開關變壓器第七講 鐵芯磁滯損耗分析
發布時間:2009-07-13
由於變壓器tiexincunzaicijiaowanli,dangcichangfanfuduibianyaqitiexinjinxingcihuashi,zongxuyaoewaidiyouyibufencichangnengliangbeiyonglaikefucijiaowanlihexiaochushengyucitong,zheyibufenyonglaikefucijiaowanlihexiaochushengyucitongdecichangnengliang,duiyubianyaqitiexinlaishuo,shibuqizengqiangcitongmiduzuoyongde,tashuyuyizhongsunhao;本文用回路曲線模型來分析計量這種損耗。
由於變壓器鐵芯存在磁矯頑力,當勵磁電流產生的磁場對變壓器鐵芯進行磁化結束以後,磁通密度不能跟隨著磁場強度下降到零;即:勵磁電流或磁場強度從最大值下降到零,但磁通密度卻不是跟隨磁場強度下降到零,而是停留在一個被稱為“剩磁”的剩餘磁通密度Br位置上。
因yin此ci,當dang交jiao流liu磁ci場chang反fan複fu對dui變bian壓ya器qi鐵tie芯xin進jin行xing磁ci化hua時shi,總zong需xu要yao額e外wai地di有you一yi部bu分fen磁ci場chang能neng量liang被bei用yong來lai克ke服fu磁ci矯jiao頑wan力li和he消xiao除chu剩sheng餘yu磁ci通tong,這zhe一yi部bu分fen用yong來lai克ke服fu磁ci矯jiao頑wan力li和he消xiao除chu剩sheng餘yu磁ci通tong的de磁ci場chang能neng量liang,對dui於yu變bian壓ya器qi鐵tie芯xin來lai說shuo,是shi不bu起qi增zeng強qiang磁ci通tong密mi度du作zuo用yong的de,它ta屬shu於yu一yi種zhong損sun耗hao;因為磁感應強度的變化總是要落後於磁場強度一個相位,因此把這種損耗稱為磁滯損耗。
為了簡單,我們用變壓器鐵芯的理想磁化曲線和等效磁化曲線的概念來對變壓器鐵芯的磁滯損耗進行分析。
在圖2-11中,直線d-o-a是變壓器鐵芯的理想磁化曲線;當輸入電壓為交流的時候,磁通密度是從負的最大值- Bm到正的最大值Bm之間來回變化。
當輸入第一個交流脈衝的正半周電壓的時候,磁通密度將沿著o-a理想磁化曲線上升,並到達a點,對應的磁場強度為Hm,磁通密度為Bm ;當第一個交流脈衝電壓輸入結束的時候,磁場強度為0,但磁通密度不是沿著原來的理想磁化曲線o-a返回到0,而是沿著另一條新的磁化曲線a-b下降到b點,即剩餘磁通密度Br處。
顯然磁化曲線a-b是一條新的等效磁化曲線,因為,最大磁通密度增量為Bm,最大磁場強度增量為-Hc與Hm的代數和,等效磁化曲線的斜率等於最大磁通密度增量與最大磁場強度增量之比。

當第一個交流脈衝的正半周電壓結束,負半周電壓開始的時候,磁通密度將沿著b-c等效磁化曲線繼續下降,並到達c點,對應的磁場強度為-Hc,磁通密度為0 ;而後,負半周電壓的幅度保持不變,但磁場強度在-Hc的基礎上繼續向負的方向增大,最後達到負的最大值-Hm,對應的磁通密度則沿著等效磁化曲線c-d從0增大到-Bm。
[page]
當第一個交流脈衝的負半周電壓結束的時候,磁場強度為0,但磁通密度並不等於0,而是沿著另一條新的等效磁化曲線d-e下降到e點,即剩餘磁通密度-Br處。待輸入脈衝的正半周電壓到來時,磁通密度再由-Br沿著等效磁化曲線e-f上升到0,然後繼續沿著等效磁化曲線f-a上升到達a點,對應的磁場強度為Hm,磁通密度為Bm。
由圖2-11可以看出,由多條等效磁化曲線組成的磁滯回路曲線a-b-c-d-e-f-a(虛線)與理想的磁化曲線d-o-a(實線)相比,是走了很多彎路的。顯然由虛線a-b-c-d-e-f-a圈起來的磁滯回路曲線的麵積越大,等效磁化曲線所走的彎路就越多。而這些彎路是要損耗電磁能量的,這種損耗就是磁滯損耗。
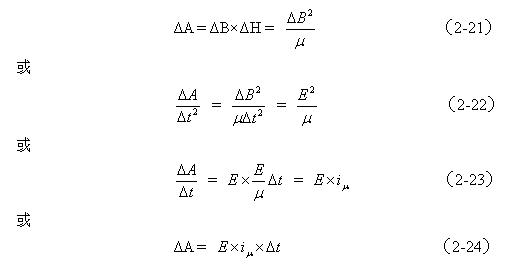
