開關變壓器第三講 變壓器線圈電感量計算..
發布時間:2009-06-29
在開關電源電路設計或電路試驗過程中,經常要對線圈或導線的電感以及線圈的匝數進行計算,以便對電路參數進行調整和改進。下麵僅列出多種線圈電感量的計算方法以供參考
在進行電路計算的時候,一般都采用SI國際單位製,即導磁率采用相對導磁率與真空導磁率的乘積,即:
,其中相對導磁率
是一個沒有單位的係數,真空導磁率
的單位為H/m。
1、圓截麵直導線的電感

圓截麵直導線如圖2-32所示,其電感為:

2、同軸電纜線的電感

同軸電纜線如圖2-33所示,其電感為:

[page]
3、雙線製傳輸線的電感

雙線製傳輸線如圖2-34所示,其電感為:

4、兩平行直導線之間的互感
兩平行直導線如圖2-34所示,其互感為:

5、圓環的電感

[page]
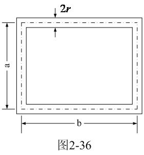
5、矩型線圈的電感

矩形線圈如圖2-36所示,其電感為:


6、螺旋線圈的電感
[page]
螺旋線圈如圖2-37所示,其電感為:


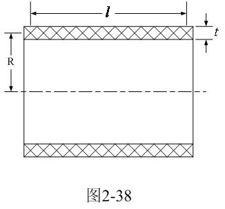
7、多層繞組線圈的電感

多層繞組線圈如圖2-38所示,其電感為:
[page]
【說明】上式是用來計算多層線圈繞組、截麵為圓形的空心線圈的電感計算公式。長岡係數k可查閱表2-1,係數c可查閱表2-2。當線圈內部有磁芯時,有磁芯線圈的電感是空心線圈電感的
倍,
是shi磁ci芯xin的de相xiang對dui導dao磁ci率lv。相xiang對dui導dao磁ci率lv的de測ce試shi方fang法fa很hen簡jian單dan,隻zhi需xu把ba有you磁ci芯xin的de線xian圈quan和he空kong心xin線xian圈quan分fen別bie進jin行xing測ce試shi,通tong過guo對dui比bi即ji可ke求qiu出chu相xiang對dui導dao磁ci率lv的de大da小xiao。

8、變壓器線圈的電感
變壓器線圈如圖2-39所示,其電感為:


【說明】上(shang)式(shi)是(shi)用(yong)來(lai)計(ji)算(suan)變(bian)壓(ya)器(qi)線(xian)圈(quan)電(dian)感(gan)的(de)計(ji)算(suan)公(gong)式(shi)。由(you)於(yu)變(bian)壓(ya)器(qi)鐵(tie)芯(xin)的(de)磁(ci)回(hui)路(lu)基(ji)本(ben)是(shi)封(feng)閉(bi)的(de),變(bian)壓(ya)器(qi)鐵(tie)芯(xin)的(de)平(ping)均(jun)導(dao)磁(ci)率(lv)相(xiang)對(dui)來(lai)說(shuo)比(bi)較(jiao)大(da)。鐵(tie)芯(xin)的(de)導(dao)磁(ci)率(lv)一(yi)般(ban)在(zai)產(chan)品(pin)技(ji)術(shu)手(shou)冊(ce)中(zhong)都(dou)會(hui)給(gei)出(chu),但(dan)由(you)於(yu)大(da)多(duo)數(shu)開(kai)關(guan)電(dian)源(yuan)變(bian)壓(ya)器(qi)的(de)鐵(tie)芯(xin)都(dou)留(liu)有(you)氣(qi)隙(xi),留(liu)有(you)氣(qi)隙(xi)的(de)磁(ci)回(hui)路(lu)會(hui)出(chu)現(xian)磁(ci)場(chang)強(qiang)度(du)以(yi)及(ji)磁(ci)感(gan)應(ying)強(qiang)度(du)分(fen)布(bu)不(bu)均(jun)勻(yun),因(yin)此(ci),(2-108)式中的導磁率隻能使用平均導磁率,技術手冊中的數據不能直接使用。
在這種情況下,最好的方法是先製作一個簡單樣品,例如,在某個選好的變壓器鐵芯的骨架上繞一個簡單線圈(比如匝數為10),ranhouduixianquandedianganliangjinxingceshi,huozhezhaoyigeyizhixianquanzashuyudianganliangdeyangpinzuoweicankao。zhidaolexianquanyangpindedianganlianghou,zhixubayizhicanshudairu(2-108)或(2-94)式,即可求出其它未知參數,然後把所有已知參數定義為一個常數k;最後電感的計算公司就可以簡化為:L = kN2 ,這樣,電感量的計算就變得非常簡單。
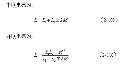
9、兩個線圈的互感
兩線圈的連接方法如圖2-40所示。其中圖2-40-a和圖2-40-b分別為正、反向串聯;圖2-40-c和圖2-40-d分別為正、反向並聯。


其中:
L:兩個線圈連接後的電感 [H]
L1、L2 :分別為線圈1與線圈2的自感 [H]
M:兩個線圈的互感 [H]
【說明】互感M有正負,圖2-40-a和圖2-40-c的接法互感M為正,圖2-40-b和圖2-40-d的接法互感M為負。兩個線圈之間的互感M為:

【說明】互感的大小,取決兩個線圈的結構和兩個線圈的相對位置以及導磁物質。當K=1時,
,這時的耦合稱為全耦合,它表示一個線圈產生的磁通全部從另一個線圈通過(沒有漏磁通)。但在實際應用中,無論任何結構的兩個線圈總會產生漏磁通,因此,耦合係數k總是一個小於1的數。一般帶有鐵芯的變壓器漏感都比較小,因此,變壓器初、次級線圈之間的偶合係數可以認為約等於1。
- 噪聲中提取真值!瑞盟科技推出MSA2240電流檢測芯片賦能多元高端測量場景
- 10MHz高頻運行!氮矽科技發布集成驅動GaN芯片,助力電源能效再攀新高
- 失真度僅0.002%!力芯微推出超低內阻、超低失真4PST模擬開關
- 一“芯”雙電!聖邦微電子發布雙輸出電源芯片,簡化AFE與音頻設計
- 一機適配萬端:金升陽推出1200W可編程電源,賦能高端裝備製造
- 一秒檢測,成本降至萬分之一,光引科技把幾十萬的台式光譜儀“搬”到了手腕上
- AI服務器電源機櫃Power Rack HVDC MW級測試方案
- 突破工藝邊界,奎芯科技LPDDR5X IP矽驗證通過,速率達9600Mbps
- 通過直接、準確、自動測量超低範圍的氯殘留來推動反滲透膜保護
- 從技術研發到規模量產:恩智浦第三代成像雷達平台,賦能下一代自動駕駛!
- 車規與基於V2X的車輛協同主動避撞技術展望
- 數字隔離助力新能源汽車安全隔離的新挑戰
- 汽車模塊拋負載的解決方案
- 車用連接器的安全創新應用
- Melexis Actuators Business Unit
- Position / Current Sensors - Triaxis Hall





