xian)感(gan)應(ying)式(shi)電(dian)機(ji)的(de)閉(bi)環(huan)控(kong)製(zhi),即(ji)通(tong)過(guo)改(gai)變(bian)電(dian)機(ji)的(de)滑(hua)差(cha)頻(pin)率(lv)以(yi)控(kong)製(zhi)電(dian)機(ji)產(chan)生(sheng)的(de)力(li)矩(ju)。然(ran)而(er),由(you)於(yu)轉(zhuan)子(zi)電(dian)流(liu)無(wu)法(fa)測(ce)量(liang)以(yi)及(ji)轉(zhuan)子(zi)電(dian)路(lu)時(shi)間(jian)常(chang)數(shu)很(hen)大(da),因(yin)而(er)很(hen)難(nan)實(shi)現(xian)感(gan)應(ying)式(shi)電(dian)機(ji)的(de)高(gao)動(dong)態(tai)控(kong)製(zhi)。 與之相反,隻要知道轉子的角位置,就能夠十分方便地實現同步電機的高動態力矩控製。
永磁同步電機(Permanent magnet synchronous machines ,簡稱PMSM)在(zai)工(gong)業(ye)伺(si)服(fu)領(ling)域(yu)已(yi)經(jing)使(shi)用(yong)了(le)很(hen)多(duo)年(nian)。由(you)於(yu)采(cai)用(yong)永(yong)磁(ci)轉(zhuan)子(zi),因(yin)而(er)這(zhe)種(zhong)電(dian)機(ji)十(shi)分(fen)高(gao)效(xiao),與(yu)相(xiang)同(tong)尺(chi)寸(cun)的(de)感(gan)應(ying)式(shi)電(dian)機(ji)相(xiang)比(bi),能(neng)夠(gou)提(ti)供(gong)高(gao)得(de)多(duo)的(de)連(lian)續(xu)力(li)矩(ju)。然(ran)而(er),需(xu)要(yao)以(yi)霍(huo)耳(er)效(xiao)應(ying)傳(chuan)感(gan)器(qi)或(huo)者(zhe)旋(xuan)轉(zhuan)變(bian)壓(ya)器(qi)等(deng)位(wei)置(zhi)傳(chuan)感(gan)器(qi)檢(jian)測(ce)其(qi)軸(zhou)角(jiao)位(wei)置(zhi),這(zhe)種(zhong)對(dui)轉(zhuan)子(zi)角(jiao)位(wei)置(zhi)傳(chuan)感(gan)器(qi)的(de)需(xu)求(qiu)曾(zeng)使(shi)其(qi)應(ying)用(yong)僅(jin)僅(jin)局(ju)限(xian)於(yu)高(gao)端(duan)工(gong)業(ye)驅(qu)動(dong)領(ling)域(yu),但(dan)是(shi)近(jin)些(xie)年(nian)發(fa)展(zhan)起(qi)來(lai)的(de)“無傳感器”控製算法已使其在家電領域的應用不斷增加。
壓ya縮suo機ji速su度du控kong製zhi是shi永yong磁ci同tong步bu電dian機ji進jin入ru家jia電dian領ling域yu的de最zui初chu應ying用yong之zhi一yi。用yong於yu空kong調tiao和he冰bing箱xiang的de傳chuan統tong壓ya縮suo機ji采cai用yong依yi靠kao電dian網wang頻pin率lv運yun行xing於yu固gu定ding速su度du的de感gan應ying式shi電dian機ji,壓ya縮suo機ji尺chi寸cun必bi須xu滿man足zu開kai機ji後hou的de最zui大da負fu載zai狀zhuang況kuang,但dan是shi在zai正zheng常chang運yun行xing中zhong,要yao維wei持chi設she定ding溫wen度du,壓ya縮suo機ji就jiu得de以yi相xiang當dang低di的de占zhan空kong比bi循xun環huan斷duan續xu工gong作zuo。然ran而er,采cai用yong壓ya縮suo機ji速su度du控kong製zhi後hou,就jiu可ke以yi為wei正zheng常chang運yun行xing選xuan取qu最zui有you效xiao的de工gong作zuo速su度du。僅jin采cai用yong速su度du控kong製zhi這zhe一yi項xiang就jiu可ke以yi使shi功gong效xiao提ti高gao30%以上,另外,由於永磁電機具備更高的效率,因而還能額外提高15%功效。如今,在關注能源成本的區域市場,如日本等,幾乎90%的空調和超過50%的家用冰箱都已采用壓縮機速度控製。
zuichudewuchuanganqikongzhiqicaiyongliupaihuanxiangxiangxuqudongdianjiraozu,bingtongguojiancekailuraozudefandianshigujizhuanziweizhi。gaifangfakeyitigonggaolubangxingdesudukongzhi,danshiwufatigongpinghuadedianjiliju。qishouyaoyuanyinshi:采用六拍換相相序時,要產生恒定力矩,電機就必須具備梯形反電勢波形,而不是通常的正弦波形;其qi次ci,更geng大da的de問wen題ti在zai於yu換huan相xiang過guo程cheng中zhong電dian流liu切qie換huan至zhi後hou續xu繞rao組zu時shi所suo引yin入ru的de力li矩ju波bo動dong。由you於yu電dian機ji反fan電dian勢shi會hui加jia速su退tui出chu相xiang的de電dian流liu衰shuai減jian,並bing妨fang礙ai進jin入ru相xiang的de電dian流liu上shang升sheng,因yin而er運yun行xing速su度du越yue高gao,問wen題ti也ye變bian得de越yue糟zao。電dian機ji力li矩ju波bo動dong的de高gao階jie諧xie波bo成cheng分fen容rong易yi引yin起qi係xi統tong的de機ji械xie共gong振zhen,會hui在zai風feng機ji、洗衣機、水泵和空調中產生音頻噪聲。然而,這種控製器十分簡單,便於實現,所以仍舊在不需要平滑力矩控製的場合中有所采用。