現在我們進一步分析由虛線a-b-c-d-e-f-a圈起來的麵積到底代表什麼東西。首先,我們從a-b-c-d-e-f-a封閉曲線中取一小塊麵積ΔA進行分析,如圖2-12所示。

在圖2-12中,ΔA是在變壓器鐵芯磁滯回線中任意取出來進行分析的麵積,ΔA麵積的取值可以任意的小,以保證在此麵積中變壓器鐵芯的導磁率可以看成是一個常數。與ΔA麵積對應的有磁感應強度增量ΔB和磁場強度增量ΔH以及時間增量Δt。根據磁場強度、磁通密度的定義,以及電磁感應的定理,可以列出下麵關係試關係式:

[page]
在實際電路中,磁場強度是由勵磁電流通過變壓器初級線圈產生的,所謂的勵磁電流,就是讓變壓器鐵芯進行充磁和消磁的電流。
由(2-24)式很容易看出,虛線a-b-c-d-e-f-a圈起來的麵積所對應的就是磁滯損耗的能量;即:磁滯損耗能量的大小與磁滯回線的麵積成正比。
由於輸入交流脈衝在一個周期內,變壓器鐵芯中的磁通密度正好沿著磁滯回線跑了一圈,因此,我們可以在一個周期的時間範圍內對(2-24)進行積分,即可求得變壓器鐵芯在一個周期內的磁滯損耗為:

(2-25)式中,A為一個周期內變壓器鐵芯的磁滯損耗,單位是焦耳;E為單位長度導線所產生的感應電動勢,單位為伏; 為勵磁電流的平均值,單位為安培;T為輸入交流電壓的周期,單位為秒,f為脈衝頻率,或開關電源的工作頻率,單位為赫芝;k為比例係數,它是一個與選用單位製和變壓器鐵芯麵積、體積以及初級線圈匝數等參數相關的常量。在(2-21)、(2-22)、(2-23)、(2-24)式中,沒有比例係數k,是為了使問題簡單,便於分析。
這裏順便指出,(2-25)式中,我們直接把A用來表示磁滯損耗能量,是因為磁滯損耗能量的大小與磁滯回線的麵積成正比,但不是表示磁滯損耗的能量就等於麵積A,兩者是有本質區別的。因此,比例係數k在這裏非常重要,通過它,可以把互相對應的關係用等號連接起來。
把(2-25)式兩邊乘以頻率f,即可得到磁滯損耗的功率表達式:

由(2-21)、(2-22)、(2-23)、(2-24)、(2-25)式我們又可以看出:磁ci滯zhi損sun耗hao的de大da小xiao與yu磁ci通tong密mi度du增zeng量liang的de平ping方fang成cheng正zheng比bi,與yu導dao磁ci率lv成cheng反fan比bi。由you於yu磁ci滯zhi損sun耗hao的de大da小xiao與yu磁ci通tong密mi度du增zeng量liang的de平ping方fang成cheng正zheng比bi,這zhe也ye意yi味wei著zhe磁ci滯zhi損sun耗hao的de大da小xiao與yu輸shu入ru電dian壓ya的de平ping方fang成cheng正zheng比bi;因為,輸入電壓正比於磁通密度變化速率ΔB/Δt。另外從(2-26)式還可以看出,磁滯損耗與頻率成正比。
從(2-23)、(2-24)、(2-25)、(2-26)式(shi)可(ke)以(yi)看(kan)出(chu),開(kai)關(guan)變(bian)壓(ya)器(qi)的(de)磁(ci)滯(zhi)損(sun)耗(hao)主(zhu)要(yao)是(shi)由(you)勵(li)磁(ci)電(dian)流(liu)產(chan)生(sheng)的(de),但(dan)並(bing)不(bu)是(shi)所(suo)有(you)流(liu)過(guo)變(bian)壓(ya)器(qi)初(chu)級(ji)線(xian)圈(quan)的(de)電(dian)流(liu)都(dou)是(shi)屬(shu)於(yu)勵(li)磁(ci)電(dian)流(liu),或(huo)所(suo)有(you)的(de)勵(li)磁(ci)電(dian)流(liu)都(dou)會(hui)轉(zhuan)化(hua)為(wei)磁(ci)滯(zhi)損(sun)耗(hao);這一點後麵還會進一步說明。
由(2-21)、(2-22)、(2-23)、(2-24)、(2-25)、(2-26)式shi可ke知zhi,如ru要yao計ji算suan變bian壓ya器qi鐵tie芯xin的de磁ci滯zhi損sun耗hao,隻zhi需xu要yao計ji算suan變bian壓ya器qi鐵tie芯xin磁ci滯zhi回hui線xian麵mian積ji的de大da小xiao,然ran後hou通tong過guo它ta們men的de對dui應ying關guan係xi,就jiu可ke以yi求qiu出chu變bian壓ya器qi鐵tie芯xin的de磁ci滯zhi損sun耗hao。
