半導體激光管(LD)的電源設計
發布時間:2010-09-16 來源:電子發燒友
中心議題:
1係統構成
裝置輸入電壓為24V,輸出最大電流為20A,根據串聯激光管的數量輸出不同電壓。如果采用交流供電,前端應該采用AC/DC作相應的變換。該裝置主要部分為同步DC/DC變換器,其原理圖如圖1所示。
[page]
Vin為輸入電壓,VM1、VM2為MOSFET,VM1導通寬度決定輸出電壓大小,快恢複二極管和VM2共同續流電路,整流管的導通損耗占據最主要的部分,因此它的選擇至關重要,試驗中選用通態電阻很低的M0SFET。電感、電容組成濾波電路。測量電阻兩端電壓與給定值比較後,通過脈衝發生器產生相應的脈寬,保持負載電流穩定。VM1關斷,快恢複二極管工作,快恢複二極管通態損耗大,VM2接著開通續流,減少係統損耗。
2工作原理
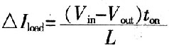
VM1導通ton時,可得:
,電流紋波為:
;VM1關斷,電流通過VD續流,接著VN2導通。由於VM2的阻抗遠小於二極管阻抗,因此通過VM2續流。VMl、VN2觸發脈衝如圖2所示。圖2中td為續流二極管導通時間。

二極管消耗的功率為P=VtdI0。一般快恢複二極管壓降0.4V,當電流20A時,二極管消耗功率為0.8W。如采用MOSFET,則消耗的功率將小很多。本實驗采用威世半導體公司的60A的MOSFET,其導通等效電阻為0.0022Ω。當電流為20A時,消耗功率約為0.088W。
由電流紋波公式可知,增大電感、減小ton都可以減小紋波。為了不提高電感容量,實驗中采用200kHz的工作頻率,其中電感選用4.8-μH,根據公式可得激光管壓降2V時紋波電流約為1000mA。
係統采用了電流負反饋電路,以適應激光二極管的要求。當負載變化,電流略大於給定電流時,減小ton寬度,電壓降低。電流略小於給定電流時,增加ton寬度,這樣可以維持電流穩定。圖3所示為脈衝發生器結構。
[page]
圖3中,R1,R2為電壓測量電阻,Rc為電流測量電阻。調節R1可以設定最大輸出電壓。Rc限製最大輸出電流。當最大電壓或電流其中一個達到給定值,則脈衝寬度最大。這樣可以保證負載正常工作。
其仿真結果如圖4所示。

3實驗結果
實驗曲線如圖5所示,實驗數據為輸入電壓12V,輸出電壓2V左右,測量電阻0.0025Ω,最大輸出電流20A。

實驗中用50A的2個二極管串聯作為負載,輸入電壓12V時,不同電流下輸出及效率如表1所示。

- 激光管(LD)的電源係統構成
- 激光管(LD)的電源工作原理分析
- 增大電感、減小ton都可以減小紋波
- 采用200kHz的工作頻率
1係統構成
裝置輸入電壓為24V,輸出最大電流為20A,根據串聯激光管的數量輸出不同電壓。如果采用交流供電,前端應該采用AC/DC作相應的變換。該裝置主要部分為同步DC/DC變換器,其原理圖如圖1所示。
[page]Vin為輸入電壓,VM1、VM2為MOSFET,VM1導通寬度決定輸出電壓大小,快恢複二極管和VM2共同續流電路,整流管的導通損耗占據最主要的部分,因此它的選擇至關重要,試驗中選用通態電阻很低的M0SFET。電感、電容組成濾波電路。測量電阻兩端電壓與給定值比較後,通過脈衝發生器產生相應的脈寬,保持負載電流穩定。VM1關斷,快恢複二極管工作,快恢複二極管通態損耗大,VM2接著開通續流,減少係統損耗。
2工作原理
VM1導通ton時,可得:
,電流紋波為:
;VM1關斷,電流通過VD續流,接著VN2導通。由於VM2的阻抗遠小於二極管阻抗,因此通過VM2續流。VMl、VN2觸發脈衝如圖2所示。圖2中td為續流二極管導通時間。
二極管消耗的功率為P=VtdI0。一般快恢複二極管壓降0.4V,當電流20A時,二極管消耗功率為0.8W。如采用MOSFET,則消耗的功率將小很多。本實驗采用威世半導體公司的60A的MOSFET,其導通等效電阻為0.0022Ω。當電流為20A時,消耗功率約為0.088W。
由電流紋波公式可知,增大電感、減小ton都可以減小紋波。為了不提高電感容量,實驗中采用200kHz的工作頻率,其中電感選用4.8-μH,根據公式可得激光管壓降2V時紋波電流約為1000mA。
係統采用了電流負反饋電路,以適應激光二極管的要求。當負載變化,電流略大於給定電流時,減小ton寬度,電壓降低。電流略小於給定電流時,增加ton寬度,這樣可以維持電流穩定。圖3所示為脈衝發生器結構。
[page]圖3中,R1,R2為電壓測量電阻,Rc為電流測量電阻。調節R1可以設定最大輸出電壓。Rc限製最大輸出電流。當最大電壓或電流其中一個達到給定值,則脈衝寬度最大。這樣可以保證負載正常工作。
其仿真結果如圖4所示。

3實驗結果
實驗曲線如圖5所示,實驗數據為輸入電壓12V,輸出電壓2V左右,測量電阻0.0025Ω,最大輸出電流20A。

實驗中用50A的2個二極管串聯作為負載,輸入電壓12V時,不同電流下輸出及效率如表1所示。

特別推薦
- 噪聲中提取真值!瑞盟科技推出MSA2240電流檢測芯片賦能多元高端測量場景
- 10MHz高頻運行!氮矽科技發布集成驅動GaN芯片,助力電源能效再攀新高
- 失真度僅0.002%!力芯微推出超低內阻、超低失真4PST模擬開關
- 一“芯”雙電!聖邦微電子發布雙輸出電源芯片,簡化AFE與音頻設計
- 一機適配萬端:金升陽推出1200W可編程電源,賦能高端裝備製造
技術文章更多>>
- 菲尼克斯電氣DIP產線獲授“IPC HERMES Demo Line”示範線
- 貿澤電子新品推薦:2026年第一季度引入超過9,000個新物料
- 跨域無界 智馭未來——聯合電子北京車展之智能網聯篇
- PROFINET牽手RS232:網關為RFID裝上“同聲傳譯”舊設備秒變智能
- 為AI尋找存儲新方案
技術白皮書下載更多>>
- 車規與基於V2X的車輛協同主動避撞技術展望
- 數字隔離助力新能源汽車安全隔離的新挑戰
- 汽車模塊拋負載的解決方案
- 車用連接器的安全創新應用
- Melexis Actuators Business Unit
- Position / Current Sensors - Triaxis Hall
熱門搜索
幹電池
幹簧繼電器
感應開關
高頻電感
高通
高通濾波器
隔離變壓器
隔離開關
個人保健
工業電子
工業控製
工業連接器
工字型電感
功率表
功率電感
功率電阻
功率放大器
功率管
功率繼電器
功率器件
共模電感
固態盤
固體繼電器
光傳感器
光電池
光電傳感器
光電二極管
光電開關
光電模塊
光電耦合器