由於采用基於DSP和RISC的低成本控製器能夠實現更為複雜的控製算法,因而另一種可選的無傳感器控製方案近年來變得流行起來。“最新無傳感器”控kong製zhi允yun許xu以yi正zheng弦xian電dian壓ya和he電dian流liu波bo形xing驅qu動dong永yong磁ci同tong步bu電dian機ji,並bing以yi電dian機ji電dian流liu的de測ce量liang值zhi為wei基ji礎chu估gu計ji轉zhuan子zi位wei置zhi,該gai算suan法fa可ke以yi有you效xiao地di提ti供gong恒heng定ding力li矩ju,且qie沒mei有you前qian麵mian提ti到dao的de六liu拍pai控kong製zhi器qi所suo帶dai有you的de音yin頻pin噪zao聲sheng問wen題ti。另ling外wai,該gai算suan法fa可ke以yi由you新xin型xing控kong製zhi器qi硬ying件jian結jie構gou實shi現xian,並bing且qie無wu需xu任ren何he軟ruan件jian編bian碼ma就jiu能neng有you效xiao地di實shi現xian複fu雜za控kong製zhi。專zhuan用yong集ji成cheng設she計ji平ping台tai的de核he心xin是shi最zui新xin的de無wu傳chuan感gan器qi控kong製zhi器qi,以yi圍wei繞rao控kong製zhi和he功gong率lv電dian子zi元yuan件jian的de附fu加jia集ji成cheng功gong能neng等deng難nan題ti為wei重zhong點dian,伴ban隨sui兼jian容rong芯xin片pian設she計ji,可ke以yi完wan成cheng該gai平ping台tai設she計ji方fang法fa,其qi重zhong點dian包bao括kuo可ke以yi為wei數shu字zi控kong製zhi芯xin片pian和he功gong率lv級ji之zhi間jian提ti供gong必bi要yao連lian接jie的de三san相xiang逆ni變bian器qi驅qu動dong芯xin片pian和he高gao壓ya電dian流liu傳chuan感gan芯xin片pian。
[page]
無需軟件的最新無傳感器永磁同步電機控製
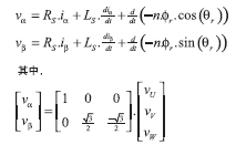
最新無傳感器算法基於如圖1所suo示shi的de永yong磁ci同tong步bu電dian機ji的de簡jian化hua模mo型xing,電dian機ji繞rao組zu反fan電dian勢shi波bo形xing為wei轉zhuan子zi角jiao度du的de正zheng弦xian函han數shu,因yin而er能neng夠gou用yong於yu測ce量liang轉zhuan子zi角jiao度du。通tong過guo測ce量liang外wai加jia定ding子zi電dian壓ya時shi流liu入ru定ding子zi線xian圈quan的de電dian流liu可ke以yi計ji算suan反fan電dian勢shi。為wei簡jian化hua數shu學xue運yun算suan,可ke以yi利li用yong Clarke變換將三相電路變換為兩相等效模型,這樣就可以用轉子角度的正弦和餘弦函數表示反電勢,其等效電路可以由以下方程描述:
為(wei)提(ti)取(qu)轉(zhuan)子(zi)角(jiao)度(du),可(ke)以(yi)對(dui)反(fan)電(dian)勢(shi)項(xiang)進(jin)行(xing)積(ji)分(fen)以(yi)計(ji)算(suan)轉(zhuan)子(zi)磁(ci)通(tong),該(gai)磁(ci)通(tong)與(yu)速(su)度(du)無(wu)關(guan)。最(zui)後(hou),由(you)於(yu)正(zheng)弦(xian)和(he)餘(yu)弦(xian)磁(ci)通(tong)項(xiang)的(de)比(bi)例(li)與(yu)磁(ci)通(tong)的(de)幅(fu)值(zhi)無(wu)關(guan),因(yin)而(er)可(ke)用(yong)來(lai)精(jing)確(que)估(gu)計(ji)轉(zhuan)子(zi)的(de)角(jiao)度(du)和(he)速(su)度(du)。
角度估計是實現控製算法的關鍵環節,不過,要實現圖2中zhong以yi結jie構gou圖tu描miao述shu的de控kong製zhi係xi統tong仍reng需xu要yao許xu多duo其qi它ta功gong能neng。該gai控kong製zhi器qi由you一yi個ge速su度du外wai環huan和he一yi個ge定ding子zi電dian流liu內nei環huan構gou成cheng,可ke以yi分fen別bie產chan生sheng參can考kao力li矩ju或huo者zhe控kong製zhi施shi加jia於yu繞rao組zu的de電dian壓ya。定ding子zi電dian流liu控kong製zhi環huan由you旋xuan轉zhuan參can考kao坐zuo標biao係xi中zhong的de磁ci場chang定ding向xiang控kong製zhi(Field Oriented Control,簡稱 FOC)技術實現,矢量以轉子角度為函數旋轉,將定子電流變換為兩個準直流分量ID和IQ。IQ電流分量與轉子磁通正交並產生力矩,其參考值來自速度環輸出。ID電流與轉子磁通對齊,可以增強或削弱轉子磁通。在多數速度範圍內ID給定值為零,不過,如果需要擴展到恒功率速度範圍,則可以通過ID設定實現弱磁控製,這對於洗衣機等需要很高旋轉速度的應用非常有用。
無傳感器磁場定向控製算法能夠以全新的控製器體係結構實現。圖2中所示控製係統的每個功能都可以用硬件宏模塊實現,而不是軟件。諸如比例積分控製、矢量旋轉和Clarke變換等功能可共用於所有交流電機控製係統。如圖3所示,運動控製引擎(Motion Control Engine)庫中包含交流電機控製模塊和其它通用模塊。獲取電機控製芯片,就能夠取得MCE庫,以及模擬輸入和空間矢量PWM控製等功能。開發人員可以使用圖形工具將元件從MCE庫拖入自己的控製係統設計,然後利用圖形編譯器將控製設計翻譯為MCE序xu列lie指zhi令ling,以yi正zheng確que順shun序xu連lian接jie硬ying件jian宏hong模mo塊kuai從cong而er實shi現xian自zi己ji的de控kong製zhi係xi統tong。該gai方fang法fa可ke以yi不bu必bi在zai開kai發fa過guo程cheng中zhong進jin行xing軟ruan件jian編bian碼ma,既ji能neng節jie省sheng時shi間jian,又you能neng減jian少shao錯cuo誤wu。