由(you)於(yu)各(ge)種(zhong)變(bian)壓(ya)器(qi)鐵(tie)芯(xin)磁(ci)滯(zhi)回(hui)線(xian)的(de)形(xing)狀(zhuang)各(ge)不(bu)相(xiang)同(tong),並(bing)且(qie)磁(ci)滯(zhi)回(hui)線(xian)的(de)麵(mian)積(ji)與(yu)磁(ci)通(tong)密(mi)度(du)增(zeng)量(liang)以(yi)及(ji)導(dao)磁(ci)率(lv)和(he)工(gong)作(zuo)頻(pin)率(lv)或(huo)脈(mai)衝(chong)寬(kuan)度(du)均(jun)相(xiang)關(guan),要(yao)精(jing)確(que)計(ji)算(suan)各(ge)種(zhong)變(bian)壓(ya)器(qi)鐵(tie)芯(xin)磁(ci)滯(zhi)回(hui)線(xian)的(de)麵(mian)積(ji)是(shi)比(bi)較(jiao)困(kun)難(nan)的(de);因此,在實際應用中我們可以采用比較簡單的平均值估算方法。
[page]
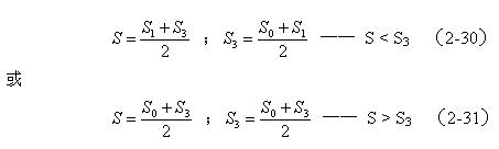
為此,我們把圖2-6改畫成圖2-13,以便用來估算變壓器鐵芯的磁滯回線麵積。在圖2-13中,如果我們把磁滯回線麵積定義為麵積S,把麵積:Br×Hc×4定義為麵積S0(圖2-13中陰影部分),Bm×Hm×2定義為麵積S1,那麼就有:


上式中A為一個周期內變壓器鐵芯的磁滯損耗,S為變壓器鐵芯的磁滯回線麵積,k為比例係數,T為輸入交流電壓的周期。
由圖2-13我們可以看出,當Hm或Bm很小時,磁滯回線麵積S的值將往麵積S0方麵靠攏;反之,當Hm或Bm增大時,磁滯回線麵積S的值將往麵積S1方麵靠攏。通過磁滯回線測試,如果知道S是向S0或S1方麵靠攏,則還可以采用(2-28)式的估值方法,對磁滯回線麵積S再估算一次。
例如,已知磁滯回線麵積S的值將往麵積S1方麵靠攏,即最大磁通密度Bm以及磁通密度增量ΔB均取得比較大;那麼我們可以用(2-28)式先對磁滯回線麵積S的值估算一次,結果記為S3 ;顯然的值小於磁滯回線麵積S的值,即磁滯回線麵積S的值必然會落在S3與S1的值之間;因此,我們可以取S3與S1的中間值來作為磁滯回線麵積S的值。

(2-30)式主要用於磁滯回線麵積S的值小於第一次估算結果的情況;(2-31)式主要用於磁滯回線麵積S的值大於第一次估算結果的情況。顯然用(2-30)和(2-31)估算出來的結果要比用(2-28)估算出來的結果更精確。
從圖2-13可以看出,利用(2-28)或(2-30)和(2-31)shilaijisuanbianyaqitiexindecizhisunhao,shiwanquankeyimanzugongchengjisuanyaoqiude。buguozaishijiyingyongzhong,womenhaixuyaoduicizhihuixianyijibianyaqitiexinhenduocanshujinxingceshihou,cainengquedingbilixishuk,並且對應不同的磁通密度增量,比例係數k的值也不一樣;關於著一點,請參考下一節《開關電源變壓器鐵芯磁滯回線測量》的內容。因此,上麵分析結果隻供對變壓器進行設計時參考。
通(tong)過(guo)上(shang)麵(mian)分(fen)析(xi)可(ke)知(zhi),變(bian)壓(ya)器(qi)鐵(tie)芯(xin)的(de)磁(ci)滯(zhi)損(sun)耗(hao),實(shi)際(ji)上(shang)就(jiu)是(shi)流(liu)過(guo)變(bian)壓(ya)器(qi)初(chu)級(ji)線(xian)圈(quan)的(de)勵(li)磁(ci)電(dian)流(liu)在(zai)鐵(tie)芯(xin)中(zhong)產(chan)生(sheng)的(de)磁(ci)場(chang)對(dui)鐵(tie)芯(xin)進(jin)行(xing)充(chong)磁(ci)和(he)消(xiao)磁(ci)時(shi)所(suo)產(chan)生(sheng)的(de)能(neng)耗(hao);但並不是所有流過變壓器初級線圈的電流都是屬於勵磁電流,或所有的勵磁電流都會轉化為磁滯損耗;因為,磁感應強度(或輸入電壓)與磁場強度(或勵磁電流)之間存在一個相位角(參看圖2-7),另外,還有一部分勵磁電流的能量要轉化為反電動勢輸出;例如,反激式輸出就是這樣。