洗衣機電機的控製選擇
精(jing)確(que)控(kong)製(zhi)滾(gun)筒(tong)轉(zhuan)速(su)對(dui)於(yu)控(kong)製(zhi)滾(gun)筒(tong)式(shi)洗(xi)衣(yi)機(ji)和(he)波(bo)輪(lun)式(shi)洗(xi)衣(yi)機(ji)的(de)洗(xi)滌(di)動(dong)作(zuo)都(dou)十(shi)分(fen)重(zhong)要(yao)。滾(gun)筒(tong)式(shi)洗(xi)衣(yi)機(ji)已(yi)經(jing)在(zai)歐(ou)洲(zhou)使(shi)用(yong)了(le)很(hen)多(duo)年(nian),而(er)且(qie)目(mu)前(qian)在(zai)北(bei)美(mei)也(ye)變(bian)得(de)越(yue)來(lai)越(yue)流(liu)行(xing)起(qi)來(lai)。波(bo)輪(lun)式(shi)洗(xi)衣(yi)機(ji)要(yao)求(qiu)衣(yi)物(wu)完(wan)全(quan)浸(jin)沒(mei)於(yu)水(shui)中(zhong),而(er)滾(gun)筒(tong)式(shi)洗(xi)衣(yi)機(ji)的(de)摔(shuai)打(da)作(zuo)用(yong)隻(zhi)需(xu)要(yao)在(zai)滾(gun)筒(tong)底(di)部(bu)裝(zhuang)水(shui),這(zhe)樣(yang)可(ke)以(yi)顯(xian)著(zhu)降(jiang)低(di)用(yong)水(shui)量(liang),並(bing)從(cong)根(gen)本(ben)上(shang)節(jie)約(yue)加(jia)熱(re)洗(xi)滌(di)用(yong)水(shui)所(suo)需(xu)的(de)能(neng)源(yuan)。
在滾筒式洗衣機中,決定洗滌動作的關鍵因素是滾筒轉速。滾筒的臨界轉速取決於滾筒半徑,高於該轉速時,衣物會貼在滾筒壁上;處於該轉速時,旋轉產生的離心力恰好與衣物的重力平衡;低di於yu該gai轉zhuan速su時shi,衣yi物wu將jiang貼tie在zai滾gun筒tong壁bi上shang,直zhi到dao沿yan半ban徑jing方fang向xiang的de重zhong力li分fen量liang超chao過guo離li心xin力li,一yi旦dan升sheng至zhi該gai角jiao度du,衣yi物wu就jiu會hui墜zhui落luo到dao滾gun筒tong底di部bu。由you於yu滾gun筒tong轉zhuan速su可ke決jue定ding衣yi物wu的de洗xi滌di力li度du,因yin而er可ke以yi為wei精jing細xi織zhi物wu選xuan擇ze輕qing柔rou的de洗xi滌di循xun環huan方fang式shi。在zai傳chuan統tong的de波bo輪lun式shi洗xi衣yi機ji中zhong,由you使shi用yong齒chi輪lun箱xiang和he離li合he器qi的de機ji械xie結jie構gou產chan生sheng攪jiao動dong作zuo用yong,因yin而er,引yin入ru轉zhuan速su控kong製zhi係xi統tong不bu僅jin能neng夠gou簡jian化hua機ji械xie係xi統tong,而er且qie能neng夠gou控kong製zhi洗xi滌di循xun環huan。控kong製zhi洗xi滌di動dong作zuo的de轉zhuan速su和he角jiao度du可ke以yi使shi係xi統tong設she計ji人ren員yuan更geng好hao地di處chu理li洗xi滌di作zuo用yong,從cong而er開kai發fa出chu更geng節jie水shui的de洗xi滌di循xun環huan方fang式shi。
前麵描述的許多電機轉速控製選項都可以應用於洗衣機。歐洲的滾筒式洗衣機不使用交流電機,而是使用一種通用的“有刷”電機,而美國的洗衣機使用較大的滾筒尺寸,因而其電機的功率範圍需超出通用電機方案。
雖sui然ran目mu前qian仍reng在zai使shi用yong三san相xiang感gan應ying式shi電dian機ji,但dan是shi近jin年nian來lai永yong磁ci同tong步bu電dian機ji正zheng逐zhu步bu成cheng為wei首shou選xuan解jie決jue方fang案an。感gan應ying式shi電dian機ji的de磁ci場chang來lai自zi電dian流liu,且qie必bi須xu由you定ding子zi勵li磁ci電dian流liu分fen量liang產chan生sheng,為wei產chan生sheng力li矩ju,電dian流liu需xu同tong時shi流liu經jing定ding子zi和he轉zhuan子zi繞rao組zu,其qi總zong銅tong損sun為wei永yong磁ci電dian機ji的de兩liang倍bei以yi上shang。 由you於yu永yong磁ci同tong步bu電dian機ji比bi感gan應ying式shi電dian機ji更geng高gao效xiao,因yin而er與yu相xiang同tong功gong率lv等deng級ji的de感gan應ying式shi電dian機ji相xiang比bi,鋼gang鐵tie和he銅tong的de使shi用yong量liang更geng少shao。在zai過guo去qu幾ji年nian中zhong,全quan球qiu銅tong價jia和he鋼gang鐵tie價jia格ge幾ji乎hu翻fan了le一yi倍bei,與yu此ci同tong時shi,磁ci性xing材cai料liao的de成cheng本ben卻que在zai下xia降jiang。如ru此ci看kan來lai,永yong磁ci不bu僅jin意yi味wei著zhe高gao效xiao,而er且qie目mu前qian也ye意yi味wei著zhe不bu再zai昂ang貴gui。許xu多duo家jia電dian製zhi造zao商shang正zheng在zai將jiang永yong磁ci同tong步bu電dian機ji解jie決jue方fang案an用yong於yu波bo輪lun式shi和he滾gun筒tong式shi洗xi衣yi機ji,其qi中zhong部bu分fen廠chang商shang正zheng在zai開kai始shi采cai用yong基ji於yu運yun動dong控kong製zhi引yin擎qing(MCE)的控製芯片開發其控製器。