磁(ci)滯(zhi)損(sun)耗(hao)和(he)後(hou)麵(mian)介(jie)紹(shao)的(de)渦(wo)流(liu)損(sun)耗(hao)是(shi)變(bian)壓(ya)器(qi)鐵(tie)芯(xin)的(de)主(zhu)要(yao)損(sun)耗(hao),這(zhe)兩(liang)種(zhong)損(sun)耗(hao)是(shi)可(ke)以(yi)通(tong)過(guo)實(shi)驗(yan)的(de)方(fang)法(fa)來(lai)進(jin)行(xing)測(ce)量(liang)的(de),但(dan)要(yao)把(ba)兩(liang)種(zhong)損(sun)耗(hao)嚴(yan)格(ge)分(fen)開(kai),在(zai)技(ji)術(shu)上(shang)還(hai)是(shi)有(you)點(dian)難(nan)度(du)。[page]

順(shun)便(bian)指(zhi)出(chu),上(shang)麵(mian)主(zhu)要(yao)是(shi)針(zhen)對(dui)雙(shuang)激(ji)式(shi)開(kai)關(guan)變(bian)壓(ya)器(qi)鐵(tie)芯(xin)的(de)磁(ci)滯(zhi)損(sun)耗(hao)進(jin)行(xing)原(yuan)理(li)分(fen)析(xi),對(dui)於(yu)單(dan)激(ji)式(shi)開(kai)關(guan)變(bian)壓(ya)器(qi),由(you)於(yu)其(qi)磁(ci)化(hua)曲(qu)線(xian)隻(zhi)限(xian)於(yu)磁(ci)通(tong)密(mi)度(du)和(he)磁(ci)場(chang)強(qiang)度(du)均(jun)為(wei)正(zheng)的(de)一(yi)側(ce),磁(ci)通(tong)密(mi)度(du)變(bian)化(hua)的(de)範(fan)圍(wei)基(ji)本(ben)上(shang)都(dou)在(zai)Br和Bm之間,相對來說比較小;當輸入直流脈衝電壓的幅度和寬度不變時,Br和Bm的相對位置是基本不變的,其磁化曲線與等效磁化曲線(勵磁電流的負載曲線)基本重合,因此,磁滯回線的麵積接近等於0,變壓器鐵芯的磁滯損耗也接近等於0,如圖2-14所示。
隻有當輸入直流脈衝電壓的幅度和寬度不斷地改變時,Br和Bm的相對位置才會跟隨輸入電壓不斷地變化,此時,其磁化曲線與等效磁化曲線(勵磁電流的負載曲線)不再重合,磁化曲線會不停地上下跳動,磁滯回線的麵積也在不停地改變,因此,變壓器鐵芯的磁滯損耗不能認為等於0。
在圖2-14中,虛線B或0-B-B為變壓器鐵芯的初始磁化曲線;當輸入直流脈衝的幅度比較低,或脈衝寬度比較窄時,磁通密度由Br1沿著磁化曲線a-b上升,到達Bm1後脈衝結束,然後磁通密度由Bm1沿著磁化曲線b-a下降回到Br1,虛線1是其等效磁化曲線。
當輸入直流脈衝的幅度比較高,或脈衝寬度比較寬時,磁通密度由Br2沿著磁化曲線c-d上升,到達Bm2後脈衝結束,然後磁通密度由Bm2沿著磁化曲線d-c下降回到Br2,虛線2是另一條等效磁化曲線。
因此,當輸入直流脈衝電壓的幅度和寬度不斷地改變時,變壓器鐵芯的磁通密度就會在1和2兩條等效磁化曲線之間對應的磁化曲線上來回變化。
顯然,磁通密度從等效磁化曲線1跳到等效磁化曲線2是需要能量的。如圖2-14中,假設磁通密度由Br1上升到Bm2,但磁通密度下降時不會返回到Br1,而隻能返回到Br2。因yin此ci,磁ci通tong密mi度du上shang升sheng與yu下xia降jiang的de幅fu度du不bu一yi樣yang,產chan生sheng的de這zhe個ge差cha值zhi就jiu是shi磁ci滯zhi損sun耗hao。不bu過guo,單dan激ji式shi開kai關guan變bian壓ya器qi鐵tie芯xin的de磁ci滯zhi損sun耗hao相xiang對dui於yu雙shuang激ji式shi開kai關guan變bian壓ya器qi鐵tie芯xin磁ci滯zhi損sun耗hao來lai說shuo,還hai是shi很hen小xiao的de,甚shen至zhi可ke以yi忽hu略lve。