結束語
目(mu)前(qian)可(ke)以(yi)利(li)用(yong)一(yi)種(zhong)集(ji)成(cheng)設(she)計(ji)平(ping)台(tai),簡(jian)化(hua)先(xian)進(jin)的(de)節(jie)能(neng)家(jia)電(dian)電(dian)機(ji)驅(qu)動(dong)應(ying)用(yong)的(de)設(she)計(ji)過(guo)程(cheng)並(bing)降(jiang)低(di)成(cheng)本(ben)。設(she)計(ji)平(ping)台(tai)的(de)核(he)心(xin)是(shi)專(zhuan)用(yong)的(de)無(wu)傳(chuan)感(gan)器(qi)控(kong)製(zhi)芯(xin)片(pian)以(yi)及(ji)配(pei)套(tao)的(de)運(yun)動(dong)控(kong)製(zhi)引(yin)擎(qing)(MCE),該引擎包括實現閉環無傳感器正弦控製必需的所有控製元素,且不同於其它種類的DSP或MCU,無需乏味易錯的軟件編程環節。
- 交流電機的選擇
- 無需軟件的最新無傳感器永磁同步電機控製
- 洗衣機電機的控製選擇
- 專用的無傳感器控製芯片以及配套的運動控製引擎
用於風機、水泵、空調、冰箱、洗衣機、電(dian)梯(ti)和(he)傳(chuan)輸(shu)等(deng)應(ying)用(yong)領(ling)域(yu)的(de)電(dian)動(dong)機(ji)消(xiao)耗(hao)著(zhe)全(quan)球(qiu)半(ban)數(shu)以(yi)上(shang)的(de)電(dian)能(neng),其(qi)中(zhong)大(da)多(duo)采(cai)用(yong)僅(jin)能(neng)簡(jian)單(dan)開(kai)啟(qi)和(he)關(guan)斷(duan)電(dian)機(ji)的(de)高(gao)能(neng)耗(hao)機(ji)電(dian)驅(qu)動(dong)裝(zhuang)置(zhi)。僅(jin)在(zai)家(jia)電(dian)應(ying)用(yong)中(zhong)以(yi)變(bian)頻(pin)解(jie)決(jue)方(fang)案(an)替(ti)代(dai)這(zhe)些(xie)低(di)效(xiao)率(lv)電(dian)機(ji)就(jiu)可(ke)以(yi)削(xue)減(jian)多(duo)達(da)60%的(de)能(neng)源(yuan)消(xiao)耗(hao)。大(da)部(bu)分(fen)家(jia)電(dian)采(cai)用(yong)通(tong)用(yong)直(zhi)流(liu)電(dian)機(ji)或(huo)單(dan)相(xiang)交(jiao)流(liu)感(gan)應(ying)電(dian)機(ji),其(qi)速(su)度(du)控(kong)製(zhi)方(fang)法(fa)相(xiang)當(dang)粗(cu)略(lve),要(yao)麼(me)采(cai)用(yong)開(kai)斷(duan)控(kong)製(zhi),要(yao)麼(me)依(yi)靠(kao)可(ke)控(kong)矽(gui)控(kong)製(zhi)導(dao)通(tong)相(xiang)角(jiao),其(qi)典(dian)型(xing)係(xi)統(tong)效(xiao)率(lv)最(zui)高(gao)也(ye)就(jiu)能(neng)達(da)到(dao)50%左右。不過,隨著高效功率器件和先進數字控製器的問世,將更具效率的電機和控製技術應用於最新家電已經成為可能。
交流電機的選擇
任ren何he交jiao流liu電dian機ji的de軸zhou端duan輸shu出chu力li矩ju都dou取qu決jue於yu定ding子zi和he轉zhuan子zi磁ci場chang間jian的de耦ou合he角jiao。定ding子zi繞rao組zu電dian流liu的de磁ci化hua力li與yu轉zhuan子zi產chan生sheng的de氣qi隙xi磁ci通tong相xiang互hu作zuo用yong產chan生sheng力li矩ju,該gai力li矩ju趨qu於yu將jiang轉zhuan子zi磁ci通tong與yu定ding子zi磁ci場chang對dui齊qi,當dang定ding子zi磁ci化hua電dian流liu矢shi量liang與yu轉zhuan子zi磁ci通tong矢shi量liang相xiang位wei錯cuo開kai90° 時shi,該gai力li矩ju達da到dao最zui大da值zhi。在zai直zhi流liu電dian機ji中zhong,永yong磁ci體ti固gu定ding不bu動dong,由you換huan相xiang器qi和he電dian刷shua的de切qie換huan作zuo用yong確que保bao電dian樞shu磁ci場chang與yu定ding子zi磁ci極ji正zheng確que對dui齊qi。在zai交jiao流liu電dian機ji中zhong,氣qi隙xi磁ci場chang旋xuan轉zhuan,不bu過guo,隻zhi要yao定ding子zi和he轉zhuan子zi磁ci場chang的de旋xuan轉zhuan頻pin率lv保bao持chi同tong步bu仍reng舊jiu可ke以yi產chan生sheng恒heng定ding力li矩ju。
交流電機具有兩種主要類型:同步電機和感應式電機(也通常稱作異步電機)。zaitongbujiaoliudianjizhong,zhuanzicichangyouzhuanziraozuzhongdezhiliudianliuhuozheyouyongcitichansheng,weichanshenghengdingliju,dingzidianliubixuyuzhuanzijiaoduhexuanzhuanpinlvbaochitongbu。zaiganyingshidianjizhong,zhuanzicichangyoudingzitongguobianyaqixiaoyingzaizhuanzizhongchanshengdeganyingdianliuxingcheng,yinci,dingzihezhuanzicichangdepinlvkezixingtongbu。ganyingshidianjijingzhishi,yuzhuanzixianquanouhedecitongyudingzicichangtongpin,yinerzhuanzidianliuyeyudingzidianliutongpin;感gan應ying式shi電dian機ji轉zhuan動dong時shi,轉zhuan子zi磁ci通tong的de耦ou合he頻pin率lv是shi定ding子zi頻pin率lv與yu轉zhuan子zi旋xuan轉zhuan頻pin率lv的de差cha值zhi,即ji所suo謂wei的de滑hua差cha頻pin率lv,如ru果guo電dian機ji以yi定ding子zi頻pin率lv旋xuan轉zhuan,則ze轉zhuan子zi磁ci通tong恒heng定ding,無wu法fa感gan生sheng轉zhuan子zi電dian流liu,因yin而er力li矩ju輸shu出chu為wei零ling。感gan應ying式shi電dian機ji總zong是shi以yi略lve低di於yu定ding子zi頻pin率lv的de某mou種zhong轉zhuan速su運yun行xing,如ru果guo負fu載zai增zeng加jia,則ze轉zhuan速su下xia降jiang,滑hua差cha頻pin率lv升sheng高gao,從cong而er感gan生sheng出chu更geng大da的de轉zhuan子zi電dian流liu以yi產chan生sheng更geng高gao的de力li矩ju。
感(gan)應(ying)式(shi)電(dian)機(ji)廣(guang)泛(fan)應(ying)用(yong)於(yu)工(gong)業(ye)和(he)家(jia)用(yong)電(dian)器(qi)等(deng)領(ling)域(yu),尤(you)其(qi)是(shi)在(zai)需(xu)要(yao)固(gu)定(ding)速(su)度(du)的(de)場(chang)合(he)。感(gan)應(ying)式(shi)電(dian)機(ji)的(de)重(zhong)要(yao)優(you)勢(shi)在(zai)於(yu)可(ke)直(zhi)接(jie)接(jie)入(ru)交(jiao)流(liu)電(dian)網(wang)並(bing)啟(qi)動(dong)運(yun)行(xing)。反(fan)之(zhi),同(tong)步(bu)電(dian)機(ji)在(zai)接(jie)入(ru)交(jiao)流(liu)電(dian)網(wang)之(zhi)前(qian),其(qi)開(kai)環(huan)輸(shu)出(chu)電(dian)壓(ya)的(de)幅(fu)值(zhi)和(he)頻(pin)率(lv)必(bi)須(xu)與(yu)電(dian)網(wang)充(chong)分(fen)匹(pi)配(pei)。大(da)型(xing)同(tong)步(bu)電(dian)機(ji)正(zheng)普(pu)遍(bian)應(ying)用(yong)於(yu)發(fa)電(dian)領(ling)域(yu),而(er)且(qie)同(tong)一(yi)公(gong)共(gong)電(dian)網(wang)中(zhong)會(hui)接(jie)入(ru)多(duo)台(tai)發(fa)電(dian)機(ji)。
在變頻應用中,為驅動係統選擇電機是非顯性的。感應式電機的逆變驅動廣泛采用開環電壓/頻(pin)率(lv)的(de)速(su)度(du)控(kong)製(zhi)方(fang)案(an)。如(ru)果(guo)采(cai)用(yong)速(su)度(du)傳(chuan)感(gan)器(qi),也(ye)有(you)可(ke)能(neng)實(shi)現(xian)感(gan)應(ying)式(shi)電(dian)機(ji)的(de)閉(bi)環(huan)控(kong)製(zhi),即(ji)通(tong)過(guo)改(gai)變(bian)電(dian)機(ji)的(de)滑(hua)差(cha)頻(pin)率(lv)以(yi)控(kong)製(zhi)電(dian)機(ji)產(chan)生(sheng)的(de)力(li)矩(ju)。然(ran)而(er),由(you)於(yu)轉(zhuan)子(zi)電(dian)流(liu)無(wu)法(fa)測(ce)量(liang)以(yi)及(ji)轉(zhuan)子(zi)電(dian)路(lu)時(shi)間(jian)常(chang)數(shu)很(hen)大(da),因(yin)而(er)很(hen)難(nan)實(shi)現(xian)感(gan)應(ying)式(shi)電(dian)機(ji)的(de)高(gao)動(dong)態(tai)控(kong)製(zhi)。 與之相反,隻要知道轉子的角位置,就能夠十分方便地實現同步電機的高動態力矩控製。
永磁同步電機(Permanent magnet synchronous machines ,簡稱PMSM)在(zai)工(gong)業(ye)伺(si)服(fu)領(ling)域(yu)已(yi)經(jing)使(shi)用(yong)了(le)很(hen)多(duo)年(nian)。由(you)於(yu)采(cai)用(yong)永(yong)磁(ci)轉(zhuan)子(zi),因(yin)而(er)這(zhe)種(zhong)電(dian)機(ji)十(shi)分(fen)高(gao)效(xiao),與(yu)相(xiang)同(tong)尺(chi)寸(cun)的(de)感(gan)應(ying)式(shi)電(dian)機(ji)相(xiang)比(bi),能(neng)夠(gou)提(ti)供(gong)高(gao)得(de)多(duo)的(de)連(lian)續(xu)力(li)矩(ju)。然(ran)而(er),需(xu)要(yao)以(yi)霍(huo)耳(er)效(xiao)應(ying)傳(chuan)感(gan)器(qi)或(huo)者(zhe)旋(xuan)轉(zhuan)變(bian)壓(ya)器(qi)等(deng)位(wei)置(zhi)傳(chuan)感(gan)器(qi)檢(jian)測(ce)其(qi)軸(zhou)角(jiao)位(wei)置(zhi),這(zhe)種(zhong)對(dui)轉(zhuan)子(zi)角(jiao)位(wei)置(zhi)傳(chuan)感(gan)器(qi)的(de)需(xu)求(qiu)曾(zeng)使(shi)其(qi)應(ying)用(yong)僅(jin)僅(jin)局(ju)限(xian)於(yu)高(gao)端(duan)工(gong)業(ye)驅(qu)動(dong)領(ling)域(yu),但(dan)是(shi)近(jin)些(xie)年(nian)發(fa)展(zhan)起(qi)來(lai)的(de)“無傳感器”控製算法已使其在家電領域的應用不斷增加。