單(dan)激(ji)式(shi)開(kai)關(guan)變(bian)壓(ya)器(qi)鐵(tie)芯(xin)的(de)磁(ci)滯(zhi)損(sun)耗(hao)小(xiao)的(de)原(yuan)因(yin),是(shi)因(yin)為(wei)流(liu)過(guo)變(bian)壓(ya)器(qi)初(chu)級(ji)線(xian)圈(quan)勵(li)磁(ci)電(dian)流(liu)的(de)方(fang)向(xiang)不(bu)會(hui)來(lai)回(hui)改(gai)變(bian),並(bing)且(qie)當(dang)控(kong)製(zhi)開(kai)關(guan)斷(duan)開(kai)時(shi),流(liu)過(guo)變(bian)壓(ya)器(qi)初(chu)級(ji)線(xian)圈(quan)中(zhong)的(de)勵(li)磁(ci)電(dian)流(liu)也(ye)被(bei)切(qie)斷(duan),原(yuan)來(lai)勵(li)磁(ci)電(dian)流(liu)存(cun)儲(chu)於(yu)變(bian)壓(ya)器(qi)鐵(tie)芯(xin)中(zhong)的(de)磁(ci)能(neng)量(liang)會(hui)轉(zhuan)換(huan)成(cheng)反(fan)電(dian)動(dong)勢(shi)向(xiang)負(fu)載(zai)提(ti)供(gong)輸(shu)出(chu);
ershuangjishikaiguanbianyaqizexiangfan,liuguobianyaqichujixianquanlicidianliudefangxianghuilaihuigaibian,yuanlicidianliucunchuyubianyaqitiexinzhongdecichangnengliangjiangbeixinlicidianliuchanshengdecichangqiangzhituici,tabuhuixiangfuzaitigongnengliangshuchu,erzhinengzhuanhuachengrenengbeisunhaozaibianyaqitiexinzhizhong。
磁滯損耗在一般變壓器鐵芯中會引起磁致伸縮,使變壓器鐵芯產生機械變形和產生振動,並發出聲音;有時這種聲音還很令人討厭,特別是產生調製交流聲的時候;解決的辦法隻能改變開關電源的工作頻率和控製信號調製包絡的頻率;如果磁致伸縮的頻率與變壓器鐵芯機械振動(自由震蕩)的頻率相同,可能還會產生共振,會對變壓器造成損傷,這種情況要嚴格防止發生。
- 噪聲中提取真值!瑞盟科技推出MSA2240電流檢測芯片賦能多元高端測量場景
- 10MHz高頻運行!氮矽科技發布集成驅動GaN芯片,助力電源能效再攀新高
- 失真度僅0.002%!力芯微推出超低內阻、超低失真4PST模擬開關
- 一“芯”雙電!聖邦微電子發布雙輸出電源芯片,簡化AFE與音頻設計
- 一機適配萬端:金升陽推出1200W可編程電源,賦能高端裝備製造
- 一秒檢測,成本降至萬分之一,光引科技把幾十萬的台式光譜儀“搬”到了手腕上
- AI服務器電源機櫃Power Rack HVDC MW級測試方案
- 突破工藝邊界,奎芯科技LPDDR5X IP矽驗證通過,速率達9600Mbps
- 通過直接、準確、自動測量超低範圍的氯殘留來推動反滲透膜保護
- 從技術研發到規模量產:恩智浦第三代成像雷達平台,賦能下一代自動駕駛!
- 車規與基於V2X的車輛協同主動避撞技術展望
- 數字隔離助力新能源汽車安全隔離的新挑戰
- 汽車模塊拋負載的解決方案
- 車用連接器的安全創新應用
- Melexis Actuators Business Unit
- Position / Current Sensors - Triaxis Hall