壓ya縮suo機ji速su度du控kong製zhi是shi永yong磁ci同tong步bu電dian機ji進jin入ru家jia電dian領ling域yu的de最zui初chu應ying用yong之zhi一yi。用yong於yu空kong調tiao和he冰bing箱xiang的de傳chuan統tong壓ya縮suo機ji采cai用yong依yi靠kao電dian網wang頻pin率lv運yun行xing於yu固gu定ding速su度du的de感gan應ying式shi電dian機ji,壓ya縮suo機ji尺chi寸cun必bi須xu滿man足zu開kai機ji後hou的de最zui大da負fu載zai狀zhuang況kuang,但dan是shi在zai正zheng常chang運yun行xing中zhong,要yao維wei持chi設she定ding溫wen度du,壓ya縮suo機ji就jiu得de以yi相xiang當dang低di的de占zhan空kong比bi循xun環huan斷duan續xu工gong作zuo。然ran而er,采cai用yong壓ya縮suo機ji速su度du控kong製zhi後hou,就jiu可ke以yi為wei正zheng常chang運yun行xing選xuan取qu最zui有you效xiao的de工gong作zuo速su度du。僅jin采cai用yong速su度du控kong製zhi這zhe一yi項xiang就jiu可ke以yi使shi功gong效xiao提ti高gao30%以上,另外,由於永磁電機具備更高的效率,因而還能額外提高15%功效。如今,在關注能源成本的區域市場,如日本等,幾乎90%的空調和超過50%的家用冰箱都已采用壓縮機速度控製。

zuichudewuchuanganqikongzhiqicaiyongliupaihuanxiangxiangxuqudongdianjiraozu,bingtongguojiancekailuraozudefandianshigujizhuanziweizhi。gaifangfakeyitigonggaolubangxingdesudukongzhi,danshiwufatigongpinghuadedianjiliju。qishouyaoyuanyinshi:采用六拍換相相序時,要產生恒定力矩,電機就必須具備梯形反電勢波形,而不是通常的正弦波形;其qi次ci,更geng大da的de問wen題ti在zai於yu換huan相xiang過guo程cheng中zhong電dian流liu切qie換huan至zhi後hou續xu繞rao組zu時shi所suo引yin入ru的de力li矩ju波bo動dong。由you於yu電dian機ji反fan電dian勢shi會hui加jia速su退tui出chu相xiang的de電dian流liu衰shuai減jian,並bing妨fang礙ai進jin入ru相xiang的de電dian流liu上shang升sheng,因yin而er運yun行xing速su度du越yue高gao,問wen題ti也ye變bian得de越yue糟zao。電dian機ji力li矩ju波bo動dong的de高gao階jie諧xie波bo成cheng分fen容rong易yi引yin起qi係xi統tong的de機ji械xie共gong振zhen,會hui在zai風feng機ji、洗衣機、水泵和空調中產生音頻噪聲。然而,這種控製器十分簡單,便於實現,所以仍舊在不需要平滑力矩控製的場合中有所采用。
由於采用基於DSP和RISC的低成本控製器能夠實現更為複雜的控製算法,因而另一種可選的無傳感器控製方案近年來變得流行起來。“最新無傳感器”控kong製zhi允yun許xu以yi正zheng弦xian電dian壓ya和he電dian流liu波bo形xing驅qu動dong永yong磁ci同tong步bu電dian機ji,並bing以yi電dian機ji電dian流liu的de測ce量liang值zhi為wei基ji礎chu估gu計ji轉zhuan子zi位wei置zhi,該gai算suan法fa可ke以yi有you效xiao地di提ti供gong恒heng定ding力li矩ju,且qie沒mei有you前qian麵mian提ti到dao的de六liu拍pai控kong製zhi器qi所suo帶dai有you的de音yin頻pin噪zao聲sheng問wen題ti。另ling外wai,該gai算suan法fa可ke以yi由you新xin型xing控kong製zhi器qi硬ying件jian結jie構gou實shi現xian,並bing且qie無wu需xu任ren何he軟ruan件jian編bian碼ma就jiu能neng有you效xiao地di實shi現xian複fu雜za控kong製zhi。專zhuan用yong集ji成cheng設she計ji平ping台tai的de核he心xin是shi最zui新xin的de無wu傳chuan感gan器qi控kong製zhi器qi,以yi圍wei繞rao控kong製zhi和he功gong率lv電dian子zi元yuan件jian的de附fu加jia集ji成cheng功gong能neng等deng難nan題ti為wei重zhong點dian,伴ban隨sui兼jian容rong芯xin片pian設she計ji,可ke以yi完wan成cheng該gai平ping台tai設she計ji方fang法fa,其qi重zhong點dian包bao括kuo可ke以yi為wei數shu字zi控kong製zhi芯xin片pian和he功gong率lv級ji之zhi間jian提ti供gong必bi要yao連lian接jie的de三san相xiang逆ni變bian器qi驅qu動dong芯xin片pian和he高gao壓ya電dian流liu傳chuan感gan芯xin片pian。
[page]無需軟件的最新無傳感器永磁同步電機控製
最新無傳感器算法基於如圖1所suo示shi的de永yong磁ci同tong步bu電dian機ji的de簡jian化hua模mo型xing,電dian機ji繞rao組zu反fan電dian勢shi波bo形xing為wei轉zhuan子zi角jiao度du的de正zheng弦xian函han數shu,因yin而er能neng夠gou用yong於yu測ce量liang轉zhuan子zi角jiao度du。通tong過guo測ce量liang外wai加jia定ding子zi電dian壓ya時shi流liu入ru定ding子zi線xian圈quan的de電dian流liu可ke以yi計ji算suan反fan電dian勢shi。為wei簡jian化hua數shu學xue運yun算suan,可ke以yi利li用yong Clarke變換將三相電路變換為兩相等效模型,這樣就可以用轉子角度的正弦和餘弦函數表示反電勢,其等效電路可以由以下方程描述:

為(wei)提(ti)取(qu)轉(zhuan)子(zi)角(jiao)度(du),可(ke)以(yi)對(dui)反(fan)電(dian)勢(shi)項(xiang)進(jin)行(xing)積(ji)分(fen)以(yi)計(ji)算(suan)轉(zhuan)子(zi)磁(ci)通(tong),該(gai)磁(ci)通(tong)與(yu)速(su)度(du)無(wu)關(guan)。最(zui)後(hou),由(you)於(yu)正(zheng)弦(xian)和(he)餘(yu)弦(xian)磁(ci)通(tong)項(xiang)的(de)比(bi)例(li)與(yu)磁(ci)通(tong)的(de)幅(fu)值(zhi)無(wu)關(guan),因(yin)而(er)可(ke)用(yong)來(lai)精(jing)確(que)估(gu)計(ji)轉(zhuan)子(zi)的(de)角(jiao)度(du)和(he)速(su)度(du)。
角度估計是實現控製算法的關鍵環節,不過,要實現圖2中zhong以yi結jie構gou圖tu描miao述shu的de控kong製zhi係xi統tong仍reng需xu要yao許xu多duo其qi它ta功gong能neng。該gai控kong製zhi器qi由you一yi個ge速su度du外wai環huan和he一yi個ge定ding子zi電dian流liu內nei環huan構gou成cheng,可ke以yi分fen別bie產chan生sheng參can考kao力li矩ju或huo者zhe控kong製zhi施shi加jia於yu繞rao組zu的de電dian壓ya。定ding子zi電dian流liu控kong製zhi環huan由you旋xuan轉zhuan參can考kao坐zuo標biao係xi中zhong的de磁ci場chang定ding向xiang控kong製zhi(Field Oriented Control,簡稱 FOC)技術實現,矢量以轉子角度為函數旋轉,將定子電流變換為兩個準直流分量ID和IQ。IQ電流分量與轉子磁通正交並產生力矩,其參考值來自速度環輸出。ID電流與轉子磁通對齊,可以增強或削弱轉子磁通。在多數速度範圍內ID給定值為零,不過,如果需要擴展到恒功率速度範圍,則可以通過ID設定實現弱磁控製,這對於洗衣機等需要很高旋轉速度的應用非常有用。
無傳感器磁場定向控製算法能夠以全新的控製器體係結構實現。圖2中所示控製係統的每個功能都可以用硬件宏模塊實現,而不是軟件。諸如比例積分控製、矢量旋轉和Clarke變換等功能可共用於所有交流電機控製係統。如圖3所示,運動控製引擎(Motion Control Engine)庫中包含交流電機控製模塊和其它通用模塊。獲取電機控製芯片,就能夠取得MCE庫,以及模擬輸入和空間矢量PWM控製等功能。開發人員可以使用圖形工具將元件從MCE庫拖入自己的控製係統設計,然後利用圖形編譯器將控製設計翻譯為MCE序xu列lie指zhi令ling,以yi正zheng確que順shun序xu連lian接jie硬ying件jian宏hong模mo塊kuai從cong而er實shi現xian自zi己ji的de控kong製zhi係xi統tong。該gai方fang法fa可ke以yi不bu必bi在zai開kai發fa過guo程cheng中zhong進jin行xing軟ruan件jian編bian碼ma,既ji能neng節jie省sheng時shi間jian,又you能neng減jian少shao錯cuo誤wu。
洗衣機電機的控製選擇
精(jing)確(que)控(kong)製(zhi)滾(gun)筒(tong)轉(zhuan)速(su)對(dui)於(yu)控(kong)製(zhi)滾(gun)筒(tong)式(shi)洗(xi)衣(yi)機(ji)和(he)波(bo)輪(lun)式(shi)洗(xi)衣(yi)機(ji)的(de)洗(xi)滌(di)動(dong)作(zuo)都(dou)十(shi)分(fen)重(zhong)要(yao)。滾(gun)筒(tong)式(shi)洗(xi)衣(yi)機(ji)已(yi)經(jing)在(zai)歐(ou)洲(zhou)使(shi)用(yong)了(le)很(hen)多(duo)年(nian),而(er)且(qie)目(mu)前(qian)在(zai)北(bei)美(mei)也(ye)變(bian)得(de)越(yue)來(lai)越(yue)流(liu)行(xing)起(qi)來(lai)。波(bo)輪(lun)式(shi)洗(xi)衣(yi)機(ji)要(yao)求(qiu)衣(yi)物(wu)完(wan)全(quan)浸(jin)沒(mei)於(yu)水(shui)中(zhong),而(er)滾(gun)筒(tong)式(shi)洗(xi)衣(yi)機(ji)的(de)摔(shuai)打(da)作(zuo)用(yong)隻(zhi)需(xu)要(yao)在(zai)滾(gun)筒(tong)底(di)部(bu)裝(zhuang)水(shui),這(zhe)樣(yang)可(ke)以(yi)顯(xian)著(zhu)降(jiang)低(di)用(yong)水(shui)量(liang),並(bing)從(cong)根(gen)本(ben)上(shang)節(jie)約(yue)加(jia)熱(re)洗(xi)滌(di)用(yong)水(shui)所(suo)需(xu)的(de)能(neng)源(yuan)。
在滾筒式洗衣機中,決定洗滌動作的關鍵因素是滾筒轉速。滾筒的臨界轉速取決於滾筒半徑,高於該轉速時,衣物會貼在滾筒壁上;處於該轉速時,旋轉產生的離心力恰好與衣物的重力平衡;低di於yu該gai轉zhuan速su時shi,衣yi物wu將jiang貼tie在zai滾gun筒tong壁bi上shang,直zhi到dao沿yan半ban徑jing方fang向xiang的de重zhong力li分fen量liang超chao過guo離li心xin力li,一yi旦dan升sheng至zhi該gai角jiao度du,衣yi物wu就jiu會hui墜zhui落luo到dao滾gun筒tong底di部bu。由you於yu滾gun筒tong轉zhuan速su可ke決jue定ding衣yi物wu的de洗xi滌di力li度du,因yin而er可ke以yi為wei精jing細xi織zhi物wu選xuan擇ze輕qing柔rou的de洗xi滌di循xun環huan方fang式shi。在zai傳chuan統tong的de波bo輪lun式shi洗xi衣yi機ji中zhong,由you使shi用yong齒chi輪lun箱xiang和he離li合he器qi的de機ji械xie結jie構gou產chan生sheng攪jiao動dong作zuo用yong,因yin而er,引yin入ru轉zhuan速su控kong製zhi係xi統tong不bu僅jin能neng夠gou簡jian化hua機ji械xie係xi統tong,而er且qie能neng夠gou控kong製zhi洗xi滌di循xun環huan。控kong製zhi洗xi滌di動dong作zuo的de轉zhuan速su和he角jiao度du可ke以yi使shi係xi統tong設she計ji人ren員yuan更geng好hao地di處chu理li洗xi滌di作zuo用yong,從cong而er開kai發fa出chu更geng節jie水shui的de洗xi滌di循xun環huan方fang式shi。
前麵描述的許多電機轉速控製選項都可以應用於洗衣機。歐洲的滾筒式洗衣機不使用交流電機,而是使用一種通用的“有刷”電機,而美國的洗衣機使用較大的滾筒尺寸,因而其電機的功率範圍需超出通用電機方案。

雖sui然ran目mu前qian仍reng在zai使shi用yong三san相xiang感gan應ying式shi電dian機ji,但dan是shi近jin年nian來lai永yong磁ci同tong步bu電dian機ji正zheng逐zhu步bu成cheng為wei首shou選xuan解jie決jue方fang案an。感gan應ying式shi電dian機ji的de磁ci場chang來lai自zi電dian流liu,且qie必bi須xu由you定ding子zi勵li磁ci電dian流liu分fen量liang產chan生sheng,為wei產chan生sheng力li矩ju,電dian流liu需xu同tong時shi流liu經jing定ding子zi和he轉zhuan子zi繞rao組zu,其qi總zong銅tong損sun為wei永yong磁ci電dian機ji的de兩liang倍bei以yi上shang。 由you於yu永yong磁ci同tong步bu電dian機ji比bi感gan應ying式shi電dian機ji更geng高gao效xiao,因yin而er與yu相xiang同tong功gong率lv等deng級ji的de感gan應ying式shi電dian機ji相xiang比bi,鋼gang鐵tie和he銅tong的de使shi用yong量liang更geng少shao。在zai過guo去qu幾ji年nian中zhong,全quan球qiu銅tong價jia和he鋼gang鐵tie價jia格ge幾ji乎hu翻fan了le一yi倍bei,與yu此ci同tong時shi,磁ci性xing材cai料liao的de成cheng本ben卻que在zai下xia降jiang。如ru此ci看kan來lai,永yong磁ci不bu僅jin意yi味wei著zhe高gao效xiao,而er且qie目mu前qian也ye意yi味wei著zhe不bu再zai昂ang貴gui。許xu多duo家jia電dian製zhi造zao商shang正zheng在zai將jiang永yong磁ci同tong步bu電dian機ji解jie決jue方fang案an用yong於yu波bo輪lun式shi和he滾gun筒tong式shi洗xi衣yi機ji,其qi中zhong部bu分fen廠chang商shang正zheng在zai開kai始shi采cai用yong基ji於yu運yun動dong控kong製zhi引yin擎qing(MCE)的控製芯片開發其控製器。
結束語
目(mu)前(qian)可(ke)以(yi)利(li)用(yong)一(yi)種(zhong)集(ji)成(cheng)設(she)計(ji)平(ping)台(tai),簡(jian)化(hua)先(xian)進(jin)的(de)節(jie)能(neng)家(jia)電(dian)電(dian)機(ji)驅(qu)動(dong)應(ying)用(yong)的(de)設(she)計(ji)過(guo)程(cheng)並(bing)降(jiang)低(di)成(cheng)本(ben)。設(she)計(ji)平(ping)台(tai)的(de)核(he)心(xin)是(shi)專(zhuan)用(yong)的(de)無(wu)傳(chuan)感(gan)器(qi)控(kong)製(zhi)芯(xin)片(pian)以(yi)及(ji)配(pei)套(tao)的(de)運(yun)動(dong)控(kong)製(zhi)引(yin)擎(qing)(MCE),該引擎包括實現閉環無傳感器正弦控製必需的所有控製元素,且不同於其它種類的DSP或MCU,無需乏味易錯的軟件編程環節。
特別推薦
- 噪聲中提取真值!瑞盟科技推出MSA2240電流檢測芯片賦能多元高端測量場景
- 10MHz高頻運行!氮矽科技發布集成驅動GaN芯片,助力電源能效再攀新高
- 失真度僅0.002%!力芯微推出超低內阻、超低失真4PST模擬開關
- 一“芯”雙電!聖邦微電子發布雙輸出電源芯片,簡化AFE與音頻設計
- 一機適配萬端:金升陽推出1200W可編程電源,賦能高端裝備製造
技術文章更多>>
- 邊緣AI的發展為更智能、更可持續的技術鋪平道路
- IAR作為Qt Group獨立BU攜兩項重磅汽車電子應用開發方案首秀北京車展
- 數字化的線性穩壓器
- 安森美:用全光譜“智慧之眼”定義下一代工業機器人
- 貿澤EIT係列新一期,探索AI如何重塑日常科技與用戶體驗
技術白皮書下載更多>>
- 車規與基於V2X的車輛協同主動避撞技術展望
- 數字隔離助力新能源汽車安全隔離的新挑戰
- 汽車模塊拋負載的解決方案
- 車用連接器的安全創新應用
- Melexis Actuators Business Unit
- Position / Current Sensors - Triaxis Hall
熱門搜索
Future
GFIVE
GPS
GPU
Harting
HDMI
HDMI連接器
HD監控
HID燈
I/O處理器
IC
IC插座
IDT
IGBT
in-cell
Intersil
IP監控
iWatt
Keithley
Kemet
Knowles
Lattice
LCD
LCD模組
LCR測試儀
lc振蕩器
Lecroy
LED
LED保護元件
LED背光



